Giao diện mới của VnDoc Pro: Dễ sử dụng hơn - chỉ tập trung vào lớp bạn quan tâm. Vui lòng chọn lớp mà bạn quan tâm: Lưu và trải nghiệm
Đóng
Điểm danh hàng ngày
  • Hôm nay +3
  • Ngày 2 +3
  • Ngày 3 +3
  • Ngày 4 +3
  • Ngày 5 +3
  • Ngày 6 +3
  • Ngày 7 +5
Bạn đã điểm danh Hôm nay và nhận 3 điểm!
Nhắn tin Zalo VNDOC để nhận tư vấn mua gói Thành viên hoặc tải tài liệu Hotline hỗ trợ: 0936 120 169

Đề thi thử THPT Quốc gia môn Hóa năm 2016 Trường THPT Đoàn Thượng, Hải Dương (Lần 1)

Đóng
Bạn đã dùng hết 1 lần làm bài Trắc nghiệm miễn phí. Mời bạn mua tài khoản VnDoc PRO để tiếp tục! Tìm hiểu thêm
Mô tả thêm:

Đề thi thử đại học môn Hóa có đáp án

Với mục tiêu giúp các bạn học sinh lớp 12 rèn luyện và làm quen với nhiều dạng đề thi khác nhau của môn Hóa VnDoc xin giới thiệu bài test Đề thi thử THPT Quốc gia môn Hóa năm 2016 Trường THPT Đoàn Thượng, Hải Dương (Lần 1). Hi vọng bài test này sẽ là công cụ hữu ích góp phần giúp các bạn làm quen với nhiều dạng câu hỏi khác nhau cũng như tìm ra cách giải nhanh nhất cho mỗi câu hỏi. Chúc các bạn ôn thi tốt!

  • Thời gian làm: 90 phút
  • Số câu hỏi: 50 câu
  • Số điểm tối đa: 50 điểm
Bắt đầu làm bài
Bạn còn 1 lượt làm bài tập miễn phí. Hãy mua tài khoản VnDoc PRO để học không giới hạn nhé! Bạn đã HẾT lượt làm bài tập miễn phí! Hãy mua tài khoản VnDoc PRO để làm Trắc nghiệm không giới hạn và tải tài liệu nhanh nhé!
Mua ngay Đổi điểm
Trước khi làm bài bạn hãy
  • 1 Ôn tập kiến thức đã nêu trong phần Mô tả thêm
  • 2 Tìm không gian và thiết bị phù hợp để tập trung làm bài
  • 3 Chuẩn bị sẵn dụng cụ cần dùng khi làm bài như bút, nháp, máy tính
  • 4 Căn chỉnh thời gian làm từng câu một cách hợp lý
  • Câu 1: Nhận biết

    Cho nguyên tử khối: H = 1, C = 12, N = 14, O = 16, Na = 23, Mg = 24, Al = 27, S = 32, Cl = 35,5, Ca = 40, Fe = 56, Cu = 64, Zn = 65, Ag = 108, Ba = 137.

    Câu 1:
    Phát biểu nào sau đây đúng?
  • Câu 2: Nhận biết

    Câu 2:

    Hợp chất thuộc loại đipeptit là:

  • Câu 3: Nhận biết

    Câu 3:

    Cho m gam hỗn hợp X gồm 2 kim loại kiềm thuộc 2 chu kì liên tiếp tác dụng với 180 ml dung dịch Al2(SO4)3 1M thu được 15,6 gam kết tủa, khí H2 và dung dịch Y. Nếu cho m gam hỗn hợp X tác dụng với 240 gam dung dịch HCl 18,25% thu được dung dịch Z và H2. Cô cạn dung dịch Z thu được 83,704 gam chất rắn khan. Kim loại kiềm có khối lượng nguyên tử nhỏ là:

  • Câu 4: Nhận biết

    Câu 4:

    Ứng với công thức phân tử C4H9NO2 có số amino axit đồng phân cấu tạo của nhau là:
  • Câu 5: Nhận biết

    Câu 5:

    Cho một lượng Fe hoà tan hết vào dung dịch chứa 0,1 mol HNO3 và 0,15 mol AgNO3 sau phản ứng thu được dung dịch X chỉ chứa Fe(NO3)3, khí NO (sản phẩm khử duy nhất của N+5) và chất rắn Y. Cho m gam bột Cu vào dung dịch X thu được dung dịch Z trong đó có khối lượng của Fe(NO3)3 là 7,986 gam. m có giá trị là:

  • Câu 6: Nhận biết

    Câu 6:

    Tơ tằm và nilon-6,6 đều:

  • Câu 7: Nhận biết

    Câu 7:

    Hỗn hợp X gồm một este no, đơn chức mạch hở và một axit no, đơn chức, mạch hở. Biết m gam hỗn hợp X tác dụng vừa đủ với 400 ml dung dịch KOH 0,1M. Mặt khác m gam hỗn hợp X đem đốt cháy hoàn toàn cần V lít khí O2 (đktc) và tạo ra 0,14 mol CO2. Giá trị của V là:

  • Câu 8: Nhận biết

    Câu 8:

    Polime nào sau đây được dùng làm chất dẻo? 

  • Câu 9: Nhận biết

    Câu 9:

    Nhận xét nào sau đây sai?

  • Câu 10: Nhận biết

    Câu 10:

    X là tetrapeptit Ala-Gly-Val-Ala, Y là tripeptit Val-Gly-Val. Đun nóng m gam hỗn hợp X và Y có tỉ lệ số mol nX : nY = 1:3 với 780 ml dung dịch NaOH 1M (vừa đủ), sau khi phản ứng kết thúc thu được dung dịch Z. Cô cạn dung dịch Z thu được 94,98 gam muối. m có giá trị là:

  • Câu 11: Nhận biết

    Câu 11:

    Cho 9,6 gam bột kim loại M vào 500 ml dung dịch HCl 1M, khi phản ứng kết thúc thu được 5,376 lít khí (đktc). Kim loại M là:

  • Câu 12: Nhận biết

    Câu 12:

    Trộn 100ml dung dịch X (gồm KHCO3 1m và K2CO3 1M ) vào 100ml dung dịch Y (gồm NaHCO3 1m và Na2CO3 1M ) thu được dung dịch G. Nhỏ từ từ 100ml dung dịch T (gồm H2SO4 1m và HCl 1M ) vào dung dịch G thu được V lít CO2 (đktc) và dung dịch Z. Cho dung dịch Ba(H)2 tới dư vào dung dịch Z thì thu được m gam kết tủa. Giá trị của m và V lần lượt là:

  • Câu 13: Nhận biết

    Câu 13:

    Phèn chua có công thức là:

  • Câu 14: Nhận biết

    Câu 14:

    Cho 11,36 gam hỗn hợp gồm Fe, FeO, Fe2O3 và Fe3O4 phản ứng hết với dung dịch HNO3 loãng (dư), thu được 1,344 lít khí NO (đktc, sản phẩm khử duy nhất của N+5) và dung dịch X. Cô cạn dung dịch X thu được m gam muối khan. Giá trị của m là:

  • Câu 15: Nhận biết

    Câu 15:

    Cho các chất và các dung dịch sau: khí O2, dung dịch HCl, dung dịch HNO3 đặc nguội, dung dịch FeCl3, dung dịch AgNO3, dung dịch H2SO4 đặc nguội. Số chất hoặc dung dịch tác dụng với Fe là:

  • Câu 16: Nhận biết

    Câu 16:

    Thể tích của dung dịch axit nitric 63% (D = 1,4 g/ml) cần vừa đủ để sản xuất được 59,4 kg xenlulozơ trinitrat (hiệu suất 80%) là:

  • Câu 17: Nhận biết

    Câu 17:

    Cho các kim loại: Cu, Ag, Au, Al, Fe. Kim loại có tính dẫn điện kém nhất là:

  • Câu 18: Nhận biết

    Câu 18:

    Thủy phân m gam xenlulozơ trong môi trường axit. Sau một thời gian phản ứng, đem trung hòa axit bằng kiềm, sau đó cho hỗn hợp tác dụng hoàn toàn với lượng dư dung dịch AgNO3 trong NH3 (đun nóng) thu được m gam Ag. Hiệu suất phản ứng thủy phân xenlulozơ là:

  • Câu 19: Nhận biết

    Câu 19:

    Cho hỗn hợp X gồm hai hợp chất hữu cơ no, đơn chức tác dụng vừa đủ với 100 ml dung dịch KOH 0,4M, thu được một muối và 336 ml hơi một ancol (đktc). Nếu đốt cháy hoàn toàn lượng hỗn hợp X trên, sau đó hấp thụ hết sản phẩm cháy vào bình đựng dung dịch Ca(OH)2 dư thì khối lượng bình tăng 6,82 gam. Công thức của hai hợp chất hữu cơ trong X là:

  • Câu 20: Nhận biết

    Câu 20:

    Cho các chất sau: glucozơ, fructozơ, tinh bột, xenlulozơ, etyl axetat, saccarozơ. Số chất bị thuỷ phân trong môi trường kiềm khi đun nóng là:

  • Câu 21: Nhận biết

    Câu 21:

    Tiến hành phản ứng nhiệt nhôm hoàn toàn m gam hỗn hợp X gồm bột Al và FexOy trong điều kiện không có không khí thu được hỗn hợp Y. Nghiền nhỏ, trộn đều hỗn hợp Y rồi chia thành 2 phần
    Phần 1: có khối lượng 14,49 gam được hòa tan hết trong dung dịch HNO3 loãng, dư, đun nóng thu được dung dịch Z và 0,165 mol NO (sản phẩm khử duy nhất của N+5).
    Phần 2: đem tác dụng với dung dịch NaOH dư đun nóng thu được 0,015 mol khí và còn lại 2,52 gam chất rắn. Công thức của oxit sắt và giá trị của m lần lượt là:

  • Câu 22: Nhận biết

    Câu 22:

    Cho 0,3 mol hỗn hợp X gồm (axit glutamic và glyxin) vào 700 ml dung dịch HCl 0,5M, thu được dung dịch Y, Y phản ứng vừa đủ với 175 ml dung dịch NaOH 4M. Phần trăm theo số mol của glyxin trong X là:

  • Câu 23: Nhận biết

    Câu 23:

    Nhận xét nào sau đây đúng?

  • Câu 24: Nhận biết

    Câu 24:

    Cho khí CO qua hỗn hợp T gồm Fe và Fe2O3 nung nóng thu được hỗn hợp khí X và hỗn hợp chất rắn Y. Cho X qua dung dịch Ca(OH)2 dư thu được 6 gam kết tủa. Mặt khác, hòa tan hỗn hợp Y bằng dung dịch H2SO4 đặc, nóng, dư thu được 0,18 mol SO2 (sản phẩm khử duy nhất của S+6) và 24 gam muối. Phần trăm số mol của Fe trong hỗn hợp T là:

  • Câu 25: Nhận biết

    Câu 25:

    X là trieste của glixerol và axit đơn chức, mạch hở. Đốt cháy hoàn toàn a mol X thì thu được b mol CO2 và c mol H2O, biết b − c = 4a. Hiđro hóa m gam X cần 6,72 lít H2 (đktc) thu được 39 gam Y. Nếu đun m gam X với dung dịch chứa 0,7 mol NaOH đến phản ứng hoàn toàn rồi cô cạn dung dịch sau phản ứng thì thu được lượng chất rắn là:

  • Câu 26: Nhận biết

    Câu 26:

    Các vật dụng bằng nhôm đều bền trong không khí vì:

  • Câu 27: Nhận biết

    Câu 27:

    Etyl axetat có công thức là:

  • Câu 28: Nhận biết

    Câu 28:

    Khi đốt cháy chất hữu cơ X thu được số mol CO2 bằng số mol H2O. Chất X có thể lên men rượu. Chất X là:

  • Câu 29: Nhận biết

    Câu 29:

    Cho từ từ đến hết 25 gam dung dịch HCl 14,6% vào 100 gam dung Na2CO3 a%, phản ứng kết thúc, thu được 125 gam dung dịch X. Nếu cho từ từ đến hết 30 gam dung dịch HCl 14,6% vào 100 dung dịch Na2CO3 a% thì thu được 129,12 gam dung dịch Y. Nếu cho dung dịch Ba(OH)2 dư vào X, khối lượng kết tủa thu được là m gam. Giá trị của m là:

  • Câu 30: Nhận biết

    Câu 30:

    Metylamin có công thức là:

  • Câu 31: Nhận biết

    Câu 31:

    Lấy cùng một lượng ban đầu của các kim loại sau: Zn, Mg, Al, Fe tác dụng với dung dịch H2SO4 loãng dư. Kim loại cho lượng khí H2 nhiều nhất (ở cùng điều kiện) là:

  • Câu 32: Nhận biết

    Câu 32:

    Cho 12,55 gam muối CH3CH(NH3Cl)COOH tác dụng với 150 ml dung dịch Ba(OH)2 1M. Cô cạn dung dịch sau phản ứng thu được m gam chất rắn. Giá trị của m là:

  • Câu 33: Nhận biết

    Câu 33:

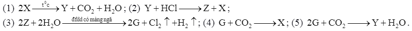
    Cho sơ đồ 5 phương trình phản ứng sau:
    Đề thi thử đại học môn hóa

    Đốt G trong ngọn lửa đèn khí ngọn lửa có màu vàng. Vậy X, Y, Z và G tương ứng là:

  • Câu 34: Nhận biết

    Câu 34:

    Những kim loại thuộc dãy nào sau đây đều phản ứng với dung dịch CuSO4?

  • Câu 35: Nhận biết

    Câu 35:

    Cho m gam hỗn hợp X gồm Ba, BaO, Al vào nước dư sau khi phản ứng kết thúc thu được dung dịch Y, 3,024 lít khí (đktc) và 0,54 gam chất rắn không tan. Cho 110 ml dung dịch HCl 1M vào dung dịch Y thu được 5,46 gam kết tủa. m có giá trị là:

  • Câu 36: Nhận biết

    Câu 36:

    Mạng tinh thể kim loại gồm có:

  • Câu 37: Nhận biết

    Câu 37:

    Dung dịch X chứa HCl, CuSO4 và Fe2(SO4)3. Lấy 400 ml dung dịch X đem điện phân (điện cực trơ) với cường độ dòng điện 7,72 ampe đến khi ở catot được 0,08 mol Cu thì dừng lại. Khi đó ở anot có 0,1 mol một chất khí bay ra. Thời gian điện phân và nồng độ mol/lit của Fe2+ lần lượt là:

  • Câu 38: Nhận biết

    Câu 38:

    Trộn 5,6 gam bột sắt với 2,4 gam bột lưu huỳnh rồi nung nóng (trong điều kiện không có không khí), thu được hỗn hợp rắn M. Cho M tác dụng với lượng dư dung dịch HCl, giải phóng hỗn hợp khí X và còn lại một phần không tan G. Để đốt cháy hoàn toàn X và G cần vừa đủ V lít khí O2 (ở đktc). Giá trị của V là:

  • Câu 39: Nhận biết

    Câu 39:

    Khi đun nóng nước cứng tạm thời thì hiện tượng quan sát được là:

  • Câu 40: Nhận biết

    Câu 40:

    Sau đây là ba dạng đồ thị biểu diễn số mol chất rắn (CaCO3) phụ thuộc vào số mol của chất X khi cho từ từ vào chất Y ứng với bốn thí nghiệm sau:
    (a) Cho từ từ đến dư khí CO2 vào dung dịch Ca(OH)2.
    (b) Cho từ từ đến dư dung dịch HCl vào CaCO3.
    (c) Cho từ từ đến dư dung dịch Na2CO3 vào dung dịch Ca(OH)2.
    (d) Cho từ từ đến dư dung dịch NaOH vào dung dịch Ca(HCO3)2.
    Đề thi thử đại học môn hóa

    Nhận xét nào sau đây đúng?

  • Câu 41: Nhận biết

    Câu 41:

    Este nào sau đây có mùi thơm của chuối chín?

  • Câu 42: Nhận biết

    Câu 42:

    Cho các chất sau: Al2O3, Na2CO3, Al(OH)3, Fe(OH)3, AlCl3, NaOH, Ca(OH)2, Ca(HCO3)2. Số chất lưỡng tính là:

  • Câu 43: Nhận biết

    Câu 43:

    Cho 23,2 gam hỗn hợp Al, Mg và Zn ( số mol mỗi kim loại bằng nhau) tác dụng hết với dung dịch HNO3 thu được dung dịch X và 5,376 lít hỗn hợp 4 khí N2, NO, NO2, N2O trong đó 2 khí N2 và NO2 có số mol bằng nhau. Cô cạn cẩn thận dung dịch X thu được 112 gam muối khan. Số mol HNO3 bị khử là:

  • Câu 44: Nhận biết

    Câu 44:

    Đốt cháy hoàn toàn 4,872 gam một hiđrocacbon X, dẫn sản phẩm cháy qua bình đựng dung dịch nước vôi trong. Sau phản ứng thu được 27,93 gam kết tủa và thấy khối lượng dung dịch giảm 5,586 gam. Công thức phân tử của X là:

  • Câu 45: Nhận biết

    Câu 45:

    Dung dịch Ca(HCO3)2 phản ứng được với tất cả các chất trong dãy nào sau đây?

  • Câu 46: Nhận biết

    Câu 46:

    Quặng hematit có thành phần chủ yếu là:

  • Câu 47: Nhận biết

    Câu 47:

    Dung dịch chất nào sau đây làm đổi màu quỳ tím thành xanh?

  • Câu 48: Nhận biết

    Câu 48:

    Đốt cháy hoàn toàn m gam cacbohiđrat X cần 6,72 lít O2 (đktc) thu được CO2 và H2O. Hấp thụ hết sản phẩm cháy bằng 500 ml dung dịch Ba(OH)2 0,4M thì thấy khối lượng dung dịch giảm 1,1 gam. Giá trị của m là:

  • Câu 49: Nhận biết

    Câu 49:

    Khi chưng cất nhựa than đá, người ta thu được một phân đoạn chứa phenol và anilin hoà tan trong benzen (dung dịch X). Sục khí hiđroclorua vào 100 ml dung dịch X thì thu được 1,295 gam kết tủa. Nhỏ từ từ nước brom vào 100 ml dung dịch X và lắc kĩ cho đến khi ngừng mất màu brom thì hết 300 gam dung dịch nước brom 3,2%. Vậy nồng độ mol của anilin và phenol trong dung dịch A là:

  • Câu 50: Nhận biết

    Câu 50:

    Hợp chất sắt (II) có tính chất hoá học đặc trưng là:

Chúc mừng Bạn đã hoàn thành bài!

Đề thi thử THPT Quốc gia môn Hóa năm 2016 Trường THPT Đoàn Thượng, Hải Dương (Lần 1) Kết quả
  • Thời gian làm bài: 00:00:00
  • Số câu đã làm: 0
  • Điểm tạm tính: 0
  • Điểm thưởng: 0

Đấu trường Đề thi thử THPT Quốc gia môn Hóa năm 2016 Trường THPT Đoàn Thượng, Hải Dương (Lần 1)

Đang tìm đối thủ...

Đang tải...

Xác thực tài khoản!

Theo Nghị định 147/2024/ND-CP, bạn cần xác thực tài khoản trước khi sử dụng tính năng này. Chúng tôi sẽ gửi mã xác thực qua SMS hoặc Zalo tới số điện thoại mà bạn nhập dưới đây:

Số điện thoại chưa đúng định dạng!
Số điện thoại này đã được xác thực!
Bạn có thể dùng Sđt này đăng nhập tại đây!
Lỗi gửi SMS, liên hệ Admin
Sắp xếp theo