Giao diện mới của VnDoc Pro: Dễ sử dụng hơn - chỉ tập trung vào lớp bạn quan tâm. Vui lòng chọn lớp mà bạn quan tâm: Lưu và trải nghiệm
Đóng
Điểm danh hàng ngày
  • Hôm nay +3
  • Ngày 2 +3
  • Ngày 3 +3
  • Ngày 4 +3
  • Ngày 5 +3
  • Ngày 6 +3
  • Ngày 7 +5
Bạn đã điểm danh Hôm nay và nhận 3 điểm!
Nhắn tin Zalo VNDOC để nhận tư vấn mua gói Thành viên hoặc tải tài liệu Hotline hỗ trợ: 0936 120 169

Bài tập Vật lý lớp 6: Đo độ dài (tiếp theo)

Đóng
Bạn đã dùng hết 1 lần làm bài Trắc nghiệm miễn phí. Mời bạn mua tài khoản VnDoc PRO để tiếp tục! Tìm hiểu thêm
Mô tả thêm:

Bài tập Đo độ dài có đáp án

Bài tập Vật lý lớp 6 chương 1 bài 2: Đo độ dài (tiếp theo) là bài tập trực tuyến trên VnDoc với 10 câu hỏi trắc nghiệm Vật lý 6 có đáp án, giúp các em học sinh ôn tập lại kiến thức được học về Đo độ dài trong chương 1 Vật lý 6.

Bài tập Vật lý lớp 6 bao gồm hệ thống các bài tập theo từng đơn vị bài học, giúp các em ôn tập và củng cố kiến thức được học hiệu quả. Đề được để dưới dạng trực tuyến cho các em trực tiếp làm bài và kiểm tra kết quả ngay khi làm xong.

Tải toàn bộ đề và đáp án tại đây: Bài tập Vật lý lớp 6: Đo độ dài (tiếp theo)

  • Số câu hỏi: 11 câu
  • Số điểm tối đa: 11 điểm
Bắt đầu làm bài
Bạn còn 1 lượt làm bài tập miễn phí. Hãy mua tài khoản VnDoc PRO để học không giới hạn nhé! Bạn đã HẾT lượt làm bài tập miễn phí! Hãy mua tài khoản VnDoc PRO để làm Trắc nghiệm không giới hạn và tải tài liệu nhanh nhé!
Mua ngay Đổi điểm
Trước khi làm bài bạn hãy
  • 1 Ôn tập kiến thức đã nêu trong phần Mô tả thêm
  • 2 Tìm không gian và thiết bị phù hợp để tập trung làm bài
  • 3 Chuẩn bị sẵn dụng cụ cần dùng khi làm bài như bút, nháp, máy tính
  • 4 Căn chỉnh thời gian làm từng câu một cách hợp lý
  • Câu 1: Nhận biết

    Câu 1:

    “Khi đo độ dài cần chọn thước có … thích hợp.” Điền từ thích học hợp ô trống

  • Câu 2: Nhận biết

    Câu 2: Khi đo độ dài một vật, người ta chọn thước đo:

  • Câu 3: Nhận biết

    Bài 3: Cho các bước đo độ dài gồm:

    (1) Đặt thước đo và mắt nhìn đúng cách.

    (2) Ước lượng độ dài cần đo để chọn thước đo thích hợp.

    (3) Đọc, ghi kết quả đo đúng quy định.

    Thứ tự đúng các bước thực hiện để đo độ dài là:

    Thứ tự đúng các bước thực hiện để đo độ dài là:

    - Ước lượng độ dài cần đo để chọn thước đo thích hợp.

    - Đặt thước đo và mắt nhìn đúng cách.

    - Đọc, ghi kết quả đo đúng quy định.

    ⇒ Đáp án C

  • Câu 4: Nhận biết

    Bài 4: Nguyên nhân gây ra sai số khi đo chiều dài của một vật là

    Nguyên nhân gây ra sai số khi đo chiều dài của một vật là

    - Chọn dụng cụ đo có GHĐ và ĐCNN không phù hợp.

    - Đặt thước không song song và cách xa vật.

    - Đặt mắt nhìn lệch.

