Câu 1.
Chu kì dao động là
Đề thi thử THPT Quốc gia năm 2017 môn Vật lý trường THPT Phan Chu Trinh, Phú Yên - Đề 1 là đề thi được ra theo cấu trúc thi THPT Quốc gia 2017 của Bộ Giáo dục và Đào tạo được VnDoc sưu tầm và giới thiệu tới các bạn bài trắc nghiệm này giúp các bạn tự luyện tập và củng cố kiến thức hiệu quả.
Đề thi thử THPT Quốc gia năm 2017 môn Vật lý trường THPT Trần Hưng Đạo, TP. Hồ Chí Minh
Điểm khả dụng: 0 điểm
Bạn sẽ dùng 50 điểm để đổi lấy 1 lượt làm bài.
Bạn không đủ điểm để đổi.
Câu 1.
Chu kì dao động là
Câu 2.
Khi nói về năng lượng trong dao động điều hòa, phát biểu nào không đúng
Câu 3.
Phát biểu nào sau đây là đúng:
Câu 4.
Lực căng của đoạn dây treo con lắc đơn đang dao động có độ lớn như thế nào?
Câu 5.
Một con lắc đơn gồm một sợi dây có chiều dài l dao động điều hòa với tần số f. Nếu tăng chiều dài lên 9/4 lần thì tần số dao động sẽ
Câu 6.
Đồ thị quan hệ giữa ly độ và vận tốc của vật dao động điều hòa là đường
Câu 7.
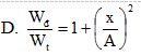
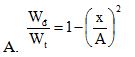
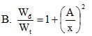
Một chất điểm dao động điều hòa có phương trình dao động là x = Acos(ωt + φ). Tỉ số giữa động năng và thế năng khi vật có li độ x (x ≠ 0) làCâu 8.
Một chất điểm dao động điều hòa với phương trình
. Tính từ thời điểm t = 0 đến thời điểm T/4, tỉ số giữa ba quãng đường liên tiếp mà chất điểm đi được trong cùng một khoảng thời gian là
Câu 9.
Định nghĩa nào sau đây về sóng cơ là đúng nhất? Sóng cơ là
Câu 10.
Khảo sát hiện tượng sóng dừng trên dây đàn hồi AB. Đầu A nối với nguồn dao động, đầu B tự do thì sóng tới và sóng phản xạ tại B
Câu 11.
Một sóng truyền theo chiều P đến Q nằm trên cùng một đường truyền sóng. Hai điểm đó cách nhau một khoảng bằng 5/4 bước sóng. Nhận định nào sau đây đúng?
Câu 12.
Một sóng cơ truyền trên mặt nước với tần số f = 10 Hz, tại một thời điểm nào đó các phần tử mặt nước có dạng như hình v. Trong đó khoảng cách từ vị trí cân bằng của A đến vị trí cân bằng của D là 30 cm và điểm C đang từ vị trí cân bằng của nó đi xuống. Chiều truyền và vận tốc truyền sóng là:

Câu 13.
Nguồn âm tại O có công suất không đổi. Trên cùng đường thẳng qua O có ba điểm A, B, C cùng nằm về một phía của O và theo thứ tự xa có khoảng cách tới nguồn tăng dần. Mức cường độ âm tại B kém mức cường độ âm tại A là a (dB), mức cường độ âm tại B hơn mức cường độ âm tại C là: 3a (dB). Biết OA = 2/3 OB. Tỉ số OA/OC là:Câu 14.
Đặt một điện áp xoay chiều vào hai đầu đoạn mạch chỉ có cuộn thuần cảm thì
Câu 15.
Giá trị hiệu dụng của dòng điện xoay chiều có biểu thức i = 2√3cos200πt(A) là
Câu 16.
Máy tăng áp có cuộn thứ cấp mắc với điện trở thuần, cuộn sơ cấp mắc với nguồn điện xoay chiều. Tần số dòng điện trong cuộn thứ cấp
Câu 17.
Chọn kết luận đúng. Trong mạch điện xoay chiều RLC mắc nối tiếp. Nếu tăng tần số của hiệu điện thế xoay chiều đặt vào hai đầu mạch thì
Câu 18.
Đặt một điện áp xoay chiều u = 100√2cos100πt (V) vào hai đầu đoạn mạch có R, L, C mắc nối tiếp. Biết R = 50 Ω, cuộn thuần cảm có độ tự cảm L = 1/π H và tụ điện có điện dung
. Cường độ hiệu dụng của dòng điện trong đoạn mạch là
Câu 19.
Một máy biến áp lí tưởng có cuộn sơ cấp gồm 1000 vòng, cuộn thứ cấp gồm 50 vòng. Điện áp hiệu dụng giữa hai đầu cuộn sơ cấp là 220 V. Bỏ qua hao phí. Điện áp hiệu dụng giữa hai đầu cuộn thứ cấp để hở là
Câu 20.
Cho đoạn mạch AB gồm hai đoạn mạch điện xoay chiều AM và MB. AM gồm R1 = 100Ω nối tiếp cuộn dây thuần L = √3/ π H; MB là hộp kín X gồm 2 trong 3 phần tử R, cuộn dây thuần L và C ghép nối tiếp. Nếu nối hai đầu A, B nguồn điện xoay chiều uAB = 200√3cos(100πt) (v) thì ta có uMB = 400cos(100πt - π/6) (v). Xác định thành phần của XĐang tải...
Theo Nghị định 147/2024/ND-CP, bạn cần xác thực tài khoản trước khi sử dụng tính năng này. Chúng tôi sẽ gửi mã xác thực qua SMS hoặc Zalo tới số điện thoại mà bạn nhập dưới đây: