Giao diện mới của VnDoc Pro: Dễ sử dụng hơn - chỉ tập trung vào lớp bạn quan tâm. Vui lòng chọn lớp mà bạn quan tâm: Lưu và trải nghiệm
Đóng
Điểm danh hàng ngày
  • Hôm nay +3
  • Ngày 2 +3
  • Ngày 3 +3
  • Ngày 4 +3
  • Ngày 5 +3
  • Ngày 6 +3
  • Ngày 7 +5
Bạn đã điểm danh Hôm nay và nhận 3 điểm!
Nhắn tin Zalo VNDOC để nhận tư vấn mua gói Thành viên hoặc tải tài liệu Hotline hỗ trợ: 0936 120 169

Đề thi Olympic Tiếng Anh lớp 11 vòng 34 năm 2013 - 2014

Đóng
Bạn đã dùng hết 1 lần làm bài Trắc nghiệm miễn phí. Mời bạn mua tài khoản VnDoc PRO để tiếp tục! Tìm hiểu thêm
Mô tả thêm:

Đề thi Tiếng Anh qua mạng (IOE) lớp 11

Đề thi Olympic Tiếng Anh lớp 11 vòng 34 năm 2013 - 2014 vừa có mặt trên hệ thống bài thi trắc nghiệm VnDoc, với những câu hỏi bổ ích giúp học sinh dễ dàng củng cố lại những kiến thức đã học và nâng cao khả năng giải quyết nhiều dạng bài tập mới.

Đề thi Olympic Tiếng Anh lớp 11 vòng 32 năm 2013 - 2014

Đề thi Olympic Tiếng Anh lớp 11 vòng 33 năm 2013 - 2014

  • Số câu hỏi: 10 câu
  • Số điểm tối đa: 10 điểm
Bắt đầu làm bài
Bạn còn 1 lượt làm bài tập miễn phí. Hãy mua tài khoản VnDoc PRO để học không giới hạn nhé! Bạn đã HẾT lượt làm bài tập miễn phí! Hãy mua tài khoản VnDoc PRO để làm Trắc nghiệm không giới hạn và tải tài liệu nhanh nhé!
Mua ngay Đổi điểm
Trước khi làm bài bạn hãy
  • 1 Ôn tập kiến thức đã nêu trong phần Mô tả thêm
  • 2 Tìm không gian và thiết bị phù hợp để tập trung làm bài
  • 3 Chuẩn bị sẵn dụng cụ cần dùng khi làm bài như bút, nháp, máy tính
  • 4 Căn chỉnh thời gian làm từng câu một cách hợp lý
  • Câu 1: Nhận biết

    Câu 1

    Which expression is equivalent to (√2x2)4?

  • Câu 2: Nhận biết

    Câu 2

    "Two lines in a plane always intersect in exactly one point." Which of the following best describes a counterexample to the assertion above?

  • Câu 3: Nhận biết

    Câu 4


    Which function represents the linear pattern shown in the table?

  • Câu 4: Nhận biết

    Câu 4

    Given: TRAP is an isosceles trapezoid with diagonals RP and TA. Which of the following must be true?

  • Câu 5: Nhận biết

    Câu 5

    Marta is buying a car for $12,294. She agrees to make an initial payment of $1,200 and then $258 per month for n months. Which equation can Marta use to determine the number of months, n, it will take her to finish paying for the car?

  • Câu 6: Nhận biết

    Câu 6

    Which triangles must be similar?

  • Câu 7: Nhận biết

    Câu 7


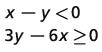
    Which graph best represents the solution to the system of linear inequalities?

  • Câu 8: Nhận biết

    Câu 8


    Parallelogram ABCD is shown above. Which pair of triangles can be established to be congruent to prove that ∠DAB ≌ ∠BCD?

  • Câu 9: Nhận biết

    Câu 9

    Which graph best represents the equation 5x - 3y = 12?

  • Câu 10: Nhận biết

    Câu 10

    In parallelogram FGHI, diagonals IG and FH are drawn and intersect at point M. Which of the following statements must be true?

Chúc mừng Bạn đã hoàn thành bài!

Đề thi Olympic Tiếng Anh lớp 11 vòng 34 năm 2013 - 2014 Kết quả
  • Thời gian làm bài: 00:00:00
  • Số câu đã làm: 0
  • Điểm tạm tính: 0
  • Điểm thưởng: 0

Đấu trường Đề thi Olympic Tiếng Anh lớp 11 vòng 34 năm 2013 - 2014

Đang tìm đối thủ...

Đang tải...

Xác thực tài khoản!

Theo Nghị định 147/2024/ND-CP, bạn cần xác thực tài khoản trước khi sử dụng tính năng này. Chúng tôi sẽ gửi mã xác thực qua SMS hoặc Zalo tới số điện thoại mà bạn nhập dưới đây:

Số điện thoại chưa đúng định dạng!
Số điện thoại này đã được xác thực!
Bạn có thể dùng Sđt này đăng nhập tại đây!
Lỗi gửi SMS, liên hệ Admin
Sắp xếp theo