Giao diện mới của VnDoc Pro: Dễ sử dụng hơn - chỉ tập trung vào lớp bạn quan tâm. Vui lòng chọn lớp mà bạn quan tâm: Lưu và trải nghiệm
Đóng
Điểm danh hàng ngày
  • Hôm nay +3
  • Ngày 2 +3
  • Ngày 3 +3
  • Ngày 4 +3
  • Ngày 5 +3
  • Ngày 6 +3
  • Ngày 7 +5
Bạn đã điểm danh Hôm nay và nhận 3 điểm!
Nhắn tin Zalo VNDOC để nhận tư vấn mua gói Thành viên hoặc tải tài liệu Hotline hỗ trợ: 0936 120 169

Bài tập Lực hướng tâm dạng 1

Đóng
Bạn đã dùng hết 1 lần làm bài Trắc nghiệm miễn phí. Mời bạn mua tài khoản VnDoc PRO để tiếp tục! Tìm hiểu thêm
Mô tả thêm:

Chuyên đề Động lực học chất điểm

Bài tập Lực hướng tâm dạng 1 thuộc chuyên đề Vật lý 10, bao gồm các dạng câu hỏi và bài tập nằm trong dạng 1 tính lực hướng tâm, hỗ trợ học sinh ôn luyện nâng cao kết quả môn Lý 10.

  • Số câu hỏi: 15 câu
  • Số điểm tối đa: 15 điểm
Bắt đầu làm bài
Bạn còn 1 lượt làm bài tập miễn phí. Hãy mua tài khoản VnDoc PRO để học không giới hạn nhé! Bạn đã HẾT lượt làm bài tập miễn phí! Hãy mua tài khoản VnDoc PRO để làm Trắc nghiệm không giới hạn và tải tài liệu nhanh nhé!
Mua ngay Đổi điểm
Trước khi làm bài bạn hãy
  • 1 Ôn tập kiến thức đã nêu trong phần Mô tả thêm
  • 2 Tìm không gian và thiết bị phù hợp để tập trung làm bài
  • 3 Chuẩn bị sẵn dụng cụ cần dùng khi làm bài như bút, nháp, máy tính
  • 4 Căn chỉnh thời gian làm từng câu một cách hợp lý
  • Câu 1: Nhận biết

    1

    Chọn phát biểu sai
  • Câu 2: Nhận biết

    2

    Điều nào sau đây là đúng khi nói về lực tác động lên vật chuyển động tròn đều:
  • Câu 3: Nhận biết

    3

    Khi vật chuyển động tròn đều thifd lực hướng tâm là:

  • Câu 4: Nhận biết

    4

    Một vật chuyển động tròn đều theo quỹ đạo có bán kính R = 100 cm với gia tốc hướng tâm aht = 4 m/s2. Chu kì chuyển động của vật là:

    Ta có:

    Vật Lí lớp 10 | Chuyên đề: Lý thuyết và Bài tập Vật Lí 10 có đáp án

    ⇒ ω = 2 rad/s ⇒ T = 2π

  • Câu 5: Nhận biết

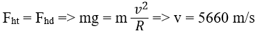
    Bán kính Trái Đất là 6400 km. Tính tốc độ dài, chu kỳ quay, độ lớn lực hấp dẫn tác dụng lên vệ tinh khối lượng 600 kg chuyển động tròn đều quanh trái đất ở độ cao bằng bán kính trái đất, lấy g = 9,8 m/s2. Trả lời câu hỏi 5-6-7 dưới đây

    Câu 5: Tính tốc độ dài của vệ tinh

    r = 2.6400.103 m; m = 600kg, g = 9,8 m/s2

    Lực hấp dẫn đóng vai trò lực hướng tâm ⇒ Fhd = Fht

    Giải

    Fhd = Fht ⇒ GMmr2 = mv2r

    g = GM/R2 ⇒ GM = gR2

    ⇒ v2 = GMr = gR2r ⇒ v = 5600 m/s

  • Câu 6: Nhận biết

    6

    Tính chu kỳ quay của vệ tinh

    T = 2π.rv = 14354s
  • Câu 7: Nhận biết

    7

    Tính độ lớn lực hấp dẫn tác dụng lên vệ tinh

    Fhd = Fht = mv2/r = 1500 N
  • Câu 8: Nhận biết

    8

    Một vật có m = 500g chuyển động tròn đều trên đường tròn có r = 10 cm. Lực hướng tâm tác dụng lên vật 5 N. Tính tốc độ góc của vật.

    Ta có: Fht = mrω2 ⇒ ω = 10 rad/s
  • Câu 9: Nhận biết

    9

    Một vệ tinh nhân tạo có quỹ đạo là một đường tròn cách mặt đất 400 km, quay quanh Trái đất 1 vòng hết 90 phút. Gia tốc hướng tâm của vệ tinh là bao nhiêu, R = 6389 km.

    T = 90 phút = 5400s

    Vậy ω = 2πT = 1.16.10-3 rad/s

    Ta có: aht = v2/r = (R + r).ω2 = 9,13 m/s2

  • Câu 10: Nhận biết

    10

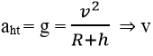
    Một vệ tinh nhân tạo bay quanh Trái Đất ở độ cao h bằng bán kính R của Trái Đất.Tính tốc độ dài của vệ tinh. Lấy g = 10 m/s2 ; R = 6 400 km.

    Ta có:

    Vật Lí lớp 10 | Chuyên đề: Lý thuyết và Bài tập Vật Lí 10 có đáp án
  • Câu 11: Nhận biết

    Một vệ tinh khối lượng 200 kg đang bay trên quỹ đạo tròn quanh Trái Đất mà tại đó nó có trọng lượng 2661 N. Chu kỳ của vệ tinh là 5300s.

    Câu 11: Tính lực hướng tâm tác dụng lên vệ tinh.
    Ta có Fht = P = 2661 N
  • Câu 12: Nhận biết

    12

    Tính khoảng cách từ tâm Trái Đất đến vệ tinh.

    Vì Fht = P = mrω2Vật Lí lớp 10 | Chuyên đề: Lý thuyết và Bài tập Vật Lí 10 có đáp án
  • Câu 13: Nhận biết

    13

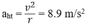
    Xe trò chơi của 1 công viên chuyển động tròn đều với v = 72 km/h. Biết bán kính của lốp xe là 45 m. Tính gia tốc hướng tâm tại một điểm trên lốp bánh xe.

    Vận tốc xe đạp cũng là tốc độ dài của một điểm trên lốp xe: v = 20 m/s

    Gia tốc hướng tâm tại một điểm trên lốp bánh xe là:

    Vật Lí lớp 10 | Chuyên đề: Lý thuyết và Bài tập Vật Lí 10 có đáp án
  • Câu 14: Nhận biết

    14

    Một vệ tinh quay quanh Trái Đất tại độ cao 250 km so với mặt đất. Ở độ cao đó g = 9,1 m/s2. Hỏi tốc độ dài của vệ tinh là bao nhiêu?

     

    Ta có:

    Vật Lí lớp 10 | Chuyên đề: Lý thuyết và Bài tập Vật Lí 10 có đáp án
  • Câu 15: Nhận biết

    15

    Chọn câu sai:

Chúc mừng Bạn đã hoàn thành bài!

Bài tập Lực hướng tâm dạng 1 Kết quả
  • Thời gian làm bài: 00:00:00
  • Số câu đã làm: 0
  • Điểm tạm tính: 0
  • Điểm thưởng: 0

Đấu trường Bài tập Lực hướng tâm dạng 1

Đang tìm đối thủ...

Đang tải...

Xác thực tài khoản!

Theo Nghị định 147/2024/ND-CP, bạn cần xác thực tài khoản trước khi sử dụng tính năng này. Chúng tôi sẽ gửi mã xác thực qua SMS hoặc Zalo tới số điện thoại mà bạn nhập dưới đây:

Số điện thoại chưa đúng định dạng!
Số điện thoại này đã được xác thực!
Bạn có thể dùng Sđt này đăng nhập tại đây!
Lỗi gửi SMS, liên hệ Admin
Sắp xếp theo