Giao diện mới của VnDoc Pro: Dễ sử dụng hơn - chỉ tập trung vào lớp bạn quan tâm. Vui lòng chọn lớp mà bạn quan tâm: Lưu và trải nghiệm
Đóng
Điểm danh hàng ngày
  • Hôm nay +3
  • Ngày 2 +3
  • Ngày 3 +3
  • Ngày 4 +3
  • Ngày 5 +3
  • Ngày 6 +3
  • Ngày 7 +5
Bạn đã điểm danh Hôm nay và nhận 3 điểm!
Nhắn tin Zalo VNDOC để nhận tư vấn mua gói Thành viên hoặc tải tài liệu Hotline hỗ trợ: 0936 120 169

Đề thi Olympic Tiếng Anh lớp 11 vòng 33 năm 2013 - 2014

Đóng
Bạn đã dùng hết 1 lần làm bài Trắc nghiệm miễn phí. Mời bạn mua tài khoản VnDoc PRO để tiếp tục! Tìm hiểu thêm
Mô tả thêm:

Đề thi Tiếng Anh qua mạng (IOE) lớp 11

Đề thi Olympic Tiếng Anh lớp 11 vòng 33 năm 2013 - 2014 với những câu hỏi bổ ích nhằm cung cấp cho các em học sinh tài liệu tham khảo phục vụ quá trình ôn luyện ngữ pháp tiếng anh cũng như làm quen với cách sử dụng câu, từ. Chúc các em có được số điểm cao!

Đề thi Olympic Tiếng Anh lớp 11 vòng 31 năm 2013 - 2014

Đề thi Olympic Tiếng Anh lớp 11 vòng 32 năm 2013 - 2014

  • Số câu hỏi: 10 câu
  • Số điểm tối đa: 10 điểm
Bắt đầu làm bài
Bạn còn 1 lượt làm bài tập miễn phí. Hãy mua tài khoản VnDoc PRO để học không giới hạn nhé! Bạn đã HẾT lượt làm bài tập miễn phí! Hãy mua tài khoản VnDoc PRO để làm Trắc nghiệm không giới hạn và tải tài liệu nhanh nhé!
Mua ngay Đổi điểm
Trước khi làm bài bạn hãy
  • 1 Ôn tập kiến thức đã nêu trong phần Mô tả thêm
  • 2 Tìm không gian và thiết bị phù hợp để tập trung làm bài
  • 3 Chuẩn bị sẵn dụng cụ cần dùng khi làm bài như bút, nháp, máy tính
  • 4 Căn chỉnh thời gian làm từng câu một cách hợp lý
  • Câu 1: Nhận biết

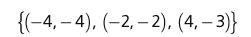
    Câu 1

    This graph represents a relation. Which set of ordered pairs is included in this relation?
  • Câu 2: Nhận biết

    Câu 2

    These are box-and-whisker plots of four different groups of test scores. Which has the greatest range?

  • Câu 3: Nhận biết

    Câu 3

    (x - k)(y - k) =

  • Câu 4: Nhận biết

    Câu 4


    For the data set shown, which measure is the greatest?

  • Câu 5: Nhận biết

    Câu 5



    The diagram above shows the dime for the floor of a room. What is the dimension, in feet (ft), represented by x?

  • Câu 6: Nhận biết

    Câu 6


    An engine is tested for torque output at different revolutions per minute. Which equation most closely defines the line of best fit for the data?

  • Câu 7: Nhận biết

    Câu 7

    A data set has a mean of 33. Marcy multiplies each value in this data set by 5. What is the mean of Marcy's new data set?

  • Câu 8: Nhận biết

    Câu 8


    In the diagram above, ∠1 ≌ ∠4. Which of the following conclusions does not have to be true?

  • Câu 9: Nhận biết

    Câu 9

    A lawn can be mowed at an average rate of 44 square feet per minute. Which is closest to this rate in square yards per second?

  • Câu 10: Nhận biết

    Câu 10


    Use the proof above to answer the question: What reason can be used to prove that the triangles are congruent?

Chúc mừng Bạn đã hoàn thành bài!

Đề thi Olympic Tiếng Anh lớp 11 vòng 33 năm 2013 - 2014 Kết quả
  • Thời gian làm bài: 00:00:00
  • Số câu đã làm: 0
  • Điểm tạm tính: 0
  • Điểm thưởng: 0

Đấu trường Đề thi Olympic Tiếng Anh lớp 11 vòng 33 năm 2013 - 2014

Đang tìm đối thủ...

Đang tải...

Xác thực tài khoản!

Theo Nghị định 147/2024/ND-CP, bạn cần xác thực tài khoản trước khi sử dụng tính năng này. Chúng tôi sẽ gửi mã xác thực qua SMS hoặc Zalo tới số điện thoại mà bạn nhập dưới đây:

Số điện thoại chưa đúng định dạng!
Số điện thoại này đã được xác thực!
Bạn có thể dùng Sđt này đăng nhập tại đây!
Lỗi gửi SMS, liên hệ Admin
Sắp xếp theo