    - Một đầu của vật không đặt đúng vạch số 0 của thước.

    ⇒ Đáp án D

  • Câu 5: Nhận biết

    Bài 5:

    Một bạn dùng thước đo độ dài có ĐCNN là 1mm để đo độ dài bảng đen. Trong các cách ghi kết quả dưới đây, cách ghi nào là đúng?

    Đáp án

    Nếu dùng thước đo có ĐCNN là 1mm để đo, cách ghi kết quả đúng là 2000 mm.

    ⇒ Đáp án A

  • Câu 6: Nhận biết

    Bài 6: Khi đo chiều dài của một vật, cách đặt thước đúng là:

    Khi đo chiều dài của một vật, cách đặt thước đúng là đặt thước dọc theo chiều dài vật, một đầu nằm ngang bằng với vạch 0.

    ⇒ Đáp án A

  • Câu 7: Nhận biết

    Bài 7:

    Một bạn dùng thước đo diện tích tờ giấy hình vuông và ghi kết quả: 106 cm2. Bạn ấy đã dùng thước đo có ĐCNN là

    Đáp án

    Diện tích hình vuông: S = a2 = 106 cm2

    Vậy cạnh a > 10 cm và a < 11 cm nên bạn đó đã dùng thước có ĐCNN nhỏ hơn 1 cm

    ⇒ Đáp án D

  • Câu 8: Nhận biết

    Bài 8:

    Kết quả đo chiều dài và chiều rộng của một tờ giấy được ghi là 29,5 cm và 21,2 cm. Thước đo đã dùng có độ chia nhỏ nhất là

    Đáp án

    Để đo được hai kết quả trên, thước đo đã dùng có ĐCNN là 0,1 cm

    ⇒ Đáp án A

  • Câu 9: Nhận biết

    Bài 9:

    Để đo chiều dài của một vật (lớn hơn 30 cm, nhỏ hơn 50 cm) nên chọn thước nào trong các thước sau đây là phù hợp nhất?

    Đáp án

    Nên chọn thước có GHĐ lớn hơn hoặc bằng 50 cm và có ĐCNN bằng 1 mm

    ⇒ Đáp án C

  • Câu 10: Nhận biết

    Bài 10:

    Để đo số đo cơ thể của khách may quần áo, người thợ may nên dùng thước đo nào dưới đây để có độ chính xác nhất?

    Đáp án

    - Số đo cơ thể của khách may quần áo có nhiều phần như vai, bụng, hông… là những độ dài cong nên không thể dung thước thẳng được mà phải dùng thước dây.

    - Có hai thước dây có GHĐ 1m, chọn thước dây có ĐCNN càng nhỏ thì sai số càng ít.

    ⇒ Đáp án D.

  • Câu 11: Nhận biết

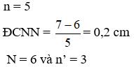
    Bài 11: Chiều dài của chiếc bút chì ở hình vẽ bằng:

    Bài tập vật lý đo độ dài tiếp theo

    Đáp án

    Bài tập vật lý đo độ dài tiếp theo

    Vậy chiều dài của bút chì là:

    Bài tập vật lý đo độ dài tiếp theo

    ⇒ Đáp án A

Chúc mừng Bạn đã hoàn thành bài!

Bài tập Vật lý lớp 6: Đo độ dài (tiếp theo) Kết quả
  • Thời gian làm bài: 00:00:00
  • Số câu đã làm: 0
  • Điểm tạm tính: 0
  • Điểm thưởng: 0

Đấu trường Bài tập Vật lý lớp 6: Đo độ dài (tiếp theo)

Đang tìm đối thủ...

Đang tải...

Xác thực tài khoản!

Theo Nghị định 147/2024/ND-CP, bạn cần xác thực tài khoản trước khi sử dụng tính năng này. Chúng tôi sẽ gửi mã xác thực qua SMS hoặc Zalo tới số điện thoại mà bạn nhập dưới đây:

Số điện thoại chưa đúng định dạng!
Số điện thoại này đã được xác thực!
Bạn có thể dùng Sđt này đăng nhập tại đây!
Lỗi gửi SMS, liên hệ Admin
Sắp xếp theo