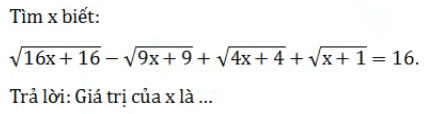
Bài 1: Đi tìm kho báu Câu 1: Cho hàm số y = f(x) = x2 + 1. Khi đó f(0) = ...1
Đáp án là:
Bài 1: Đi tìm kho báu Câu 1: Cho hàm số y = f(x) = x2 + 1. Khi đó f(0) = ...1











