Giao diện mới của VnDoc Pro: Dễ sử dụng hơn - chỉ tập trung vào lớp bạn quan tâm. Vui lòng chọn lớp mà bạn quan tâm: Lưu và trải nghiệm
Đóng
Điểm danh hàng ngày
  • Hôm nay +3
  • Ngày 2 +3
  • Ngày 3 +3
  • Ngày 4 +3
  • Ngày 5 +3
  • Ngày 6 +3
  • Ngày 7 +5
Bạn đã điểm danh Hôm nay và nhận 3 điểm!
Nhắn tin Zalo VNDOC để nhận tư vấn mua gói Thành viên hoặc tải tài liệu Hotline hỗ trợ: 0936 120 169

Bài tập Các định luật Newton dạng 2

Đóng
Bạn đã dùng hết 1 lần làm bài Trắc nghiệm miễn phí. Mời bạn mua tài khoản VnDoc PRO để tiếp tục! Tìm hiểu thêm
Mô tả thêm:

Bài tập Các định luật Newton dạng 2

Bài tập Các định luật Newton dạng 2 bao gồm các dạng bài tập trắc nghiệm Lý 10 khác nhau được biên soạn chi tiết nhằm hỗ trợ học sinh ôn luyện, nâng cao kết quả môn Vật Lý 10.

  • Số câu hỏi: 15 câu
  • Số điểm tối đa: 15 điểm
Bắt đầu làm bài
Bạn còn 1 lượt làm bài tập miễn phí. Hãy mua tài khoản VnDoc PRO để học không giới hạn nhé! Bạn đã HẾT lượt làm bài tập miễn phí! Hãy mua tài khoản VnDoc PRO để làm Trắc nghiệm không giới hạn và tải tài liệu nhanh nhé!
Mua ngay Đổi điểm
Trước khi làm bài bạn hãy
  • 1 Ôn tập kiến thức đã nêu trong phần Mô tả thêm
  • 2 Tìm không gian và thiết bị phù hợp để tập trung làm bài
  • 3 Chuẩn bị sẵn dụng cụ cần dùng khi làm bài như bút, nháp, máy tính
  • 4 Căn chỉnh thời gian làm từng câu một cách hợp lý
  • Câu 1: Nhận biết

    1

    Câu nào đúng? Trong một cơn lốc xoáy, một hòn đá bay trúng vào một cửa kính, làm vỡ kính.
  • Câu 2: Nhận biết

    2

    Một người thực hiện động tác nằm sấp, chống tay xuống sàn nhà để nâng người lên. Hỏi sàn nhà đẩy người đó như thế nào?
  • Câu 3: Nhận biết

    3

    Câu nào đúng? Khi một con ngựa kéo xe, lực tác dụng vào con ngựa làm nó chuyển động về phía trước là
  • Câu 4: Nhận biết

    4

    Câu nào đúng? Một người có trọng lượng 500 N đứng trên mặt đất. Lực mà mặt đất tác dụng lên người đó có độ lớn
  • Câu 5: Nhận biết

    5

    Khi nói về một vật chịu tác dụng của lực, phát biểu nào sau đây đúng?
  • Câu 6: Nhận biết

    6

    Một trái bóng bàn bay từ xa đến đập vao tường và bật ngược trở lại:
  • Câu 7: Nhận biết

    7

    Lực và phản lực không có tính chất sau:
  • Câu 8: Nhận biết

    8

    Điều nào sau đây là sai khi nói về lực về phản lực:
  • Câu 9: Nhận biết

    9

    Một vật có khối lượng m = 1kg chuyển động với vận tốc 5 m/s đến va chạm vào vật thứ 2 đang đứng yên. Sau va chạm vật thứ nhất chuyển động ngược lại với vận tốc 1 m/s, còn vật thứ hai chuyển động với vận tốc 2 m/s. Hỏi khối lượng của vật thứ hai là bao nhiêu?

    Gọi t là thời gian tương tác giữa hai vật

    Chọn chiều dương là chiều chuyển động của vật một trước va chạm

    Áp dụng định luật 3 Niuton ta có:

    FAB = - FBA suy ra mAaA = mBaB

    Vật Lí lớp 10 | Chuyên đề: Lý thuyết và Bài tập Vật Lí 10 có đáp án
  • Câu 10: Nhận biết

    10

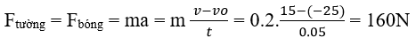
    Một quả bóng khối lượng 200 g bay với vận tốc 90 km/h đến đập vuông góc vào tường rồi bật trở lại theo phương cũ với vận tốc 54 km/h. Thời gian va chạm giữa bóng và tường là 0,05s. Độ lớn lực của tường tác dụng lên quả bóng là nhiêu?

