Giao diện mới của VnDoc Pro: Dễ sử dụng hơn - chỉ tập trung vào lớp bạn quan tâm. Vui lòng chọn lớp mà bạn quan tâm: Lưu và trải nghiệm
Đóng
Điểm danh hàng ngày
  • Hôm nay +3
  • Ngày 2 +3
  • Ngày 3 +3
  • Ngày 4 +3
  • Ngày 5 +3
  • Ngày 6 +3
  • Ngày 7 +5
Bạn đã điểm danh Hôm nay và nhận 3 điểm!
Nhắn tin Zalo VNDOC để nhận tư vấn mua gói Thành viên hoặc tải tài liệu Hotline hỗ trợ: 0936 120 169

Đề thi thử THPT Quốc gia môn Vật lý năm 2016 trường THPT Số 1 Bảo Thắng, Lào Cai

Đóng
Bạn đã dùng hết 1 lần làm bài Trắc nghiệm miễn phí. Mời bạn mua tài khoản VnDoc PRO để tiếp tục! Tìm hiểu thêm
Mô tả thêm:

Đề thi thử đại học môn Vật lý có đáp án

Đề thi thử THPT Quốc gia môn Vật lý năm 2016 trường THPT Số 1 Bảo Thắng, Lào Cai là tài liệu hay và hữu ích dành cho các sĩ tử đang tập trung ôn luyện chuẩn bị bước vào kỳ thi tuyển sinh vào các trường đại học, cao đẳng trên cả nước. Sau đây mời các bạn làm bài test online!

  • Thời gian làm: 90 phút
  • Số câu hỏi: 31 câu
  • Số điểm tối đa: 31 điểm
Bắt đầu làm bài
Bạn còn 1 lượt làm bài tập miễn phí. Hãy mua tài khoản VnDoc PRO để học không giới hạn nhé! Bạn đã HẾT lượt làm bài tập miễn phí! Hãy mua tài khoản VnDoc PRO để làm Trắc nghiệm không giới hạn và tải tài liệu nhanh nhé!
Mua ngay Đổi điểm
Trước khi làm bài bạn hãy
  • 1 Ôn tập kiến thức đã nêu trong phần Mô tả thêm
  • 2 Tìm không gian và thiết bị phù hợp để tập trung làm bài
  • 3 Chuẩn bị sẵn dụng cụ cần dùng khi làm bài như bút, nháp, máy tính
  • 4 Căn chỉnh thời gian làm từng câu một cách hợp lý
  • Câu 1: Nhận biết

    Câu 1:

    Phát biểu nào dưới đây về ánh sáng đơn sắc là đúng?
  • Câu 2: Nhận biết

    Câu 2:

    Một mạch dao động gồm có cuộn dây thuần cảm L và tụ điện C. Nếu gọi Imax là dòng điện cực đại trong mạch thì hệ thức liên hệ điện tích cực đại trên bản tụ Qmax và Imax là:
  • Câu 3: Nhận biết

    Câu 3:

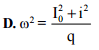
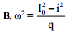
    Một mạch dao động điện từ tự do LC có dòng điện cực đại trong mạch là Io, tại thời điểm mà điện tích trên tụ điện có giá trị q, cường độ dòng điện trong mạch có giá trị i thì tần số góc thoả mãn biểu thức:
  • Câu 4: Nhận biết

    Câu 4:

    Nhận xét nào sau đây là đúng:
  • Câu 5: Nhận biết

    Câu 5:

    Một vật dao động điều hoà cứ sau 1/8 s thì động năng lại bằng thế năng. Quãng đường vật đi được trong 0,5s là 16cm. Chọn gốc thời gian lúc vật qua vị trí cân bằng theo chiều âm. Phương trình dao động của vật là: 
  • Câu 6: Nhận biết

    Câu 6:

    Con lắc lò xo gồm vật nặng 100 gam và lò xo có độ cứng 40 N/m. Tác dụng một ngoại lực điều hoà cưỡng bức với biên độ Fo và tần số f1 = 4 Hz thì biên độ dao động ổn định của hệ là A1. Nếu giữ nguyên biên độ Fo và tăng tần số ngoại lực đến giá trị f2 = 5 Hz thì biên độ dao động ổn định của hệ là A2. So sánh A1 và A2.

  • Câu 7: Nhận biết

    Câu 7:

    Nhận xét nào sau đây là đúng về cấu tạo của hạt nhân nguyên tử:

  • Câu 8: Nhận biết

    Câu 8:

    Nhận xét nào sau đây là đúng về dao động điều hòa của con lắc đơn

  • Câu 9: Nhận biết

    Câu 9:

    Giới hạn quang điện của kẽm là 0,350µm, của đồng là 0,300µm. Nếu lần lượt chiếu bức xạ có bước sóng 0,320µm vào một tấm kẽm tích điện dương và một tấm đồng tích điện âm đặt cô lập thì:

  • Câu 10: Nhận biết

    Câu 10:

    Chiếu từ nước ra không khí một chùm tia sáng song song rất hẹp (coi như một tia sáng) gồm 5 thành phần đơn sắc: tím, chàm, lam, lục, vàng. Tia ló đơn sắc màu lam đi là là mặt nước (sát với mặt phân cách giữa hai môi trường). Không xét đến tia lam, các tia không ló ra ngoài không khí là các tia đơn sắc màu:

  • Câu 11: Nhận biết

    Câu 11:

    Mạch chọn sóng của một máy thu vô tuyến điện gồm một cuộn thuần cảm L = 25µH và một tụ xoay. Lấy π2 = 10. Để máy thu bắt được các sóng ngắn trong phạm vi từ 15m đến 45m thì điện dung của tụ phải có giá trị trong khoảng:

  • Câu 12: Nhận biết

    Câu 12:

    Hai dao động điều hòa cùng phương có phương trình lần lượt là: x1 = 4cos100πt (cm) và x2 = 3cos(100 πt + π/2) (cm). Dao động tổng hợp của hai dao động đó có biên độ là
  • Câu 13: Nhận biết

    Câu 13:

    Một chất điểm dao động điều hòa trên trục Ox theo phương trình x = 5cos4πt (x tính bằng cm, t tính bằng s). Tại thời điểm t = 5s, vận tốc của chất điểm này có giá trị bằng
  • Câu 14: Nhận biết

    Câu 14:

    Một sóng âm có tần số 200Hz lan truyền trong môi trường nước với vận tốc 1500 m/s. Bước sóng của sóng này trong môi trường nước là
  • Câu 15: Nhận biết

    Câu 15:

    Quan sát sóng dừng trên một sợi dây đàn hồi, người ta đo được khoảng cách giữa 5 nút sóng liên tiếp là 100 cm. Biết tần số của sóng truyền trên dây bằng 100 Hz, vận tốc truyền sóng trên dây là:
  • Câu 16: Nhận biết

    Câu 16:

    Một sóng âm truyền trong một môi trường. Biết cường độ âm tại một điểm gấp 100 lần cường độ âm chuẩn của âm đó thì mức cường độ âm tại điểm đó là :
  • Câu 17: Nhận biết

    Câu 17:

    Một sóng âm có chu kì 80 ms. Sóng âm này
  • Câu 18: Nhận biết

    Câu 18:

    Một máy biến thế có cuộn sơ cấp gồm 1000 vòng dây, mắc vào mạng điện xoay chiều có điện áp U1 = 200V, khi đó điện áp ở hai đầu cuộn thứ cấp để hở là U2 = 10V. Bỏ qua hao phí của máy biến thế thì số vòng dây cuộn thứ cấp là
  • Câu 19: Nhận biết

    Câu 19:

    Đoạn mạch xoay chiều RLC mắc nối tiếp. Điện trở thuần R = 10Ω, cuộn dây thuần cảm có độ tự cảm L = 1/(10π)H, tụ điện có điện dung C thay đổi được. Mắc vào hai đầu đoạn mạch điện áp xoay chiều u = Uocos100πt (V). Để điện áp hai đầu đoạn mạch cùng pha với điện áp hai đầu điện trở R thì giá trị điện dung của tụ điện là
  • Câu 20: Nhận biết

    Câu 20:

    Một đọan mạch gồm cuộn dây thuần cảm có độ tự cảm L = 1/πH mắc nối tiếp với điện trở thuần R = 100Ω . Đặt vào hai đầu đọan mạch một điện áp xoay chiều u = 100√2cos 100 πt (V). Biểu thức cường độ dòng điện trong mạch là
  • Câu 21: Nhận biết

    Câu 21:

    Một máy phát điện xoay chiều một pha (kiểu cảm ứng) có p cặp cực quay đều với tần số góc n (vòng/phút), với số cặp cực bằng số cuộn dây của phần ứng thì tần số của dòng điện do máy tạo ra là f (Hz). Biểu thức liên hệ giữa p, n, và f là
  • Câu 22: Nhận biết

    Câu 22:

    Một dòng điện xoay chiều chạy trong một động cơ điện có biểu thức i = 2cos(100πt + π/2)(A) (trong đó t tính bằng giây) thì
  • Câu 23: Nhận biết

    Câu 23:

    Khi nói về điện từ trường, phát biểu nào sau đây là sai?
  • Câu 24: Nhận biết

    Câu 24:

    Một dải sóng điện từ trong chân không có tần số từ 4,0.1014 Hz đến 7,5.1014 Hz. Biết vận tốc ánh sáng trong chân không c = 3.108 m/s. Dải sóng trên thuộc vùng nào trong thang sóng điện từ?
  • Câu 25: Nhận biết

    Câu 25:

    Trong thí nghiệm Y-âng về giao thoa ánh sáng, khoảng cách giữa hai khe là 0,5 mm, khoảng cách từ mặt phẳng chứa hai khe đến màn là 2 m. Ánh sáng đơn sắc dùng trong thí nghiệm có bước sóng 0,5 μm. Vùng giao thoa trên màn rộng 26 mm (vân trung tâm ở chính giữa). Số vân sáng là
  • Câu 26: Nhận biết

    Câu 26:

    Trong chân không, ánh sáng tím có bước sóng 0,4 μm. Mỗi phôtôn của ánh sáng này mang năng lượng xấp xỉ bằng
  • Câu 27: Nhận biết

    Câu 27:

    Trong hiện tượng quang điện, vận tốc ban đầu của các êlectrôn quang điện bị bứt ra khỏi bề mặt kim loại
  • Câu 28: Nhận biết

    Câu 28:

    Pôlôni Đề thi thử THPT Quốc gia môn Vật lý năm 2016 trường THPT Số 1 Bảo Thắng, Lào Cai phóng xạ theo phương trình: Đề thi thử THPT Quốc gia môn Vật lý năm 2016 trường THPT Số 1 Bảo Thắng, Lào Cai . Hạt X là
  • Câu 29: Nhận biết

    Câu 29:

    Biết khối lượng của prôtôn là 1,00728 u; của nơtron là 1,00866 u; của hạt nhân 2311Na 22,98373 u và 1u = 931,5 MeV/c2 . Năng lượng liên kết của 2311Na bằng
  • Câu 30: Nhận biết

    Câu 30:

    Đồng vị X là một chất phóng xạ, có chu kì bán rã T. Ban đầu có một mẫu chất X nguyên chất, hỏi sau bao lâu số hạt nhân phân rã bằng một nửa số hạt nhân X còn lại?
  • Câu 31: Nhận biết
    PHẦN PHÂN LOẠI
    Câu 31: Con lắc đơn có khối lượng 100g, vật có điện tích q, dao động ở nơi có g = 10 m/s2 thì chu kỳ dao động là T. Khi có thêm điện trường E hướng thẳng đứng thì con lắc chịu thêm tác dụng của lực điện véctơ F không đổi, hướng từ trên xuống và chu kỳ dao động giảm đi 75%. Độ lớn của lực véctơ F là:
    Câu 32: Một con lắc lò xo được treo thẳng đứng gồm lò xo có độ cứng k và vật nặng khối lượng 2m. Từ vị trí cân bằng đưa vật tới vị trí lò xo không bị biến dạng rồi thả nhẹ cho vật dao động. Khi vật xuống dưới vị trí thấp nhất thì khối lượng của vật đột ngột giảm xuống còn một nửa. Bỏ qua mọi ma sát và gia tốc trọng trường là g. Biên độ dao động của vật sau khi khối lượng giảm là
    Câu 33: Một vật dao động với phương trình x = 4cos(2πt - π/6) (cm). Thời điểm vật có tốc độ 4π√3 (cm/s) lần thứ 2015 kể từ lúc dao động là
    Câu 34: Ở mặt chất lỏng có hai nguồn sóng A, B cách nhau 19 cm, dao động theo phương thẳng đứng với phương trình là uA = uB = acos20πt (với t tính bằng s). Tốc độ truyền sóng của mặt chất lỏng là 40 cm/s. Gọi M là điểm ở mặt chất lỏng gần A nhất sao cho phần tử chất lỏng tại M dao động với biên độ cực đại và cùng pha với nguồn A . Khoảng cách AM là
    Câu 35: Một sợi dây AB đàn hồi căng ngang dài l = 120cm, hai đầu cố định đang có sóng dừng ổn định. Bề rộng của bụng sóng là 4a. Khoảng cách gần nhất giữa hai điểm dao động cùng pha có cùng biên độ bằng a là 20 cm. Số bụng sóng trên AB là
    Câu 36: Đặt điện áp xoay chiều có giá trị hiệu dụng không đổi 150 V vào đoạn mạch AMB gồm đoạn AM chỉ chứa điện trở R, đoạn mạch MB chứa tụ điện có điện dung C mắc nối tiếp với một cuộn cảm thuần có độ tự cảm L thay đổi được. Biết sau khi thay đổi độ tự cảm L thì điện áp hiệu dụng hai đầu mạch MB tăng 2√2 lần và dòng điện trong mạch trước và sau khi thay đổi lệch pha nhau một góc π/2. Tìm điện áp hiệu dụng hai đầu mạch AM khi chưa thay đổi L?
    Câu 37: Đặt một điện áp u = 80cos(ωt) (V) vào hai đầu đoạn mạch nối tiếp gồm điện trở R, tụ điện C và cuộn dây không thuần cảm thì thấy công suất tiêu thụ của mạch là 40W, điện áp hiệu dụng UR = ULr= 25V; UC = 60V. Điện trở thuần r của cuộn dây bằng bao nhiêu?
    Câu 38: Đoạn mạch xoay chiều gồm một cuộn dây mắc nối tiếp với một tụ điện. Điện áp hiệu dụng giữa hai đầu cuộn dây, giữa hai bản tụ, hai đầu đoạn mạch lần lượt là Ud, UC, U. Biết Ud= UC √2 và U = UC. Nhận xét nào sau đây là đúng với đoạn mạch này?
    Câu 39: Bốn khung dao động điện từ có các cuộn cảm giống hệt nhau, còn các tụ điện thì khác nhau. Điện dung của tụ điện trong khung thứ nhất là C1, của khung thứ hai là C2 < C1, của khung thứ ba là bộ tụ điện gồm C1, C2 ghép nối tiếp, của khung thứ tư là bộ tụ điện gồm C1, C2 ghép song song. Tần số dao động riêng của khung thứ ba là f3=5MHz, của khung thứ tư là f4= 2,4MHz. Hỏi khung thứ nhất và thứ hai có thể bắt được các sóng có bước sóng lần lượt là λ1 và λ2 bằng bao nhiêu?
    Câu 40: Một mạch điện gồm R nối tiếp tụ điện C nối tiếp cuộn dây L. Duy trì hai đầu đoạn mạch một điện áp xoay chiều u = 240√2 cos(100πt)V, điện trở có thể thay đổi được. Cho R = 80Ω, I = √3 A, UCL= 80 √3 V, điện áp uRC vuông pha với uCL. Tính L?
    Câu 41: Mạch dao động LC thực hiện dao động điện từ tắt dần chậm. Sau 20 chu kì dao động thì độ giảm tương đối năng lượng điện từ là 19%. Độ giảm tương đối hiệu điện thế cực đại trên hai bản tụ tương ứng bằng
    Câu 42: Trong thí nghiệm I-âng về giao thoa ánh sáng, khoảng cách giữa hai khe là 0,5 mm, khoảng cách từ hai khe đến màn quan sát là 2m. Nguồn sáng dùng trong thí nghiệm gồm hai bức xạ có bước sóng λ1= 450nm và λ2= 600nm.Trên màn quan sát, gọi M, N là hai điểm ở hai phía so với vân sáng trung tâm và cách vân trung tâm lần lượt là 7,5mm và 22mm. Trên đoạn MN, số vị trí vân sáng trùng nhau của hai bức xạ là
    Câu 43: Thực hiện giao thoa khe I-âng với nguồn ánh sáng có bước sóng λ, khoảng cách giữa hai khe tới màn là D trong môi trường không khí thì khoảng vân là i. Khi chuyển toàn bộ thí nghiệm vào trong nước có chiết suất là 4/3 thì để khoảng vân không đổi phải dời màn quan sát ra xa hay lại gần một khoảng bao nhiêu?
    Câu 44: Người ta dùng một Laze hoạt động dưới chế độ liên tục để khoan một tấm thép. Công suất của chùm laze là P = 10 W, đường kính của chùm sáng là 1 mm. Bề dày tấm thép là e = 2 mm và nhiệt độ ban đầu là 30oC. Biết khối lượng riêng của thép D = 7800 kg/m3; Nhiệt dung riêng của thép c = 448 J/kg.độ ; nhiệt nóng chảy của thép L = 270 kJ/kg và điểm nóng chảy của thép tc = 1535oC. Thời gian khoan thép là
    Câu 45: Một dòng các nơtron có động năng 0,0327eV. Biết khối lượng của các nơtron là 1,675.10-27kg. Nếu chu kì bán rã của nơtron là 646s thì đến khi chúng đi được hết quãng đường 10m, tỉ phần các nơtron bị phân rã là:
    Câu 46: Trong nguyên tử hiđrô, khi electron nhảy từ quỹ đạo N về quỹ đạo K thì nguyên tử phát ra bức xạ có bước sóng λ1, khi electron nhảy từ quỹ đạo M về quỹ đạo L thì nguyên tử phát ra bức xạ có bước sóng λ2. Nhận xét nào sau đây về quan hệ giữa λ1 và λ2 là đúng?
    Câu 47: Khi chiếu lần lượt hai bức xạ điện từ có bước sóng λ1 và λ2 với λ2 = 2λ1 vào một tấm kim loại thì tỉ số động năng ban đầu cực đại của quang electron bứt ra khỏi kim loại là 9. Giới hạn quang điện của kim loại là λo. Mối quan hệ giữa bước sóng λ1 và giới hạn quang điện λo là?
    Câu 48: Chất phóng xạ X có chu kỳ bán rã T1, chất phóng xạ Y có chu kỳ bán rã T2. Biết T2=2T1. Trong cùng 1 khoảng thời gian,nếu chất phóng xạ Y có số hạt nhân còn lại bằng 1/4 số hạt nhân Y ban đầu thì số hạt nhân X bị phân rã bằng:
    Câu 49: Hạt nhân 146C là một chất phóng xạ β¯, nó có chu kì bán rã là 5730 năm. Sau bao lâu thì lượng chất phóng xạ của mẫu chỉ còn bằng 1/8 lượng chất phóng xạ ban đầu của mẫu đó? Chọn đáp án đúng sau đây:
    Câu 50: Bắn phá hạt nhân 146N đang đứng yên bằng một hạt α có động năng Kα thì thu được hạt prôtôn và một hạt nhân X với mX=16,9947u. Tổng động năng của các hạt tạo thành lớn hơn hay nhỏ hơn tổng động năng của hạt α ban đầu bao nhiêu? Phản ứng này tỏa hay thu năng lượng? Cho khối lượng của các hạt nhân mN= 13,9992u; mp= 1,0073u; mα= 4,0015u.

Chúc mừng Bạn đã hoàn thành bài!

Đề thi thử THPT Quốc gia môn Vật lý năm 2016 trường THPT Số 1 Bảo Thắng, Lào Cai Kết quả
  • Thời gian làm bài: 00:00:00
  • Số câu đã làm: 0
  • Điểm tạm tính: 0
  • Điểm thưởng: 0

Đấu trường Đề thi thử THPT Quốc gia môn Vật lý năm 2016 trường THPT Số 1 Bảo Thắng, Lào Cai

Đang tìm đối thủ...

Đang tải...

1
Xác thực tài khoản!

Theo Nghị định 147/2024/ND-CP, bạn cần xác thực tài khoản trước khi sử dụng tính năng này. Chúng tôi sẽ gửi mã xác thực qua SMS hoặc Zalo tới số điện thoại mà bạn nhập dưới đây:

Số điện thoại chưa đúng định dạng!
Số điện thoại này đã được xác thực!
Bạn có thể dùng Sđt này đăng nhập tại đây!
Lỗi gửi SMS, liên hệ Admin
Sắp xếp theo