Giao diện mới của VnDoc Pro: Dễ sử dụng hơn - chỉ tập trung vào lớp bạn quan tâm. Vui lòng chọn lớp mà bạn quan tâm: Lưu và trải nghiệm
Đóng
Điểm danh hàng ngày
  • Hôm nay +3
  • Ngày 2 +3
  • Ngày 3 +3
  • Ngày 4 +3
  • Ngày 5 +3
  • Ngày 6 +3
  • Ngày 7 +5
Bạn đã điểm danh Hôm nay và nhận 3 điểm!
Nhắn tin Zalo VNDOC để nhận tư vấn mua gói Thành viên hoặc tải tài liệu Hotline hỗ trợ: 0936 120 169

Đề kiểm tra 1 tiết học kì 2 môn Toán đại số lớp 8 trường THCS Hòa Phú, Hà Nội năm học 2016 - 2017

Đóng
Bạn đã dùng hết 1 lần làm bài Trắc nghiệm miễn phí. Mời bạn mua tài khoản VnDoc PRO để tiếp tục! Tìm hiểu thêm
Mô tả thêm:

Đề kiểm tra 1 tiết học kì 2 môn Toán đại số lớp 8

Mời các bạn cùng tham gia làm bài trắc nghiệm Đề kiểm tra 1 tiết học kì 2 môn Toán đại số lớp 8 trường THCS Hòa Phú, Hà Nội năm học 2016 - 2017 mới được cập nhật trên hệ thống VnDoc, với nhiều câu hỏi trắc nghiệm kết hợp cùng bài tạp tự luận giúp bạn dễ dàng ghi nhớ công thức và kiến thức đã học. 

Đề thi học kì 2 môn Toán lớp 8 Trường THCS Phạm Công Bình năm 2015 - 2016

Đề kiểm tra 1 tiết học kì 2 môn Toán đại số lớp 8 trường THCS Bông Trang, Bà Rịa Vũng Tàu năm học 2016 - 2017

  • Số câu hỏi: 7 câu
  • Số điểm tối đa: 10 điểm
Bắt đầu làm bài
Bạn còn 1 lượt làm bài tập miễn phí. Hãy mua tài khoản VnDoc PRO để học không giới hạn nhé! Bạn đã HẾT lượt làm bài tập miễn phí! Hãy mua tài khoản VnDoc PRO để làm Trắc nghiệm không giới hạn và tải tài liệu nhanh nhé!
Mua ngay Đổi điểm
Trước khi làm bài bạn hãy
  • 1 Ôn tập kiến thức đã nêu trong phần Mô tả thêm
  • 2 Tìm không gian và thiết bị phù hợp để tập trung làm bài
  • 3 Chuẩn bị sẵn dụng cụ cần dùng khi làm bài như bút, nháp, máy tính
  • 4 Căn chỉnh thời gian làm từng câu một cách hợp lý
  • Câu 1: Nhận biết

    1

    Phương trình –x + b = 0 có một nghiệm x = 1, thì b bằng:

  • Câu 2: Nhận biết

    2

  • Câu 3: Nhận biết

    3

    Trong các phương trình sau, phương trình nào là phương trình bậc nhất một ẩn:

  • Câu 4: Nhận biết

    4

    Trong các phương trình sau, phương trình nào có vô số nghiệm:

  • Câu 5: Nhận biết

    5

  • Câu 6: Nhận biết

    6

  • Câu 7: Nhận biết
    7

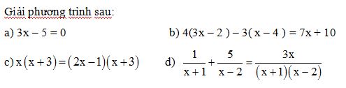
    a x = 5/3

    b x = 3

    c x = -3 và x = 1

    d ĐKXĐ x ≠ -1 và x ≠ 2x = -1 không phải nghiệm phương trình

    Đáp án là:
    7

    a x = 5/3

    b x = 3

    c x = -3 và x = 1

    d ĐKXĐ x ≠ -1 và x ≠ 2x = -1 không phải nghiệm phương trình

Chúc mừng Bạn đã hoàn thành bài!

Đề kiểm tra 1 tiết học kì 2 môn Toán đại số lớp 8 trường THCS Hòa Phú, Hà Nội năm học 2016 - 2017 Kết quả
  • Thời gian làm bài: 00:00:00
  • Số câu đã làm: 0
  • Điểm tạm tính: 0
  • Điểm thưởng: 0

Đấu trường Đề kiểm tra 1 tiết học kì 2 môn Toán đại số lớp 8 trường THCS Hòa Phú, Hà Nội năm học 2016 - 2017

Đang tìm đối thủ...

Đang tải...

Xác thực tài khoản!

Theo Nghị định 147/2024/ND-CP, bạn cần xác thực tài khoản trước khi sử dụng tính năng này. Chúng tôi sẽ gửi mã xác thực qua SMS hoặc Zalo tới số điện thoại mà bạn nhập dưới đây:

Số điện thoại chưa đúng định dạng!
Số điện thoại này đã được xác thực!
Bạn có thể dùng Sđt này đăng nhập tại đây!
Lỗi gửi SMS, liên hệ Admin
Sắp xếp theo