    Chọn chiều dương cùng chiều chuyển động bật ra của quả bóng

    Định luật III Niu Tơn ta có:

    Vật Lí lớp 10 | Chuyên đề: Lý thuyết và Bài tập Vật Lí 10 có đáp án
  • Câu 11: Nhận biết

    11

    Một người có trọng lượng 500 N đứng trên mặt đất. Lực mà mặt đất tác dụng lên người đó có độ lớn?

  • Câu 12: Nhận biết

    12

    Một quả bóng, khối lượng 500g bay với tốc độ 20 m/s đập vuông góc vào bức tường và bay ngược lại với tốc độ 20 m/s. Thời gian va đập là 0,02 s. Lực do bóng tác dụng vào tường có độ lớn và hướng:

    Ta có: a = v - vo/t = 1000 N

    Vậy F = ma = 500 N

  • Câu 13: Nhận biết

    13

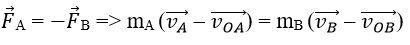
    Một viên bi A có khối lượng 1kg đang chuyển động với vận tốc 5 m/s thì va chạm vào viên bi B có khối lượng 2kg đang đứng yên trên mặt bàn nhẵn, nằm ngang. Biết sau thời gian va cham 0.3 s, bi B chuyển động với vận tốc 2 m/s cùng chiều chuyển động ban đầu của bi A. Bỏ qua mọi ma sát, tốc độ chuyển động của bi A ngay sau va chạm là?

    Gia tốc chuyển động của bi B

    Vật Lí lớp 10 | Chuyên đề: Lý thuyết và Bài tập Vật Lí 10 có đáp án

    Lực tương tác giữa hai viên bi: FAB = - FBA = mBaB = 2. 6.67 = 13.33 N

    Định luật III Niu Tơn:

    Vật Lí lớp 10 | Chuyên đề: Lý thuyết và Bài tập Vật Lí 10 có đáp án

    Chọn chiều dương cùng chiều chuyển động ban đầu của viên bi A

    Chiếu lên chiều dương ta có: 1.(vA – 5) = - 2.(2 – 0) ⇒ vA = 1 m/s

  • Câu 14: Nhận biết

    14

    Một A vật có khối lượng 1kg chuyển động với tốc độ 5 m/s va chạm vào một vật B có khối lượng 3kg đứng yên. Sau va chạm vật A chuyển động ngược trở lại với tốc độ 1 m/s, cho vật B chuyển động với tốc độ bao nhiêu?

    Gọi t là thời gian tương tác giữa hai vật

    Chọn chiều dương là chiều chuyển động của vật A trước va chạm

    Áp dụng định luật 3 Niuton ta có:

    FAB = - FBA ⇒ mAaA = mBaB

    Vật Lí lớp 10 | Chuyên đề: Lý thuyết và Bài tập Vật Lí 10 có đáp án
  • Câu 15: Nhận biết

    15

    Một quả bóng khối lượng 0,5kg đang bay theo phương ngang với vận tốc 20 m/s thì và theo phương vuông góc vào bức tường thẳng đứng và bay ngược trở lại với vận tốc 15 m/s. Thời gian va chạm giữa bóng và tường là 0,02s. Lực của quả bóng tác dụng vào tường là bao nhiêu?

    Chọn chiều dương cùng chiều chuyển động bật ra của quả bóng

    Định luật III Niu Tơn ta có:

    Vật Lí lớp 10 | Chuyên đề: Lý thuyết và Bài tập Vật Lí 10 có đáp án

Chúc mừng Bạn đã hoàn thành bài!

Bài tập Các định luật Newton dạng 2 Kết quả
  • Thời gian làm bài: 00:00:00
  • Số câu đã làm: 0
  • Điểm tạm tính: 0
  • Điểm thưởng: 0

Đấu trường Bài tập Các định luật Newton dạng 2

Đang tìm đối thủ...

Đang tải...

Xác thực tài khoản!

Theo Nghị định 147/2024/ND-CP, bạn cần xác thực tài khoản trước khi sử dụng tính năng này. Chúng tôi sẽ gửi mã xác thực qua SMS hoặc Zalo tới số điện thoại mà bạn nhập dưới đây:

Số điện thoại chưa đúng định dạng!
Số điện thoại này đã được xác thực!
Bạn có thể dùng Sđt này đăng nhập tại đây!
Lỗi gửi SMS, liên hệ Admin
Sắp xếp theo