Câu 1:
Ở một thể đột biến, tế bào sinh dưỡng có một cặp NST tương đồng tăng thêm 2 chiếc còn các cặp NST khác đều bình thường được gọi là:
Kì thi THPT Quốc gia năm 2016 đang tới gần. Nhằm giúp các bạn học sinh lớp 12 ôn tập và chuẩn bị thật tốt cho kì thi này VnDoc xin giới thiệu bài test Đề thi thử THPT Quốc gia môn Sinh học tháng 6/2016 Trường THPT Trần Hưng Đạo, TP Hồ Chí Minh. Tham gia làm bài để củng cố lại kiến thức và làm quen với các dạng câu hỏi nhé! Chúc các bạn ôn tập tốt!
Điểm khả dụng: 0 điểm
Bạn sẽ dùng 50 điểm để đổi lấy 1 lượt làm bài.
Bạn không đủ điểm để đổi.
Câu 1:
Ở một thể đột biến, tế bào sinh dưỡng có một cặp NST tương đồng tăng thêm 2 chiếc còn các cặp NST khác đều bình thường được gọi là:
Câu 2:
Trong các phát biểu sau về ưu thế lai có bao nhiêu phát biểu không đúng:
(1) Con lai của một phép lai bất kì đều có năng suất, khả năng sinh sản, sức chống chịu vượt trội so với dạng bố mẹ.
(2) Có thể duy trì ưu thế lai bằng một số phương pháp nhân giống vô tính.
(3) Con lai biểu hiện ưu thế lai cao nhưng bất thụ nên thường chỉ được sử dụng cho mục đích kinh tế.
(4) Người ta thường tạo ưu thế lai bằng phương pháp lai thuận nghịch, lai khác dòng, lai cận huyết...
(5) Ưu thế lai biểu hiện cao nhất ở đời F1, sau đó giảm dần qua các thế hệ do tỉ lệ kiểu gen đồng hợp giảm, dị hợp tăng.
Câu 3:
Hệ sinh thái VAC (vườn, ao, chuồng) cho năng suất cao là vì:
Câu 4:
Đoạn okazaki là:
Câu 6:
Trong các phát biểu sau về quần thể, có bao nhiêu phát biểu đúng?
(1) Trong quần thể tự phối, nếu không có các nhân tố đột biến, chọn lọc tự nhiên hay di nhập gen thì quần thể sẽ đạt trạng thái cân bằng di truyền qua sau 1 thế hệ.
(2) Trong quần thể, sự giao phối ngẫu nhiên tạo ra sự phong phú và đa dạng về kiểu gen và kiểu hình trong quần thể nên được xem là nhân tố tiến hóa.
(3) Trong quần thể, sự tự phối không làm thay đổi tần số alen của quần thể nên không được xem là nhân tố tiến hóa.
(4) Trong quần thể khác nhau về tần số alen giữa giới đực và giới cái, nếu không có các nhân tố làm thay đổi tần số alen và thành phần kiểu gen thì quần thể sẽ đạt trạng thái cân bằng sau 2 thế hệ ngẫu phối.
Câu 7:
2 gen A và B nhân đôi một số lần tạo ra tổng cộng 40 gen con. Biết gen A nhân đôi nhiều hơn gen B. Gen A có 175 chu kì xoắn. Sau khi nhân đôi, mỗi gen con của gen A lại phiên mã 3 lần, vậy tổng số nucleotit trên các mARN do gen A tạo ra là:
Câu 8:
Sinh giới được tiến hóa theo các chiều hướng
1- Ngày càng đa dạng và phong phú . 2- Tổ chức cơ thể ngày càng cao
3- Từ trên cạn xuống dưới nước 4- Thích nghi ngày càng hợp lí
Phương án đúng:
Câu 9:
Trong các loài sinh vật sau đây:
(1) vi khuẩn nitrat hóa (2) vi khuẩn nitrit hóa. (3) vi khuẩn amôn hóa.
(4) nấm hoại sinh (5) vi khuẩn cố định nitơ. (6) vi khuẩn phản nitrat hóa.
Có bao nhiêu sinh vật trong những sinh vật trên có thể tham gia vào quá trình tạo dinh dưỡng nitơ cho đất giúp cho thực vật hấp thụ:
Câu 10:
Khi nói về cấu trúc của mạng lưới dinh dưỡng, kết luận nào sau đây là đúng.
Câu 11:
Ở hệ sinh thái dưới nước, các loài giáp xác ăn thực vật phù du, trong đó sinh khối của quần thể giáp xác luôn lớn hơn sinh khối của quần thể thực vật phù du nhưng giáp xác vẫn không thiếu thức ăn, nguyên nhân là vì:
Câu 12:
Nhân tố nào dưới đây không làm mất cân bằng di truyền của quần thể?
Câu 13:
Các bằng chứng cổ sinh vật học cho thấy: Trong lịch sử phát triển sự sống trên Trái đất, sự kiện tuyệt chủng các loài bò sát cổ xuất hiện ở:
Câu 14:
Ở cà chua, gen A quy định quả đỏ trội hoàn toàn so với a quy định quả vàng, cây tứ bội giảm phân chỉ sinh ra loại giao tử 2n có khả năng thụ tinh bình thường . Xét các tổ hợp lại:
(1) AAAa x Aaaa (2) AAaa x Aaaa. (3) AAaa x Aa
(4) Aaaa x Aaaa (5)AAAa x aaaa (6) Aaaa x Aa
Theo lí thuyết, những tổ hợp lai sẽ cho tỉ lệ kiểu hình ở đời con 11 quả đỏ : 1 quả vàng là:
Câu 15:
Theo quan điểm tiến hoá hiện đại, khi nói về chọn lọc tự nhiên, phát biểu nào sau đây không đúng?
Câu 16:
Có các nhân tố tiến hoá.Câu 17:
Khi môi trường không đồng nhất và thường xuyên thay đổi, loại quần thể nào sau đây có khả năng thích nghi cao nhất:Câu 18:
Cá cóc tam đảo là loài chỉ gặp ở quần xã rừng tam đảo mà ít gặp ở các quần xã khác. ở rừng tam đảo thì cá cóc được gọi là:Câu 19:
Trong các phát biểu sau đây, các phát biểu đúng là:Câu 20:
Sự điều hoà ở ôpêrôn lac ở E.coli được khái quát như thế nào?Câu 21:
Một quần thể bò có 400 con lông vàng (kiểu gen BB), 400 con lông lang trắng đen (Bb), 200 con lông đen (bb). Tần số tương đối của các alen trong quần thể là:Câu 22:
Cho biết mỗi cặp gen quy định một cặp tính trạng, alen trội là trội hoàn toàn. Ở đời con của phép lai AaBbDd × AaBBdd, loại kiểu hình có 2 tính trạng trội và một tính trạng lặn chiếm tỉ lệ:Câu 23:
Phương pháp nào sau đây có khả năng tạo ra các cá thể động vật đồng nhất về kiểu gen:Câu 24:
Cho biết mỗi cặp tính trạng do một cặp gen quy định và trội hoàn toàn. Tần số hoán vị giữa A và B là 20%. Ở phép lai AB/ab XDXd × Ab/ab XDY, theo lí thuyết thì kiểu hình aaB-D- ở đời con chiếm tỉ lệ bao nhiêu %?Câu 25:
Khi nói về giới hạn sinh thái, điều nào sau đây không đúng.Câu 26:
Cho các ý sau. Những phát biểu sai là:Câu 27:
Các gen phân li độc lập, một gen quy định một tính trạng, có hiện tượng trội lặn hoàn toàn. Ở đời con của phép lai nào sau đây mỗi kiểu hình chỉ có một kiểu gen.Câu 28:
Cho các phương pháp sauCâu 29:
Đặc điểm nào dưới đây không đúng với mã di truyền.Câu 30:
Trong quá trình diễn thế nguyên sinh, càng về sau thì:Câu 31:
Một loài thực vật, các tế bào rễ của 1 loài thực vật có 38 NST. Cho thụ phấn giữa 2 giao tử đực và cái của loài này người ta thu được một số con lai bất thụ nhưng có khả năng sinh sản sinh dưỡng. Sau một số thế hệ cây lai sinh sản sinh dưỡng, người ta thu được một số cây lai hữu thụ. Số nhiễm sắc thể của cây lai hữu thụ là:Câu 32:
Trong các phát biểu sau đây các phát biểu đúng là.Câu 33:
Một chuỗi thức ăn có 5 mắt xích dinh dưỡng, ở môi trường có nhiều DDT thì sinh vật thuộc mắt xích nào sau đây sẽ bị nhiễm độc với nồng độ cao nhất.Câu 34:
Khi nghiên cứu 3 loài sinh vật trong một chuỗi thức ăn trong quần xã, người ta thu được số liệu như sau: Phát biểu nào sau đây là không đúng?| Loài | Số cá thể (cá thể) | Khối lượng trung bình mỗi cá thể (g/cá thể) | Bình quân năng lượng trên một đơn vị khối lượng (calo/g) |
| A | 500 | 10 | 0,9 |
| B | 20000 | 0,01 | 1 |
| C | 10 | 10000 | 1,8 |
Câu 35:
Cho các phát biểu sau về các bệnh di truyền ở người:Câu 36:
Cho một cây hoa trắng giao phấn với 2 cây cùng loài, kết quả thu được như sau:Câu 37:
Trong một quần thể ngẫu phối, giả sử ở giới đực có tỉ lệ giao tử mang gen đột biến là 20%, ở giới cái có tỉ lệ giao tử mang gen đột biến là 25%. Loại hợp tử mang gen đột biến chiếm tỉ lệ:Câu 38:
Xét hai cặp gen Aa và Bb quy định hai cặp tính trạng nằm trên 2 cặp NST tương đồng khác nhau. Trong một quần thể đang cân bằng về di truyền, A có tần số 0,4; B có tần số 0,5. Lấy một cá thể mang hai tính trạng trội về hai cặp gen nói trên, xác suất để được cá thể thuần chủng là:Câu 39:
Cho lưới thức ăn đồng cỏ như sau:
Câu 40:
Có 10 tế bào 2n của một loài cùng tiến hành nguyên phân 6 lần. Ở kì giữa của lần nguyên phân thứ 4 có 2 tế bào không hình thành được thoi phân bào. Ở các tế bào khác và trong những lần nguyên phân khác, thoi phân bào vẫn hình thành bình thường. Sau khi kết thúc 6 lần nguyên phân đó, tỉ lệ tế bào bị đột biến trong tổng số tế bào được tạo ra là bao nhiêu?Câu 41:
Có bao nhiêu phát biểu đúng trong các phát biểu sau đây.Câu 42:
Ở một loài thực vật sinh sản bằng tự thụ phấn nghiêm ngặt có A quy định hoa đỏ trội hoàn toàn so với a quy định hoa trắng. Thế hệ xuất phát ( P) có 1000 cá thể có kiểu hình trội, quá trình tự thụ phấn liên tục thì đến đời F3 thấy có tỉ lệ kiểu hình là 43 cây hoa đỏ: 21 cây hoa trắng. Trong số 1000 cây (p) nói trên, có bao nhiêu cây thuần chủng.Câu 43:
Cho bảng biểu sau đây nói về mối quan hệ giữa các loài trong quần xã:
Câu 44:
Ở chim bồ câu, một tế bào của cơ thể có kiểu gen AB/ab XdY, 2 gen A và B chách nhau 40cM, giảm phân bình thường sinh ra giao tử. Có bao nhiêu kết luận đúng sau đây.Câu 45:
Ở một loài côn trùng, mắt đỏ là do gen A quy định trội hoàn toàn so với mắt trắng do gen a quy định. Gen nằm trên vùng tương đồng của NST giới tính X và Y. Cho con cái (XX) mắt trăng thuần chủng giao phối với con đực (XY) mắt đỏ thuần chủng được F1. Cho F1 giao phối tự do thì thu được F2. kết quả thu được kiểu hình ở đời con F1 và F2 lần lượt là:Câu 46:
Ở một loài thực vật, gen A quy định tính trạng hạt tròn trội hoàn toàn so với tính trạng quả dài; gen B quy định tính trạng hạt đỏ trội hoàn toàn so với tính trạng hạt trắng. Hai gen này nằm trên 2 cặp nhiễm sắc thể khác nhau. Một người nông dân thu thập được 7 hạt giống hình tròn, màu đỏ của loài thực vật trên, đem gieo trồng và cho tự thụ phấn. Trong tổng số hạt ở đời con thu được 267 hạt tròn, đỏ; 33 hạt tròn, trắng; 33 hạt dài, đỏ; 3 hạt dài trắng. Tính theo lí thuyết, trong số các hạt mang gieo ban đầu, tỉ lệ hạt thuần chủng là:Câu 47:
Ở một loài động vật khi cho giao phối con cái mắt đỏ- chân cao thuần chủng với con đực mắt trắng- chân thấp thuần chủng thu được F1 toàn mắt đỏ- chân cao. Cho F1 giao phối với nhau thì F2 thu được 528 mắt đỏ- chân cao; 208 mắt trắng- chân thấp; 48 mắt đỏ- chân thấp; 240 mắt trắng – chân cao. Trong đó, mắt đỏ- chân thấp chỉ có ở con đực. Khi cho con cái ở F1 giao phối với con đực mắt đỏ- chân thấp không mang các alen giống nhau thì tỉ lệ mắt trắng – chân thấp mang cặp gen đồng hợp ở đời con là bao nhiêu?Câu 48:
Ở một loài động vật, gen A quy định thân màu đen, gen a quy định thân màu trắng. cấu trúc di truyền của quần thể ở thế hệ P: 0,6AA: 0,2Aa:0,2aa =1. Do tập tính giao phối, trong quần thể các cá thể cùng màu sắc giao phối với nhau một cách ngẫu nhiên, các cá thể khác màu không giao phối với nhau. Cho rằng sức sống và khả năng sinh sản của các kiểu gen là như nhau, không phát sinh đột biến, kiểu hình thân trắng thu được sau 1 thế hệ:Câu 49:
Ở người, trong quá trình giảm phân của người mẹ, ở lần phân bào I, nhiễm sắc thể vẫn phân ly bình thường nhưng trong lần phân bào II có 20% tế bào có hiện tượng không phân ly của NST giới tính. Quá trình giảm phân ở người bố bình thường, không có đột biến xảy ra. Người vợ đang mang thai và sắp sinh thì khả năng đứa con của họ sinh ra bị bất thường về NST là:Câu 50:
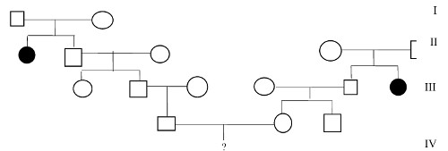
Cho phả hệ sau, ô màu đen là bị bệnh, ô trống là không bị bệnh.
Đang tải...
Theo Nghị định 147/2024/ND-CP, bạn cần xác thực tài khoản trước khi sử dụng tính năng này. Chúng tôi sẽ gửi mã xác thực qua SMS hoặc Zalo tới số điện thoại mà bạn nhập dưới đây: