Giao diện mới của VnDoc Pro: Dễ sử dụng hơn - chỉ tập trung vào lớp bạn quan tâm. Vui lòng chọn lớp mà bạn quan tâm: Lưu và trải nghiệm
Đóng
Điểm danh hàng ngày
  • Hôm nay +3
  • Ngày 2 +3
  • Ngày 3 +3
  • Ngày 4 +3
  • Ngày 5 +3
  • Ngày 6 +3
  • Ngày 7 +5
Bạn đã điểm danh Hôm nay và nhận 3 điểm!
Nhắn tin Zalo VNDOC để nhận tư vấn mua gói Thành viên hoặc tải tài liệu Hotline hỗ trợ: 0936 120 169

Đề thi Olympic Tiếng Anh lớp 11 vòng 20 năm 2013 - 2014

Đóng
Bạn đã dùng hết 1 lần làm bài Trắc nghiệm miễn phí. Mời bạn mua tài khoản VnDoc PRO để tiếp tục! Tìm hiểu thêm
Mô tả thêm:

Đề thi Tiếng Anh qua mạng (IOE) lớp 11

VnDoc xin giới thiệu Đề thi Olympic Tiếng Anh lớp 11 vòng 20 năm 2013 - 2014 là một trong những vòng thi trắc nghiệm tiếng anh 11 quan trọng với nhiều dạng câu hỏi kiến thức khác nhau giúp học sinh không chỉ rèn luyện được kỹ năng làm bài mà còn ôn luyện ngữ pháp tiếng anh.

Đề thi Olympic Tiếng Anh lớp 11 vòng 18 năm 2013 - 2014

Đề thi Olympic Tiếng Anh lớp 11 vòng 19 năm 2013 - 2014

  • Số câu hỏi: 10 câu
  • Số điểm tối đa: 10 điểm
Bắt đầu làm bài
Bạn còn 1 lượt làm bài tập miễn phí. Hãy mua tài khoản VnDoc PRO để học không giới hạn nhé! Bạn đã HẾT lượt làm bài tập miễn phí! Hãy mua tài khoản VnDoc PRO để làm Trắc nghiệm không giới hạn và tải tài liệu nhanh nhé!
Mua ngay Đổi điểm
Trước khi làm bài bạn hãy
  • 1 Ôn tập kiến thức đã nêu trong phần Mô tả thêm
  • 2 Tìm không gian và thiết bị phù hợp để tập trung làm bài
  • 3 Chuẩn bị sẵn dụng cụ cần dùng khi làm bài như bút, nháp, máy tính
  • 4 Căn chỉnh thời gian làm từng câu một cách hợp lý
  • Câu 1: Nhận biết

    Câu 1

    What is the ones digit of 72011?

  • Câu 2: Nhận biết

    Câu 2

    Jane is keeping a journal in a notebook. She numbers each page of the journal by hand. When she finishes numbering the pages she realizes it took her twice as many digits as the number of the last page to do so. How many pages does the journal contain?

  • Câu 3: Nhận biết

    Câu 3

    How many points (x, y) with integer coordinates lie inside or along the boundary of the circle of radius 5 centered at (0, 0)?

  • Câu 4: Nhận biết

    Câu 4

    If f(x) = 3x - 7, then f-1(f-1(-1)) is which of the following?

  • Câu 5: Nhận biết

    Câu 5

    Suppose that the number 11A1B is divisible by 3, where A and B represent distinct digits from {0, 1, 2,..., 9}. How many values of A + B are possible?

  • Câu 6: Nhận biết

    Câu 6

    Six people are sitting in a room. When an 80-year old man enters the room, the average age of the people in the room doubles. What was the average age of the six people originally sitting in the room?

  • Câu 7: Nhận biết

    Câu 7

    Working together, Gary and his dad were able to paint their living room in h hours. From experience, Gary's dad knows that it takes him d hours to do this task alone. How long would it take Gary to paint the living room alone?

  • Câu 8: Nhận biết

    Câu 8


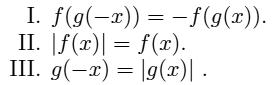
    If f(x) = x2 + 1 and g(x) = x3, which of the statements above is/are true?

  • Câu 9: Nhận biết

    Câu 9

    If -3x2 + kx + 18 has two integer roots that are five units apart, then k could be which of the following?

  • Câu 10: Nhận biết

    Câu 10


    A Kakuro puzzle asks the solver to enter a digit from 1 to 9 inclusive in each blank so that the sum of the number in each row or column matches the clue and so that no digit is repeated in the sum. For example, the sum for a clue 6 with two blanks could only be 6 = 1 + 5 or 6 = 2 + 4. Which number(s) can be a clue in the position marked x?

Chúc mừng Bạn đã hoàn thành bài!

Đề thi Olympic Tiếng Anh lớp 11 vòng 20 năm 2013 - 2014 Kết quả
  • Thời gian làm bài: 00:00:00
  • Số câu đã làm: 0
  • Điểm tạm tính: 0
  • Điểm thưởng: 0

Đấu trường Đề thi Olympic Tiếng Anh lớp 11 vòng 20 năm 2013 - 2014

Đang tìm đối thủ...

Đang tải...

Xác thực tài khoản!

Theo Nghị định 147/2024/ND-CP, bạn cần xác thực tài khoản trước khi sử dụng tính năng này. Chúng tôi sẽ gửi mã xác thực qua SMS hoặc Zalo tới số điện thoại mà bạn nhập dưới đây:

Số điện thoại chưa đúng định dạng!
Số điện thoại này đã được xác thực!
Bạn có thể dùng Sđt này đăng nhập tại đây!
Lỗi gửi SMS, liên hệ Admin
Sắp xếp theo