Bài 1: Đi tìm kho báu
Câu 1: Trung bình cộng của năm số là 54. Trung bình cộng của hai số đầu tiên là 48. Giá trị trung bình cộng của ba số cuối là
Đề thi Violympic môn Toán lớp 8 vòng 15 năm học 2016 - 2017 vừa có mặt trên hệ thống bài thi trắc nghiệm của VnDoc, với những câu hỏi và bài tập hữu ích sẽ giúp các em củng cố lại kiến thức đã học và làm quen nhiều dạng bài mới. Chúc các em có được điểm số cao!
Điểm khả dụng: 0 điểm
Bạn sẽ dùng 50 điểm để đổi lấy 1 lượt làm bài.
Bạn không đủ điểm để đổi.
Bài 1: Đi tìm kho báu
Câu 1: Trung bình cộng của năm số là 54. Trung bình cộng của hai số đầu tiên là 48. Giá trị trung bình cộng của ba số cuối là
Câu 3:
Chữ số tận cùng của số 1919 + 9999 là:
Câu 4:
Hình thang ABCD ( AD//BC, AD > BC) có diện tích là 164cm2. Biết đường cao của hình thang là 8cm, AB = 10cm, CD = 17cm. Khi đó độ dài của cạnh BC là:
Câu 5:
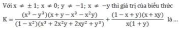
Biểu thức rút gọn của ACâu 1: 
Câu 1: 
1/6
1/6
-1/2
-1/2
Câu 1: Cho B là một số khác 0, nếu A là 36% của B và C là 40% của B thì tỉ số A/C có giá trị là...
9/10Câu 1: Cho B là một số khác 0, nếu A là 36% của B và C là 40% của B thì tỉ số A/C có giá trị là...
9/10
-15
-15
Đang tải...
Theo Nghị định 147/2024/ND-CP, bạn cần xác thực tài khoản trước khi sử dụng tính năng này. Chúng tôi sẽ gửi mã xác thực qua SMS hoặc Zalo tới số điện thoại mà bạn nhập dưới đây: