Giao diện mới của VnDoc Pro: Dễ sử dụng hơn - chỉ tập trung vào lớp bạn quan tâm. Vui lòng chọn lớp mà bạn quan tâm: Lưu và trải nghiệm
Đóng
Điểm danh hàng ngày
  • Hôm nay +3
  • Ngày 2 +3
  • Ngày 3 +3
  • Ngày 4 +3
  • Ngày 5 +3
  • Ngày 6 +3
  • Ngày 7 +5
Bạn đã điểm danh Hôm nay và nhận 3 điểm!
Nhắn tin Zalo VNDOC để nhận tư vấn mua gói Thành viên hoặc tải tài liệu Hotline hỗ trợ: 0936 120 169

Đề thi thử THPT Quốc gia năm 2016 môn Vật lý trường THPT Cẩm Bình, Hà Tĩnh

Đóng
Bạn đã dùng hết 1 lần làm bài Trắc nghiệm miễn phí. Mời bạn mua tài khoản VnDoc PRO để tiếp tục! Tìm hiểu thêm
Mô tả thêm:

Luyện thi đại học môn Lý 2016

Đề thi thử THPT Quốc gia năm 2016 môn Vật lý trường THPT Cẩm Bình, Hà Tĩnh là đề thi thử môn Vật lý hay dành cho các bạn học sinh cuối cấp đang gấp rút chuẩn bị cho kỳ thi quan trọng sắp tới. Chúc các bạn làm Đề thi thử THPT Quốc gia năm 2016 môn Vật lý trường THPT Cẩm Bình, Hà Tĩnh đạt kết quả cao!

Mời các bạn tham khảo thêm: Đề thi thử THPT Quốc gia năm 2016 môn Vật lý trường THPT Lý Tự Trọng, Nam Định (Lần 1)

  • Thời gian làm: 90 phút
  • Số câu hỏi: 50 câu
  • Số điểm tối đa: 50 điểm
Bắt đầu làm bài
Bạn còn 1 lượt làm bài tập miễn phí. Hãy mua tài khoản VnDoc PRO để học không giới hạn nhé! Bạn đã HẾT lượt làm bài tập miễn phí! Hãy mua tài khoản VnDoc PRO để làm Trắc nghiệm không giới hạn và tải tài liệu nhanh nhé!
Mua ngay Đổi điểm
Trước khi làm bài bạn hãy
  • 1 Ôn tập kiến thức đã nêu trong phần Mô tả thêm
  • 2 Tìm không gian và thiết bị phù hợp để tập trung làm bài
  • 3 Chuẩn bị sẵn dụng cụ cần dùng khi làm bài như bút, nháp, máy tính
  • 4 Căn chỉnh thời gian làm từng câu một cách hợp lý
  • Câu 1: Nhận biết

    Câu 1:

    Khi một vật dao động điều hòa, chuyển động của vật từ vị trí cân bằng ra vị trí biên là chuyển động

  • Câu 2: Nhận biết

    Câu 2:

    Khi nói về một hệ dao động cưỡng bức ở giai đoạn ổn định, phát biểu nào dưới đây là sai?

  • Câu 3: Nhận biết

    Câu 3:

    Nguồn sóng ở O dao động với tần số 10Hz, dao động truyền đi với tốc độ 0,4m/s trên phương Oy. Trên phương này có hai điểm M và N cách nhau MN = 13cm. Cho biên độ A=1cm và biên độ không thay đổi khi sóng truyền. Nếu tại thời điểm nào đó M có li độ 1cm thì li độ tại N là:

  • Câu 4: Nhận biết

    Câu 4:

    Mạch xoay chiều gồm điện trở thuần R, cuộn cảm thuần có độ tự cảm L, tụ điện C nối tiếp, trong đó R và L không đổi còn C thay đổi được. Đặt vào hai đầu đoạn mạch trên điện áp u = U0cosωt không đổi, khi đó các điện áp hiệu dụng giữa hai đầu R, L, C có giá trị lần lượt là: 30V, 60V và 20V. Thay đổi C để điện áp hiệu dụng ở hai đầu điện trở là U'R = 50V thì điện áp hiệu dụng ở hai đầu tụ điện là

  • Câu 5: Nhận biết

    Câu 5:

    Sóng truyền theo một phương với tốc độ không đổi. Khi tần số thay đổi một lượng 5Hz thì bước sóng giảm từ 24cm xuống 20cm. Tốc độ truyền sóng là

  • Câu 6: Nhận biết

    Câu 6:

    Hai dao động điều hòa: x1 = 3cos(ωt + ω1) và x2 = 7cos(ωt +π). Biên độ dao động tổng hợp của hai động này không thể là
  • Câu 7: Nhận biết

    Câu 7:

    Một chất điểm dao động điều hòa với phương trình x = Acos2πt (t đo bằng s). Biết hiệu giữa quãng đường lớn nhất và nhỏ nhất mà chất điểm đi được cùng trong một khoảng thời gian Δt đạt cực đại. Khoảng thời gian Δt bằng:
  • Câu 8: Nhận biết

    Câu 8:

    Cho ba vật dao động điều hòa cùng biên độ A = 10cm nhưng tần số khác nhau. Biết rằng tại mọi thời điểm li độ, vận tốc của các vật liên hệ với nhau bởi biểu thức Đề thi thử THPT Quốc gia năm 2016 môn Vật lý trường THPT Cẩm Bình, Hà TĩnhTại thời điểm t, các vật cách vị trí cân bằng của chúng lần lượt là 6cm, 8cm, và x3. Giá trị x3 gần giá trị nào nhất:
  • Câu 9: Nhận biết

    Câu 9:

    Đặt điện áp u = Uosin100πt ổn định vào hai đầu đoạn mạch không phân nhánh gồm biến trở R, cuộn cảm thuần có độ tự cảm L = 1/π (H), tụ điện C có điện dung C = 10-4/π (F). Mắc vào hai đầu biến trở một vôn kế nhiệt, rồi thay đổi R. Số chỉ vôn kế sẽ
  • Câu 10: Nhận biết

    Câu 10:

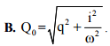
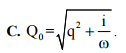
    Một mạch dao động LC lí tưởng đang có dao động điện từ tự do với tần số góc ω. Tại một thời điểm nào đó điện tích của tụ điện là q và cường độ dòng điện trong mạch là i. Dao động điện từ tự do trong mạch có điện tích cực đại Qo
  • Câu 11: Nhận biết

    Câu 11:

    Trong các loại tia: Rơn-ghen, hồng ngoại, tử ngoại, đơn sắc màu lục; tia có tần số nhỏ nhất là
  • Câu 12: Nhận biết

    Câu 12:

    Mạch điện xoay chiều không phân nhánh được mắc theo thứ tự sau: điện trở thuần R, tụ điện C và cuộn dây không thuần cảm (r,L). Điện áp hiệu dụng ở hai đầu điện trở R là 3V, ở hai đầu tụ điện C là 4V, ở hai đầu cuộn dây (r,L) là 5V, ở hai đầu mạch là 5√3V. So với đoạn mạch RC, điện áp ở hai đầu cuộn dây
  • Câu 13: Nhận biết

    Câu 13:

    Một vật nặng 200g treo vào lò xo làm nó giãn ra 2cm. Trong quá trình vật dao động điều hòa thì chiều dài của lò xo biến thiên từ 25cm đến 35cm. Lấy g = 10m/s2. Cơ năng của vật là
  • Câu 14: Nhận biết

    Câu 14:

    Trong thí nghiệm Iâng (Y-âng) về giao thoa của ánh sáng đơn sắc, hai khe hẹp cách nhau 1 mm, mặt phẳng chứa hai khe cách màn quan sát 1,5 m. Khoảng cách giữa 5 vân sáng liên tiếp là 3,6 mm. Bước sóng của ánh sáng dùng trong thí nghiệm này bằng

  • Câu 15: Nhận biết

    Câu 15:

    Một con lắc lò xo dao động điều hòa trên mặt phẳng nằm ngang không ma sát có k = 1,6N/m và m = 0,1kg. Ban đầu giữ vật m tại vị trí mà lò xo bị nén 6cm. Cũng tại vị trí cân bằng đặt một vật M = 0,2kg đứng yên. Buông nhẹ lò xo để vật m chuyển động và va chạm mềm với vật M. Sau va chạm hệ vật dao động điều hòa với tốc độ cực đại:
  • Câu 16: Nhận biết

    Câu 16:

    Đồ thị biểu diễn sự phụ thuộc vào thời gian của điện áp giữa hai đầu mạch và cường độ dòng điện chạy trong mạch như hình vẽ. Đoạn mạch: 
    Đề thi thử THPT Quốc gia năm 2016 môn Vật lý trường THPT Cẩm Bình, Hà Tĩnh
  • Câu 17: Nhận biết

    Câu 17:

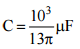
    Cho đoạn mạch xoay chiều có tần số 50Hz gồm điện trở thuần R = 80Ω, cuộn dây thuần cảm có cảm kháng ZL = 70Ω và tụ điện có điện dung Đề thi thử THPT Quốc gia năm 2016 môn Vật lý trường THPT Cẩm Bình, Hà Tĩnhmắc nối tiếp. Hệ số công suất của đoạn mạch bằng
  • Câu 18: Nhận biết

    Câu 18:

    Trong thí nghiệm Iâng (Young) về giao thoa ánh sáng, hai khe được chiếu bằng ánh sáng trắng có bước sóng từ 0,38 μm đến 0,76μm. Tại vị trí vân sáng bậc 4 của ánh sáng đơn sắc có bước sóng 0,76 μm , người ta đặt khe hẹp F của ống chuẩn trực máy quang phổ lăng kính thì trên kính ảnh của buồng tối máy quang phổ này quan sát được
  • Câu 19: Nhận biết

    Câu 19:

    Một con lắc đơn có chiều dài l trong khoảng thời gian Δt nó thực hiện được 12 dao động. Khi thay đổi độ dài của nó đi 36cm thì trong khoảng thời gian Δt nói trên nó thực hiện được 15 dao động. Chiều dài ban đầu của con lắc là

  • Câu 20: Nhận biết

    Câu 20:

    Đặt một điện áp xoay chiều ổn định u = Uocos(ωt) (V) vào hai đầu đoạn mạch R, L, C mắc nối tiếp. điện dung của tụ điện có thể thay đổi được. Điều chỉnh điện dung của tụ sao cho điện áp hiệu dụng của tụ đạt giá trị cực đại, khi đó điện áp tức thời cực đại trên R là 12a. Biết khi điện áp tức thời giữa hai đầu mạch là 16a thì điện áp tức thời giữa hai đầu tụ là 7a. Chọn hệ thức đúng:
  • Câu 21: Nhận biết

    Câu 21:

    Trong y học, tia X được sử dụng để chụp phim, để chẩn đoán bệnh là dựa vào tính chất
  • Câu 22: Nhận biết

    Câu 22:

    Tia tử ngoại được dùng
  • Câu 23: Nhận biết

    Câu 23:

    Đặc điểm quan trọng của quang phổ liên tục là:
  • Câu 24: Nhận biết

    Câu 24:

    Mạch không phân nhánh gồm một điện trở thuần R, một cuộn cảm thuần L và một tụ điện biến đổi C đặt dưới điện áp xoay chiều ổn định. Cảm kháng ZL = 2R. Khi C=C1 thì mạch có cộng hưởng điện và công suất mạch bằng 60W. Khi C=C2= 2C1 thì công suất mạch bằng
  • Câu 25: Nhận biết

    Câu 25:

    Một khung dây quay đều trong từ trường véctơ B vuông góc với trục quay của khung với tốc độ n=1800 vòng/phút. Tại thời điểm t=0, véctơ pháp tuyến n của mặt phẳng khung dây hợp với véctơ B một góc 30o. Từ thông cực đại gởi qua khung dây là 0,01Wb. Biểu thức của suất điện động cảm ứng xuất hiện trong khung là:
  • Câu 26: Nhận biết

    Câu 26:

    Tại nơi có gia tốc trọng trường 9,8 m/s2, một con lắc đơn và một con lắc lò xo nằm ngang dao động điều hòa với cùng tần số. Biết con lắc đơn có chiều dài 49 cm và lò xo có độ cứng 10 N/m. Khối lượng vật nhỏ của con lắc lò xo là
  • Câu 27: Nhận biết

    Câu 27:

    Một chất điểm dao động điều hoà trên trục Ox có vận tốc bằng 0 tại hai thời điểm liên tiếp t1 = 1,75s và t2 = 2,5s, tốc độ trung bình trong khoảng thời gian đó là 16cm/s . Toạ độ chất điểm tại thời điểm t = 0 là
  • Câu 28: Nhận biết

    Câu 28:

    Tại 2 điểm A và B trên mặt nước cách nhau 16cm có 2 nguồn giống nhau. Điểm M nằm trên mặt nước và nằm trên đường trung trực của AB cách trung điểm I của AB một khoảng nhỏ nhất bằng 4√5 cm luôn dao động cùng pha với I. Điểm N nằm trên mặt nước và nằm trên đường thẳng vuông góc với AB tại A, cách A một khoảng nhỏ nhất bằng bao nhiêu để N dao động với biên độ cực tiểu?
  • Câu 29: Nhận biết

    Câu 29:

    Trong một thí nghiệm về giao thoa sóng trên mặt nước, hai nguồn kết hợp A và B dao động với tần số 15Hz và cùng pha. Tại một điểm M cách nguồn A và B những khoảng d1 = 17cm; d2 = 20cm, sóng có biên độ cực tiểu. Giữa M và đường trung trực của AB có 1 dãy cực đại. Tốc độ truyền sóng trên mặt nước là
  • Câu 30: Nhận biết

    Câu 30:

    Khi nói về sóng cơ học, phát biểu nào sau đây là sai?
  • Câu 31: Nhận biết

    Câu 31:

    Trong một môi trường đẳng hướng và không hấp thụ âm có 3 điểm thẳng hàng theo đúng thứ tự A, B, C, một nguồn điện phát âm công suất P đặt tại điểm O, di chuyển một máy thu âm từ A đến C thì thấy rằng : mức cường độ âm tại B lớn nhất và bằng LB = 46,02dB còn mức cường độ âm tại tại A và C là bằng nhau và bằng LA = LC = 40dB. Bỏ qua nguồn âm tại O, đặt tại A một nguồn điểm phát âm công suất P’, để mức độ cường âm tại B vẫn không đổi thì:
  • Câu 32: Nhận biết

    Câu 32:

    Cho đoạn mạch xoay chiều mắc nối tiếp. Biết cảm kháng ZL = 10Ω, dung kháng ZC = 20Ω, điện áp giữa hai đầu tụ điện có biểu thức Đề thi thử THPT Quốc gia năm 2016 môn Vật lý trường THPT Cẩm Bình, Hà Tĩnh Biểu thức điện áp giữa hai đầu cuộn cảm là
  • Câu 33: Nhận biết

    Câu 33:

    Chiết suất của một môi trường trong suốt đối với các ánh sáng đơn sắc khác nhau là đại lượng:
  • Câu 34: Nhận biết

    Câu 34:

    Tại mặt chất lỏng có hai nguồn phát sóng giống nhau A, B cách nhau một đoạn 8cm. Gọi M, N là hai điểm thuộc mặt chất lỏng sao cho MN = 4cm và ABMN là hình thang cân (AB // MN). Bước sóng của sóng trên mặt chất lỏng do các nguồn phát ra là 1cm. Để trong đoạn MN có đúng 5 điểm dao động với biên độ cực đại thì diện tích lớn nhất của hình thang là:
  • Câu 35: Nhận biết

    Câu 35:

    Vật dao động điều hoà có tốc độ cực đại bằng 1,256m/s và gia tốc cực đại bằng 80m/s2. Chu kì và biên độ dao động của vật là
  • Câu 36: Nhận biết

    Câu 36:

    Sóng điện từ và sóng cơ học không có cùng tính chất nào sau đây?
  • Câu 37: Nhận biết

    Câu 37:

    Thí nghiệm Iâng (Young) với ánh sáng đơn sắc, khoảng cách giữa màn với mặt phẳng hai khe ban đầu là D. Nếu dịch chuyển màn theo phương vuông góc với nó một đoạn 60cm thì quan sát được tại điểm M trên màn vân sáng bậc 1 hoặc vân sáng bậc 4. Khi khoảng cách giữa màn quan sát và mặt phẳng hai khe bằng 80cm thì tại M quan sát được
  • Câu 38: Nhận biết

    Câu 38:

    Giao thoa khe Iâng (Young) với ánh sáng trắng (λ: 0,38μm → 0,76 μm), hai khe sáng cách nhau 0,5mm và cách màn 1m. Bề rộng của dải quang phổ ngay sát vạch sáng trắng chính giữa là
  • Câu 39: Nhận biết

    Câu 39:

    Một sóng điện từ truyền trong chân không với bước sóng λ = 150m, cường độ điện trường cực đại và cảm ứng từ cực đại của sóng lần lượt là Eo và Bo.Tại thời điểm nào đó cường độ điện trường tại một điểm trên phương truyền sóng có giá trị Eo/2 và đang tăng. Lấy c = 3.108m/s. Sau thời gian ngắn nhất là bao nhiêu thì cảm ứng từ tại điểm đó có độ lớn bằng Bo/2?
  • Câu 40: Nhận biết

    Câu 40:

    Một cuộn dây khi mắc vào điện áp không đổi U1 = 12V thì cường độ dòng điện qua cuộn dây là I1 = 0,3A. Lấy cuộn dây này mắc nối tiếp với một điện trở thuần R = 20Ω rồi đặt vào hai đầu đoạn mạch điện áp u = 120√2cos100πt(V) thì cường độ dòng điện qua mạch trễ pha 45o so với điện áp. Công suất của đoạn mạch xoay chiều này là
  • Câu 41: Nhận biết

    Câu 41:

    Sóng điện từ
  • Câu 42: Nhận biết

    Câu 42:

    Một mạch dao động lí tưởng được dùng làm mạch chọn sóng của một máy thu vô tuyến điện. Điện dung của nó có giá trị thay đổi được, cuộn cảm có độ tự cảm không đổi. Nếu điều chỉnh điện dung C = 4C1 +9C2 thì máy thu bắt được sóng điện có bước sóng 51m. Nếu điều chỉnh điện dung C = 9C1 +C2 thì máy thu bắt được sóng điện từ có bước sóng 39m. Nếu điều chỉnh điện dung của tụ lần lượt là C = C1 và C = C2 thì máy thu bắt được sóng điện từ có bước sóng theo thứ tự là:
  • Câu 43: Nhận biết

    Câu 43:

    Trong một mạch dao động điện từ điều hòa, khi cảm ứng từ trong lòng cuộn cảm có độ lớn cực đại thì
  • Câu 44: Nhận biết

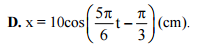
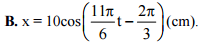
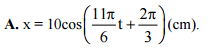
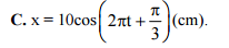
    Câu 44:

    Một chất điểm dao động điều hòa có đồ thị biểu diễn sự phụ thuộc vào thời gian của li độ như hình vẽ. Phương trình dao động của vật là:
    Đề thi thử THPT Quốc gia năm 2016 môn Vật lý trường THPT Cẩm Bình, Hà Tĩnh
  • Câu 45: Nhận biết

    Câu 45:

    Sóng FM của Đài Tiếng nói Việt Nam có tần số 100MHz. Tìm bước sóng.
  • Câu 46: Nhận biết

    Câu 46:

    Máy biến áp là thiết bị
  • Câu 47: Nhận biết

    Câu 47:

    Trong đoạn mạch điện xoay chiều gồm điện trở thuần, cuộn cảm thuần và tụ điện mắc nối tiếp thì
  • Câu 48: Nhận biết

    Câu 48:

    Đặt điện áp xoay chiều u = Uocosωt (V) vào hai đầu đoạn mạch AB theo thứ tự gồm điện trở R = 90Ω ; cuộn dây không thuần cảm có r = 10Ω và tụ điện có điện dung C thay đổi được. M là điểm nối giữa R và cuộn dây. Khi C = C1 thì điện áp hiệu dụng hai đầu đoạn mạch MB đạt giá trị cực tiểu bằng U1; Khi C = C2 = C1/2 thì điện áp hiệu dụng trên tụ điện đạt giá trị cực đại bằng U2. Tỷ số U2/U1 bằng
  • Câu 49: Nhận biết

    Câu 49:

    Trên sợi dây OA, đầu A cố định và đầu O dao động điều hoà với biên độ nhỏ ( xem như nút sóng) với tần số 20Hz thì trên dây có 5 nút. Muốn trên dây rung thành 2 bụng sóng thì ở O phải dao động với tần số:
  • Câu 50: Nhận biết

    Câu 50:

    Cho đoạn mạch RLC nối tiếp (cuộn dây thuần cảm) với CR2 < 2L. Đặt vào hai đầu đoạn mạch điện áp u = Uo cosωt (V) với ω thay đổi được. Điều chỉnh ω để điện áp hiệu dụng giữa hai bản tụ đạt cực đại, khi đó điện áp hiệu dụng trên điện trở gấp 5 lần điện áp hiệu dụng trên cuộn dây. Hệ số công suất của đoạn mạch đó là :

Chúc mừng Bạn đã hoàn thành bài!

Đề thi thử THPT Quốc gia năm 2016 môn Vật lý trường THPT Cẩm Bình, Hà Tĩnh Kết quả
  • Thời gian làm bài: 00:00:00
  • Số câu đã làm: 0
  • Điểm tạm tính: 0
  • Điểm thưởng: 0

Đấu trường Đề thi thử THPT Quốc gia năm 2016 môn Vật lý trường THPT Cẩm Bình, Hà Tĩnh

Đang tìm đối thủ...

Đang tải...

3
Xác thực tài khoản!

Theo Nghị định 147/2024/ND-CP, bạn cần xác thực tài khoản trước khi sử dụng tính năng này. Chúng tôi sẽ gửi mã xác thực qua SMS hoặc Zalo tới số điện thoại mà bạn nhập dưới đây:

Số điện thoại chưa đúng định dạng!
Số điện thoại này đã được xác thực!
Bạn có thể dùng Sđt này đăng nhập tại đây!
Lỗi gửi SMS, liên hệ Admin
Sắp xếp theo