Câu 1:
Nối cột A với cột B cho phù hợp và sắp xếp theo mức độ lớn dần trong cấu trúc siêu hiển vi NST
Các em học sinh lớp 12 hãy cùng tham gia làm bài trực tuyến Đề thi thử THPT quốc gia môn Sinh học năm 2016 trường THPT Ngô Quyền trên VnDoc.com để ôn tập lại kiến thức và chuẩn bị tốt cho kỳ thi quan trọng sắp tới. Chúc các em luôn đạt được điểm số thật cao!
Làm thêm: Đề thi thử THPT Quốc gia môn Sinh học năm 2016 Trường THPT Nghi Lộc 2, Nghệ An (Lần 2)
Điểm khả dụng: 0 điểm
Bạn sẽ dùng 50 điểm để đổi lấy 1 lượt làm bài.
Bạn không đủ điểm để đổi.
Câu 1:
Nối cột A với cột B cho phù hợp và sắp xếp theo mức độ lớn dần trong cấu trúc siêu hiển vi NST
Câu 2:
Ở một loài thực vật, trong kiểu gen: có mặt hai gen trội (A, B) quy định kiểu hình hoa đỏ; chỉ có một gen trội A hoặc B quy định kiểu hình hoa hồng; không chứa gen trội nào quy định kiểu hình hoa trắng. Alen D quy định quả ngọt trội hoàn toàn so với alen d quy định quả chua. Các gen nằm trên nhiễm sắc thể thường. Cho F1 dị hợp 3 cặp gen tự thụ phấn, F2 thu được tỷ lệ kiểu hình như sau: 37,5% đỏ, ngọt; 31,25% hồng, ngọt; 18,75% đỏ, chua; 6,25% hồng, chua; 6,25% trắng, ngọt. Kiểu gen của F1 phù hợp với kết quả phép lai trên là
Câu 3:
Tỷ lệ phân tính 1:1 ở F1 và F2 giống nhau ở lai thuận và nghịch diễn ra ở những phương thức di truyền nàoCâu 4:
Ở đậu Hà Lan, gen A quy định thân cao trội hoàn toàn so với alen a quy định thân thấp; gen B quy định hoa đỏ trội hoàn toàn so với alen b quy định hoa trắng; gen D quy định vỏ hạt vàng trội hoàn toàn so với alen d quy định vỏ hạt xanh. Các gen này phân li độc lập với nhau. Cho cây cao, hoa đỏ, vỏ hạt vàng có kiểu gen dị hợp cả 3 cặp gen tự thụ phấn được F1. Chọn ngẫu nhiên 1 cây thân cao, hoa trắng, vỏ hạt vàng và 1 cây thân thấp, hoa đỏ, vỏ hạt xanh ở F1 cho giao phấn với nhau được F2. Nếu không có đột biến và chọn lọc, tính theo lí thuyết thì xác suất xuất hiện kiểu hình cây cao, hoa đỏ, vỏ hạt xanh ở F2 làCâu 5:
Ở một loài động vật, tính trạng màu sắc lông do hai gen không alen phân li độc lập quy định. Trong kiểu gen đồng thời có mặt gen A và B quy định lông đen; khi kiểu gen chỉ có một trong hai gen A hoặc B quy định lông xám; kiểu gen không có cả hai gen A và B cho kiểu hình lông trắng. Cho P: lông xám thuần chủng giao phối với lông đen, thu được F1 phân li kiểu hình theo tỉ lệ: 50% lông đen : 50% lông xám. Biết rằng không xảy ra đột biến, quá trình giảm phân diễn ra bình thường. Kiểu gen của các cá thể lông đen và lông xám ở thế hệ P là:Câu 6:
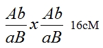
Ở ruồi giấm, xét phép lai P :
. Biết mỗi gen quy định một tính trạng, quan hệ trội lặn hoàn toàn. Khoảng cách giữa hai gen A và B là 20cM, khoảng cách giữa hai gen D và H là 40cM. Theo lí thuyết, đời con có kiểu hình mang hai tính trạng trội và hai tính trạng lặn chiếm tỉ lệ
Câu 7:
Ở một loài động vật ngẫu phối, con đực có cặp nhiễm sắc thể giới tính là XY, con cái có cặp nhiễm sắc thể giới tính là XX. Xét 4 gen, trong đó: gen thứ nhất có 3 alen nằm trên nhiễm sắc thể thường; gen thứ hai có 4 alen nằm trên vùng tương đồng của nhiễm sắc thể giới tính X, Y. Gen thứ ba có 3 alen nằm trên nhiễm sắc thể gới tính X không có alen tương ứng trên Y; gen thứ bốn có 5 alen nằm trên nhiễm sắc thể giới tính Y và không có alen trên X. Tính theo lý thuyết, loài động vật này có tối đa bao nhiêu kiểu gen về bốn gen nói trênCâu 8:
Một bãi cỏ chăn nuôi được mặt trời cung cấp 35000 kcalo/m2/ngày, trong đó phần năng lượng được động vật sử dụng chỉ là 8600 kcalo. Do không bảo vệ tốt, một số động vật khác tới ăn cỏ và sử dụng mất 2600 kcalo, gia súc sử dụng phần còn lại, trong số này mất 1800 kcalo cho hô hấp và 3000 kcalo cho bài tiết, cuối cùng người chỉ sử dụng phần năng lượng trong gia súc. Hiệu suất sinh thái của bậc dinh dưỡng ở người làCâu 9:
Ở gà tre, P thuần chủng lai giữa gà lông đỏ tía, chân cao với gà lông vàng nâu, chân thấp. F1 thu được toàn gà có lông đỏ tía, chân cao. Cho gà trống F1 giao phối với gà mái chưa biết kiểu gen, F2 xuất hiện 36 gà lông vàng nâu, chân thấp: 4 gà lông đỏ tía, chân thấp: 4 gà lông vàng nâu, chân cao, tất cả gà trống của F2 đều có lông đỏ tía, chân cao. Biết 1 gen quy định 1 tính trạng và không có tổ hợp nào bị chết. Kiểu gen của gà mái và tần số hoán vị gen của gà F1 lần lượt làCâu 10:
Trong nghề đánh cá, ở nhiều mẻ lưới đánh lên, người ta thống kê thấy tỉ lệ những cá thể già chiếm ưu thế, còn con non rất ít. Kết luận nào sau đây đúngCâu 11:
Thực hiện phép lai sau ở ruồi giấm P:
. Cho biết không phát sinh đột biến mới, ở đời con có tối đa bao nhiêu loại kiểu gen
Câu 12:
Sơ đồ phả hệ sau phản ánh sự di truyền của một bệnh đơn gen (hiếm gặp trong cộng đồng) của một dòng họ. Nếu người IV17 lấy chồng bình thường thì xác suất họ sinh con trai bình thường là bao nhiêu?

Câu 13:
Ở bò, gen A nằm trên NST thường quy định chân cao trội hoàn toàn so với a quy định chân thấp. Trong một trại chăn nuôi có 15 con đực giống chân cao và 200 con cái chân thấp. Quá trình ngẫu phối đã sinh ra đời con có 80% cá thể chân cao, 20% cá thể chân thấp. Trong số 15 con bò đực trên, có bao nhiêu con có kiểu gen dị hợpCâu 14:
Sự hóa đen của các loài bướm vùng công nghiệp ở những nước châu Âu cuối thể kỉ XIX và nửa đầu thế kỉ XX là doCâu 15:
Cho biết mỗi gen quy định một tính trạng, quan hệ trội lặn hoàn toàn, các cặp gen nằm trên các cặp NST khác nhau. Cho phép lai P: AaBbDdHh × AaBbDdHh, biết quá trình giảm phân diễn ra bình thường. Theo lí thuyết, ở đời con số cá thể có kiểu gen dị hợp hai cặp gen và đồng hợp hai cặp gen chiếm tỉ lệCâu 16:
Cho các bước sau:
1. Nuôi cấy tế bào xôma chứa ADN tái tổ hợp trong môi trường nhân tạo.
2. Chọn lọc và nhân dòng tế bào xôma có chứa ADN tái tổ hợp.
3. Kích thích tế bào trứng phát triển thành phôi.
4. Tạo ADN tái tổ hợp chứa gen người chuyển vào tế bào xôma của cừu.
5. Lấy nhân tế bào xôma chuyển vào tế bào trứng đã bị loại bỏ nhân.
6. Cấy phôi vào tử cung của cừu mẹ, cừu mẹ mang thai sinh ra cừu con mang gen sản sinh prôtêin của người. Trình tự các bước trong quy trình tạo cừu mang gen tổng hợp prôtêin của người là
Câu 17:
Khi phân tích ADN một số gen ở người rất giống tinh tinh. Giải thích nào sau đây là đúng nhất?Câu 18:
Một prôtêin bình thờng có 300 axit amin. Prôtêin đó bị biến đổi, axit amin thứ 270 bị thay thế bằng một axit amin mới. Dạng đột biến có thể sinh ra prôtêin biến đổi trên làCâu 19:
Cho phép lai
Biết tính trội, trội hoàn toàn và đều có hoán vị gen với tần số 40%. Tỉ lệ có kiểu hình mang hai tính trạng trội có tỉ lệ
Câu 20:
Điều nào không đúng khi nói về những sai khác cơ bản trong sự trao đổi chất của sinh vật so với vật thể vô cơ?Câu 21:
Một cơ thể có kiểu gen Aaa. Thể đột biến này thuộc dạng: 1. dị bội dạng (2n + 1), 2. tam bội 3n, 3. lặp đoạn, 4. dị bội dạng (2n-1). Phương án đúng làCâu 22:
Xét 2 gen: gen thứ nhất có 3 alen, nằm trên cặp NST thờng. Gen thứ 2 có 3 alen nằm trên cặp NST giới tính. Số kiểu gen có thể có trong quần thể làCâu 23:
Một quần thể tự phối có thành phần kiểu gen 0,5AA: 0,5Aa. Sau 3 thế hệ tự phối, thành phần kiểu gen của quần thể sẽ làCâu 24:
Phát biểu nào sau đây là không đúng về vai trò của quá trình giao phối?Câu 25:
Hiện tượng nào sau đây không phải là thường biếnCâu 26:
Một gen có 600 Adenin, trên một mạch có 20% Guanin. Khi gen sao mã, môi trường nội bào cung cấp 1200 Uraxin, 600 Adenin và 2700 Guanin và Xitoxin. Chiều dài của gen đó là
Câu 27:
Lấy hạt phấn của cây lưỡng bội Aa thụ phấn cho cây lưỡng bội AA, ở đời con thu được một số cây tam bội với kiểu gen là Aaa. Đột biến xảy ra ởCâu 28:
Ở người, bệnh bạch tạng do gen lặn nằm trên NST thường quy định. Tại một huyện miền núi, tỉ lệ người mắc bệnh bạch tạng là 1/10000. Tỉ lệ người mang kiểu gen dị hợp trong quần thể người nói trên làCâu 29:
Quá trình hình thành loài mới có đặc điểm: 1. Là quá trình biến đổi kiểu hình theo hướng thích nghi, 2. Là một quá trình lịch sử, 3. Phân hóa vô hướng các kiểu gen khác nhau, 4. Tạo ra kiểu gen mới cách ly với quần thể gốc, 5. Cải tiến thành phần kiểu gen của quần thể theo hướng thích nghi. Phương án đúng làCâu 30:
Ở người, gen A quy định máu bình thường, a quy định máu khó đông, gen nằm trên NST X, không có alen trên Y. Bố, mẹ bình thờng, sinh con gái bình thờng. Xác suất sinh được con trai máu khó đông làCâu 31:
Một gen bị đột biến do tác nhân đột biến là chất 5 - BU. Phải qua mấy lần nhân đôi mới phát sinh gen đột biến và số gen không mang đột biến cặp G - X làCâu 32:
Điều nào không đúng về sự liên quan giữa ổ sinh thái và sự cạnh tranh giữa các loài như thế nào?Câu 33:
Do đột biến gen trội đó tạo ra hai alen tương phản mới là a và a1. Gen A trội so với a1. Do đột biến thể dị bội đó tạo ra cơ thể lai F1 cú kiểu gen Aaa1. Cho cơ thể F1 đó tự thụ phấn được F2 phân li theo tỉ lệ nào? Cho biết gen A qui định tính trạng cây cao, a qui định cây trung bình, a1a1 qui định cây thấpCâu 34:
Cho hạt phấn của cây Aaa thụ phấn với cây AAa. Nếu hạt phấn lưỡng bội không có khả năng thụ tinh thì kiểu hình lặn chiếm tỉ lệCâu 35:
Cơ thể dị hợp 2 cặp gen qui định 2 cặp tình trạng lai phân tích có xảy ra hoán vị với tần số 25% thì tỉ lệ kiểu hình ở con lai làCâu 36:
Điểm giống nhau cơ bản trong phơng pháp lai tế bào và kĩ thuật cấy gen làCâu 37:
Nhận định nào dưới đây chưa chính xác khi nói về biểu hiện của đột biến gen?Câu 38:
Một quần thể người có tần số người bị bệnh bạch tạng là 1/100. Giả sử quần thể này cân bằng di truyền. Tính xác suất để 2 người bình thường trong quần thể này lấy nhau sinh ra người con đầu lòng bị bệnh bạch tạngCâu 39:
Khi lai 2 cá thể P cùng loài với nhau được F1 có tỉ lệ: 0,54 mắt đỏ, tròn ; 0,21 mắt đỏ, dẹt; 0,21 mắt trắng, tròn ; 0,04 mắt trắng, dẹt. Biết mỗi gen qui định 1 tính trạng và gen nằm trên NST thường. Kiểu gen của P và bản đồ di truyền của 2 gen qui định 2 tính trạng trên làCâu 40:
Cho biết cặp gen Aa qui định chiều cao cây và cặp gen Bb qui định màu hạt trội lặn hoàn toàn. Cặp gen Dd qui định hình dạng quả trội lặn không hoàn toàn. Phép lai xuất phát có kiểu gen: AaBbDd x AaBbDd thì ở thế hệ F1 số loại kiểu hình và tỷ lệ kiểu hình sẽ phân li làCâu 41:
Các màu lông chuột đen, nâu và trắng đều được qui định do sự tương tác của gen B và C. Các alen B và b tương ứng qui định sự tổng hợp các sắc tố đen và nâu. Chỉ khi có alen trội C thì các sắc tố đen và nâu được chuyển đến và lưu lại ở lông. Trong phép lai giữa chuột có kiểu gen BbCc với chuột bbCc thì phát biểu nào dưới đây là đúng?Câu 42:
Một loài tứ bội (số lượng nhiễm sắc thể bằng 40) được lai ngược trở lại với một loài (2n= 20) để kiểm tra đó có phải là loài bố mẹ hay không. Khi F1 đang thực hiện giảm phân, người ta quan sát hình thái nhiễm sắc thể ở kỳ giữa của giảm phân I. Nếu loài (2n= 20) đó không phải là loài bố mẹ thì hình thái nhiễm sắc thể sẽ làCâu 43:
Một phân tử ADN mạch kép thẳng của sinh vật nhân sơ có chiều dài 4080Å. Trên mạch 1 của gen có A1 = 260 nucleotit, T1 = 220 nucleotit. Gen này thực hiện tự sao một số lần sau khi kết thúc đã tạo ra tất cả 64 chuỗi polinucleotit. Số nu từng loại mà môi trường nội bào cung cấp cho quá trình tái bản của gen nói trên làCâu 44:
Cho thỏ lông trắng lai phân tích, đời con thu được 75% thỏ lông trắng; 25% thỏ lông đen. Tính trạng màu lông thỏ di truyền theo quy luậtCâu 45:
Nhân tố nào dưới đây làm cho tần số tương đối của các alen trong quần thể biến đổi theo một hướng xác định?Câu 46:
Một đoạn ARN nhân tạo chỉ có 2 loại nuclêôtít với tỉ lệ A/U = 3/2. Bộ mã trong đó có 2 nuclêôtít loại U và 1 nuclêôtít loại A chiếm tỉ lệCâu 47:
Một nhóm tế bào sinh dục đực đều kiểu gen AaBbDdEeGg tiến hành quá trình giảm phân bình thường hình thành giao tử. Nếu quá trình giảm phân diễn ra bình thường, theo lí thuyết số tế bào sinh dục tối thiểu thực hiện giảm phân để thu được tối đa số loại giao tử làCâu 48:
Ở một loài thực vật, gen quy định hình dạng hạt và màu sắc hoa liên kết với nhau, mà hoa tím trội hoàn toàn so với hoa đỏ, hạt dài trội hoàn toàn so với hạt tròn. Cây dị hợp tử về hai tính trạng trên thụ phấn với cây đồng hợp tử trội về màu sắc hoa và đồng hợp tử lặn về hình dạng hạt. kiểu hình ở thế hệ F1 làCâu 49:
Ở ngô, kiểu gen AA quy định màu xanh; Aa màu tím, aa màu trắng. Alen B quy định hạt trơn trội hoàn toàn so với alen b quy định hạt nhăn. Các gen quy định màu sắc hạt và hình dạng vỏ hạt di truyền độc lập với nhau. Bố mẹ dị hợp về cả hai tính trang giao phấn với nhau, tỉ lệ cây có hạt tím, trơn làCâu 50:
Cho F1 lai phân tích được thế hệ lai phân li theo tỉ lệ: 7% cây quả tròn, hoa tím 18% cây quả tròn, hoa trắng 43% cây quả dài, hoa tím 32% cây quả dài, hoa trắng Cho biết hoa tím là trội hơn so với hoa trắng. Nếu qui ước cặp tính trạng màu hoa do cặp gen (D,d) qui định. Kiểu gen của cây F1 đem lai và tần số hoán vị gen làĐang tải...
Theo Nghị định 147/2024/ND-CP, bạn cần xác thực tài khoản trước khi sử dụng tính năng này. Chúng tôi sẽ gửi mã xác thực qua SMS hoặc Zalo tới số điện thoại mà bạn nhập dưới đây: