1
Bi A có trọng lượng gấp đôi bi B. Cùng một lúc tại cùng mái nhà ở cùng độ cao thì bi A được thả còn bi B được ném theo phương ngang với tốc độ lớn. Bỏ qua sức cản không khí. Câu nào sau đây là đứng:
Bài tập Chuyển động của vật bị ném dạng 1 bao gồm các dạng bài tập trắc nghiệm chuyên đề Vật lý 10, hỗ trợ học sinh ôn luyện nâng cao kết quả môn Lý 10.
Điểm khả dụng: 0 điểm
Bạn sẽ dùng 50 điểm để đổi lấy 1 lượt làm bài.
Bạn không đủ điểm để đổi.
1
Bi A có trọng lượng gấp đôi bi B. Cùng một lúc tại cùng mái nhà ở cùng độ cao thì bi A được thả còn bi B được ném theo phương ngang với tốc độ lớn. Bỏ qua sức cản không khí. Câu nào sau đây là đứng:
2
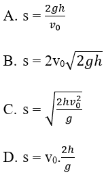
Khi một máy bay đang bay thẳng đều ở độ cao h với tốc độ v0 thì thả rơi một vật. Khi vật chạm đất máy bay cách chỗ thả vật là bao nhiêu?

Một người ném hòn đá từ độ cao 2 m lên trên theo phương thẳng đứng với vận tốc là 6 m/s. Trả lời câu hỏi 3-4 dưới đây
Câu 3: Sau bao lâu hòn đá chạm đất?Vì đây là ném thẳng đứng hướng lên nên có 2 giai đoạn.
+ giai đoạn 1: đi lên
là chuyển động chậm dần đều nên có: a = - g
thời gian đi lên t = vo/g = 0,6 s
quãng đường lớn nhất có thể đạt được: hmax = v02/(2g) = 1.8 m
+ giai đoạn 2: đi xuống
khi đó vo = 0, đây là rơi tự do
quãng đường lúc đi xuống là 2 + 1.8 = 3.8 m
ta có h = (1/2)gt2 ⇔ 3.8 = (1/2).10.t2 ⇔ t = 0.87s
vậy sau 0.87 + 0.6 = 1.47s thì hòn đá sẽ chạm đất
4
Vận tốc của hòn đá lúc chạm đất bằng bao nhiêu?5
Từ một điểm trên mặt đất người ta phóng đi đồng thời hai vật A và B theo phương thẳng đứng với các vận tốc đầu khác nhau. Lấy một trong hai vật làm hệ quy chiếu thì vật kia chuyển động ra sao?Chọn chiều dương hướng lên
Vận tốc của vật A: v1 = v01 – gt
Vận tốc của vật B: v2 = v02 – gt
Chọn hệ quy chiếu gắn với vật A thì vận tốc tương đối của vật B so với vật A là:
v21 = v2 – v1 = (v02 – gt) – (v01 – gt) = v02 – v01 = const
Chọn hệ quy chiếu gắn với vật B thì vận tốc tương đối của vật A so với vật B là:
v12 = v1 – v2 = (v01 – gt) – (v02 – gt) = v01 – v02 = const
Vậy nếu chọn một vật làm hệ quy chiếu thì vật còn lại sẽ chuyển động thẳng đều so với vật này.
6
Một vật được ném lên thẳng đứng với vận tốc 4.9 m/s. Cùng lúc đó tại điểm có độ cao cực đại mà vật đạt tới thì người a ném xuống thẳng đứng vật khác cũng có vận tốc 4.9 m/s. Sau bao lâu hai vật đụng nhau?
Chọn gốc tọa độ tại vị trí vật bị ném lên có chiều dương hướng lên
Độ cao cực đại vật ném lên đạt được là:
h1 = - v02/(-2g) = 1.225 m
Phương trình chuyển động của hai vật:
y1 = v0t – 0.5 gt2
y2 = h1 – v0t – 0.5 gt2
Hai vật gặp nhau: y1 = y2 suy ra t = 0.125s
Một tên lửa được phóng theo phương thẳng đứng và chuyển động với gia tốc 2g trong thời gian động cơ hoạt động là 50s. Bỏ qua lực cản của không khí và sự thay đổi g theo độ cao. Trả lời câu 7-8:
Câu 7: Tính độ cao cực đại mà tên lửa đạt được?Chọn gốc tọa độ tại mặt đất chiều dương hướng lên và gốc thời gian lúc bắt đàu phóng tên lửa.
Chuyển động có 2 giai đoạn:
+ Giai đoạn CĐNDĐ với gia tốc a1 = 2g khi động cơ hoạt động
vt1 = a1t1 = 2gt1 = 2.10.50 = 1000 m/s; v01 = 0
+ Giai đoạn CĐCDĐ với gia tốc a2 = - g khi động cơ ngừng hoạt động
v01 = vt1 = 2gt1 = 2.10.50 = 1000 m/s; vt2 = 0
⇒ hmax = h1 + h2 = 75000 m = 75 km
8
Tính thời gian từ lúc phóng tên lửa đến khi trở lại mặt đất?Từ lúc phóng tên lửa đến lúc tên lửa rơi xuống đất có thể chia làm ba giai đoạn:
+ Giai đoạn 1 là chuyển động nhanh dần đều với gia tốc a1 = 2g khi động cơ hoạt động trong thời gian t1 = 50s
+ Giai đoạn 2 là chuyển động chậm dần đều của tên lửa với gia tốc a2 = - g khi động cơ ngừng hoạt động đến độ cao cực đại:
+ Giai đoạn 3 là rơi tự do từ độ cao cực đại ta có:
⇒ t = t1 + t2 + t3 = 272.5s
9
Một vật được ném lên thẳng đứng từ mặt đất, bỏ qua lực cản của không khí. Tính độ cao cực đại mà vật đạt được biết vận tốc ban đầu của vật là 15 m/s, lấy g = 10 m/s2Chuyển động của vật là chuyển động thẳng chậm dần đều với gia tốc:
a = - g = - 10 m/s2
vo = 15 m/s
độ cao cực đại=quãng đường mà vật đi được đến khi dừng lại (v = 0)
v2 – vo2 = 2as ⇒ s = hmax = 11.25 m
Một vật được ném lên theo phương thẳng đứng từ mặt đất. Sau 6s vật lại rơi xuống mặt đất. cho g = 10m/s2. Trả lời câu hỏi 10-11-12 dưới đây
Câu 10: Vận tốc ban đầu của vật.
Chọn chiều dương hướng lên thì phương trình chuyển động của vật là:
Khi vật chạm đất y = 0 ⇒ 
Vậy 
11
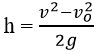
Độ cao tối đa mà vật lên tớiTa có: v2 – vo2 = 2gh ⇒ 
Khi vật ở độ cao tối đa: v = 0 suy ra h = 45 m
12
Vận tốc của vật ở độ cao bằng 1/2 độ cao tối đa
Từ công thức: v12 – vo2 = 2gh1 ⇒ 
Với h1 = 0.5 h = 22.5 m
13
Hai vật ở cùng độ cao vật 1 được ném ngang với vận tốc đầu v0. Cùng lúc đó thì vật 2 được thả rơi tự do không vận tốc đầu. Bỏ qua sức cản của không khí thì lựa chọn nào sau đây là đúng?14
Khi một máy bay đang bay thẳng đều ở độ cao h với tốc độ v0 thì thả rơi một vật. Khi vật chạm đất có vận tốc bao nhiêu?
15
Một vật được ném lên thẳng đứng từ mặt đất, bỏ qua lực cản của không khí. Tính độ cao cực đại mà vật đạt được biết vận tốc ban đầu của vật là 22 m/s, lấy g = 10 m/s2Chuyển động của vật là chuyển động thẳng chậm dần đều với gia tốc:
a = - g = - 10 m/s2
vo = 22 m/s
độ cao cực đại = quãng đường mà vật đi được đến khi dừng lại (v = 0)
v2 – vo2 = 2as ⇒ s = hmax = 24.2 m
Đang tải...
Theo Nghị định 147/2024/ND-CP, bạn cần xác thực tài khoản trước khi sử dụng tính năng này. Chúng tôi sẽ gửi mã xác thực qua SMS hoặc Zalo tới số điện thoại mà bạn nhập dưới đây: