Giao diện mới của VnDoc Pro: Dễ sử dụng hơn - chỉ tập trung vào lớp bạn quan tâm. Vui lòng chọn lớp mà bạn quan tâm: Lưu và trải nghiệm
Đóng
Điểm danh hàng ngày
  • Hôm nay +3
  • Ngày 2 +3
  • Ngày 3 +3
  • Ngày 4 +3
  • Ngày 5 +3
  • Ngày 6 +3
  • Ngày 7 +5
Bạn đã điểm danh Hôm nay và nhận 3 điểm!
Nhắn tin Zalo VNDOC để nhận tư vấn mua gói Thành viên hoặc tải tài liệu Hotline hỗ trợ: 0936 120 169

Đề thi Violympic Toán lớp 8 vòng 14 năm 2016 - 2017

Đóng
Bạn đã dùng hết 1 lần làm bài Trắc nghiệm miễn phí. Mời bạn mua tài khoản VnDoc PRO để tiếp tục! Tìm hiểu thêm
Mô tả thêm:

Đề thi giải Toán qua mạng lớp 8 có đáp án

Đề thi Violympic môn Toán lớp 8 vòng 14 năm học 2016 - 2017 vừa có mặt trên hệ thống bài thi trắc nghiệm của VnDoc, với những câu hỏi và bài tập hữu ích sẽ giúp các em củng cố lại kiến thức đã học và làm quen nhiều dạng bài mới. Chúc các em có được điểm số cao!

Đề thi Violympic Toán lớp 8 vòng 13 năm 2016 - 2017

  • Số câu hỏi: 28 câu
  • Số điểm tối đa: 28 điểm
Bắt đầu làm bài
Bạn còn 1 lượt làm bài tập miễn phí. Hãy mua tài khoản VnDoc PRO để học không giới hạn nhé! Bạn đã HẾT lượt làm bài tập miễn phí! Hãy mua tài khoản VnDoc PRO để làm Trắc nghiệm không giới hạn và tải tài liệu nhanh nhé!
Mua ngay Đổi điểm
Trước khi làm bài bạn hãy
  • 1 Ôn tập kiến thức đã nêu trong phần Mô tả thêm
  • 2 Tìm không gian và thiết bị phù hợp để tập trung làm bài
  • 3 Chuẩn bị sẵn dụng cụ cần dùng khi làm bài như bút, nháp, máy tính
  • 4 Căn chỉnh thời gian làm từng câu một cách hợp lý
  • Câu 1: Nhận biết
    Bài 1: Đừng để điểm rơi

    Câu 1: Nếu xy + xz = 135 và y + z = 45 thì giá trị của x =... 

    3
    Đáp án là:
    Bài 1: Đừng để điểm rơi

    Câu 1: Nếu xy + xz = 135 và y + z = 45 thì giá trị của x =... 

    3
  • Câu 2: Nhận biết
    Câu 2: Nghiệm của phương trình 3x - 10 = 0. Vậy x =... (Nhập kết quả dưới dạng phân số tối giản /)10/3
    Đáp án là:
    Câu 2: Nghiệm của phương trình 3x - 10 = 0. Vậy x =... (Nhập kết quả dưới dạng phân số tối giản /)10/3
  • Câu 3: Nhận biết
    Câu 3: Số dư khi chia đa thức 25x2 - 9y2 cho 3y - 5x là:...0
    Đáp án là:
    Câu 3: Số dư khi chia đa thức 25x2 - 9y2 cho 3y - 5x là:...0
  • Câu 4: Nhận biết
    Câu 4: Cho hình chữ nhật ABCD có AB = 6cm, AC = 10cm thì diện tích hình chữ nhật ABCD là:... cm248
    Đáp án là:
    Câu 4: Cho hình chữ nhật ABCD có AB = 6cm, AC = 10cm thì diện tích hình chữ nhật ABCD là:... cm248
  • Câu 5: Nhận biết
    Câu 5: Đề thi Violympic Toán lớp 7 vòng 141
    Đáp án là:
    Câu 5: Đề thi Violympic Toán lớp 7 vòng 141
  • Câu 6: Nhận biết
    Câu 6: Giá trị của x để đa thức A = 36x2 + 24x + 7 đạt giá trị nhỏ nhất là:...-1/3
    Đáp án là:
    Câu 6: Giá trị của x để đa thức A = 36x2 + 24x + 7 đạt giá trị nhỏ nhất là:...-1/3
  • Câu 7: Nhận biết
    Câu 8: Cho xyz = 60; (x + y)2 = 7 và x2 + y2 = 3 thì giá trị của z là:...30
    Đáp án là:
    Câu 8: Cho xyz = 60; (x + y)2 = 7 và x2 + y2 = 3 thì giá trị của z là:...30
  • Câu 8: Nhận biết
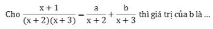
    Câu 9: Với a, b là hai số tự nhiên khác 0, biết a/b = 132/143 và BCNN(a, b) = 1092 khi đó giá trị của a là:...84
    Đáp án là:
    Câu 9: Với a, b là hai số tự nhiên khác 0, biết a/b = 132/143 và BCNN(a, b) = 1092 khi đó giá trị của a là:...84
  • Câu 9: Nhận biết
    Câu 10: Đề thi Violympic Toán lớp 7 vòng 141/99
    Đáp án là:
    Câu 10: Đề thi Violympic Toán lớp 7 vòng 141/99
  • Câu 10: Nhận biết

    Bài 2: Đập dế

    Câu 1: Cho hình chữ nhật ABCD có AD = 7cm và diện tích của hình chữ nhật ABCD là 35cm2 khi đó độ dài đoạn thẳng AC là:

  • Câu 11: Nhận biết

    Câu 2:

    Một hình thoi có độ dài một cạnh là 10cm và độ dài một đường chéo là 16cm có diện tích là:

  • Câu 12: Nhận biết

    Câu 3:

    Cho hình chữ nhật PQRS có hai đường chéo PR và QS biết ∠PQS =5xo; ∠RQS = 4xo thì số đo của góc QSR là:

  • Câu 13: Nhận biết

    Câu 4:

    Tập hợp nghiệm của phương trình 4x2 = 1 là:

  • Câu 14: Nhận biết

    Câu 5:

    Cho tứ giác ABCD có M, N, P, Q lần lượt là trung điểm của AB, BC, CD, DA. Tỉ số diện tích của hai tứ giác MNPQ và ABCD bằng:

  • Câu 15: Nhận biết

    Câu 6:

    Một đa giác có tổng số đo các góc trong gấp hao lần tổng số đo các góc ngoài thì số cạnh của đa giác đó là:

  • Câu 16: Nhận biết

    Câu 7:

    Đề thi Violympic Toán lớp 7 vòng 14
  • Câu 17: Nhận biết

    Câu 8:

    Đề thi Violympic Toán lớp 7 vòng 14
  • Câu 18: Nhận biết

    Câu 9:

    Một hình bình hành có hai cạnh kề bằng x và y, một góc bằng 45o. Diện tích hình bình hành bằng:

  • Câu 19: Nhận biết

    Câu 10:

    Diện tích lục giác đều có độ dài cạnh 2cm là:

  • Câu 20: Nhận biết
    Bài 3: Mười hai con giáp

    Câu 1: Cho tam giác ABC có diện tích 60cm2, gọi M, N lần lượt là trung điểm của BC và AC. Diện tích tam giác AMN là:... cm2 

    15
    Đáp án là:
    Bài 3: Mười hai con giáp

    Câu 1: Cho tam giác ABC có diện tích 60cm2, gọi M, N lần lượt là trung điểm của BC và AC. Diện tích tam giác AMN là:... cm2 

    15
  • Câu 21: Nhận biết
    Câu 2: Chữ số tận cùng của số 736 là:...1
    Đáp án là:
    Câu 2: Chữ số tận cùng của số 736 là:...1
  • Câu 22: Nhận biết
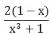
    Câu 3: Giá trị nhỏ nhất của biểu thức Đề thi Violympic Toán lớp 7 vòng 14là:...5
    Đáp án là:
    Câu 3: Giá trị nhỏ nhất của biểu thức Đề thi Violympic Toán lớp 7 vòng 14là:...5
  • Câu 23: Nhận biết
    Câu 4: Cho hình thang cân ABCD (AB//CD), đường cao AH. Biết AH = 6cm, HC = 10cm. Diện tích hình thanh ABCD là:... cm260
    Đáp án là:
    Câu 4: Cho hình thang cân ABCD (AB//CD), đường cao AH. Biết AH = 6cm, HC = 10cm. Diện tích hình thanh ABCD là:... cm260
  • Câu 24: Nhận biết
    Câu 5: Diện tích của một hình thang có hai đáy là 1cm và 6cm, đường cao hình thang bằng độ dài đường trung bình là:.. cm212,25
    Đáp án là:
    Câu 5: Diện tích của một hình thang có hai đáy là 1cm và 6cm, đường cao hình thang bằng độ dài đường trung bình là:.. cm212,25
  • Câu 25: Nhận biết
    Câu 6: Giá trị của x thỏa mãn đẳng thức -(x - 2) + (2 - x) = 2x + [ 2 - x - (22 - x)] là:...6
    Đáp án là:
    Câu 6: Giá trị của x thỏa mãn đẳng thức -(x - 2) + (2 - x) = 2x + [ 2 - x - (22 - x)] là:...6
  • Câu 26: Nhận biết
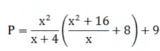
    Câu 7: Giá trị của biểu thức Đề thi Violympic Toán lớp 7 vòng 14là:...87
    Đáp án là:
    Câu 7: Giá trị của biểu thức Đề thi Violympic Toán lớp 7 vòng 14là:...87
  • Câu 27: Nhận biết
    Câu 9: Đề thi Violympic Toán lớp 7 vòng 142
    Đáp án là:
    Câu 9: Đề thi Violympic Toán lớp 7 vòng 142
  • Câu 28: Nhận biết
    Câu 10: Một hình chữ nhật có diện tích 350cm2 và hai cạnh tỉ lệ với 2 và 7. Diện tích hình vuông có cùng chu vi với hình chữ nhật là ... cm2506,25
    Đáp án là:
    Câu 10: Một hình chữ nhật có diện tích 350cm2 và hai cạnh tỉ lệ với 2 và 7. Diện tích hình vuông có cùng chu vi với hình chữ nhật là ... cm2506,25

Chúc mừng Bạn đã hoàn thành bài!

Đề thi Violympic Toán lớp 8 vòng 14 năm 2016 - 2017 Kết quả
  • Thời gian làm bài: 00:00:00
  • Số câu đã làm: 0
  • Điểm tạm tính: 0
  • Điểm thưởng: 0

Đấu trường Đề thi Violympic Toán lớp 8 vòng 14 năm 2016 - 2017

Đang tìm đối thủ...

Đang tải...

Xác thực tài khoản!

Theo Nghị định 147/2024/ND-CP, bạn cần xác thực tài khoản trước khi sử dụng tính năng này. Chúng tôi sẽ gửi mã xác thực qua SMS hoặc Zalo tới số điện thoại mà bạn nhập dưới đây:

Số điện thoại chưa đúng định dạng!
Số điện thoại này đã được xác thực!
Bạn có thể dùng Sđt này đăng nhập tại đây!
Lỗi gửi SMS, liên hệ Admin
Sắp xếp theo