Giao diện mới của VnDoc Pro: Dễ sử dụng hơn - chỉ tập trung vào lớp bạn quan tâm. Vui lòng chọn lớp mà bạn quan tâm: Lưu và trải nghiệm
Đóng
Điểm danh hàng ngày
  • Hôm nay +3
  • Ngày 2 +3
  • Ngày 3 +3
  • Ngày 4 +3
  • Ngày 5 +3
  • Ngày 6 +3
  • Ngày 7 +5
Bạn đã điểm danh Hôm nay và nhận 3 điểm!
Nhắn tin Zalo VNDOC để nhận tư vấn mua gói Thành viên hoặc tải tài liệu Hotline hỗ trợ: 0936 120 169

Luyện thi Violympic Toán lớp 8 vòng 15 năm 2015 - 2016

Đóng
Bạn đã dùng hết 1 lần làm bài Trắc nghiệm miễn phí. Mời bạn mua tài khoản VnDoc PRO để tiếp tục! Tìm hiểu thêm
Mô tả thêm:

Luyện thi giải Toán qua mạng lớp 8 có đáp án

Violympic Toán lớp 8 - Cùng VnDoc kiểm tra và đánh giá lại kiến thức của mình qua bài test Luyện thi Violympic Toán lớp 8 vòng 15 năm 2015 - 2016 trước khi bước vào vòng 15 của Cuộc thi giải Toán qua mạng năm 2015 - 2016 bắt đầu mở từ ngày 04/03/2016. Tham gia làm bài và bổ sung những kiến thức còn thiếu sót nhé!

Các bài tham khảo thêm:

  • Thời gian làm: 60 phút
  • Số câu hỏi: 25 câu
  • Số điểm tối đa: 25 điểm
Bắt đầu làm bài
Bạn còn 1 lượt làm bài tập miễn phí. Hãy mua tài khoản VnDoc PRO để học không giới hạn nhé! Bạn đã HẾT lượt làm bài tập miễn phí! Hãy mua tài khoản VnDoc PRO để làm Trắc nghiệm không giới hạn và tải tài liệu nhanh nhé!
Mua ngay Đổi điểm
Trước khi làm bài bạn hãy
  • 1 Ôn tập kiến thức đã nêu trong phần Mô tả thêm
  • 2 Tìm không gian và thiết bị phù hợp để tập trung làm bài
  • 3 Chuẩn bị sẵn dụng cụ cần dùng khi làm bài như bút, nháp, máy tính
  • 4 Căn chỉnh thời gian làm từng câu một cách hợp lý
  • Câu 1: Nhận biết

    Bài 1: Cóc vàng tài ba

    Câu 1.1:
    Cho hình thang ABCD (AB // CD). Hai đường chéo AC và BD cắt nhau tai O. Điều nào sau đây là đúng.
  • Câu 2: Nhận biết

    Câu 1.2:

    Điều kiện của m để đa thức A = -mx2 - 4mx - 4m (với x ≠ -2) luôn dương là ...........
  • Câu 3: Nhận biết

    Câu 1.3:

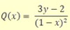
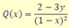
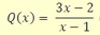
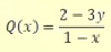
    Mẫu thức chung của hai phân thức  với x ≠ 1 và  (x ≠ 1) là:
  • Câu 4: Nhận biết

    Câu 1.4:

    Nghiệm của phương trình:  là:
  • Câu 5: Nhận biết

    Câu 1.5:

    Phần dư của phép chia đa thức A(x) = 6x- 17x+ 12x - 5 cho đa thức B(x) = 6x- 5x + 1 là .......
  • Câu 6: Nhận biết

    Câu 1.6:

    Tổng hệ số của tất cả các hạng tử trong khai triển (5x - 3)6 là ...........
  • Câu 7: Nhận biết

    Câu 1.7:

    Tổng các nghiệm của phương trình:
     
    với x ≠ ±3; x ≠ -2 là:
  • Câu 8: Nhận biết

    Câu 1.8:

    Phân thức rút gọn của phân thức:  với x ≠ 1  là ..........
  • Câu 9: Nhận biết

    Câu 1.9:

    Số nhà của Linh là một số có hai chữ số. Nếu viết thêm số 7 vào trước số đó ta được số A. Nếu viết thêm chữ số 7 đằng sau số đó ta được số B. Biết rằng A - B = 450. Vậy số nhà của Linh là: .........
  • Câu 10: Nhận biết

    Câu 1.10:

    Hai xe ô tô cùng đi từ A đến B dài 183km. Trong 53km đầu tiên, hai xe có cùng vận tốc sau đó xe thứ nhất giảm vận tốc xuống còn 2/3 vận tốc ban đầu còn xe thứ hai vẫn giữ nguyên vận tốc. Do đó xe thứ hai đến B sớm hơn xe thứ nhất 40 phút. Vận tốc ban đầu khi xuất phát từ A của 2 xe là:
  • Câu 11: Nhận biết
    Bài 2: Vượt chướng ngại vật Câu 2.1:
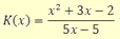
    Giá trị của biểu thức:  tại x = -3 là:0,3
    Nhập dưới dạng số thập phân, lấy một chữ số sau dấu phẩy.
    Đáp án là:
    Bài 2: Vượt chướng ngại vật Câu 2.1:
    Giá trị của biểu thức:  tại x = -3 là:0,3
  • Câu 12: Nhận biết
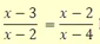
    Câu 2.2: Tập giá trị của x để phân thức:  không xác định là S = {.......}-4; -1
    Nhập kết quả theo giá trị tăng dần, ngăn cách nhau bởi dấu ";"
    Đáp án là:
    Câu 2.2: Tập giá trị của x để phân thức:  không xác định là S = {.......}-4; -1
  • Câu 13: Nhận biết
    Câu 2.3: ABC vuông, độ dài hai cạnh góc vuông lần lượt là 5cm và 7cm.
    Độ dài đường trung tuyến ứng với cạnh huyền là ......... cm.4,3
    Nhập kết quả dưới dạng số thập phân làm tròn đến 1 chữ số sau dấu phẩy.
    Đáp án là:
    Câu 2.3: ABC vuông, độ dài hai cạnh góc vuông lần lượt là 5cm và 7cm.
    Độ dài đường trung tuyến ứng với cạnh huyền là ......... cm.4,3
  • Câu 14: Nhận biết
    Câu 2.4: Nghiệm của phương trình (x + 1)+ (1 - x)- 6x(x - 1) = 6 là .........-0,67
    Nhập kết quả dưới dạng số thập phân làm tròn đến 2 chữ số sau dấu phẩy.
    Đáp án là:
    Câu 2.4: Nghiệm của phương trình (x + 1)+ (1 - x)- 6x(x - 1) = 6 là .........-0,67
  • Câu 15: Nhận biết
    Câu 2.5: Nghiệm của phương trình:  là x = ................-65
    Đáp án là:
    Câu 2.5: Nghiệm của phương trình:  là x = ................-65
  • Câu 16: Nhận biết
    Bài 3: Hãy điền số thích hợp vào chỗ chấm. Câu 3.1:
    Số nghiệm của phương trình:  là: ............2
    Đáp án là:
    Bài 3: Hãy điền số thích hợp vào chỗ chấm. Câu 3.1:
    Số nghiệm của phương trình:  là: ............2
  • Câu 17: Nhận biết
    Câu 3.2: Diện tích hình thang vuông có một góc bằng 45o; độ dài hai đáy lần lượt là 4cm và 6cm là ..............cm2.10
    Đáp án là:
    Câu 3.2: Diện tích hình thang vuông có một góc bằng 45o; độ dài hai đáy lần lượt là 4cm và 6cm là ..............cm2.10
  • Câu 18: Nhận biết
    Câu 3.3: Số nghiệm của phương trình x- 8 = 3x(2 - x) là: ..............3
    Đáp án là:
    Câu 3.3: Số nghiệm của phương trình x- 8 = 3x(2 - x) là: ..............3
  • Câu 19: Nhận biết
    Câu 3.4: Nghiệm không nguyên của phương trình 8(x+ 1/x2) - 34(x + 1/x) + 51 = 0 là x = ..............0,5
    Nhập kết quả dưới dạng số thập phân gọn nhất.
    Đáp án là:
    Câu 3.4: Nghiệm không nguyên của phương trình 8(x+ 1/x2) - 34(x + 1/x) + 51 = 0 là x = ..............0,5
  • Câu 20: Nhận biết
    Câu 3.5: Cho hình vuông ABCD, trên AD lấy điểm I, trên DC lấy điểm G sao cho AI = DG.
    Nếu AG = 5cm thì độ dài BI = ........... cm.5
    Đáp án là:
    Câu 3.5: Cho hình vuông ABCD, trên AD lấy điểm I, trên DC lấy điểm G sao cho AI = DG.
    Nếu AG = 5cm thì độ dài BI = ........... cm.5
  • Câu 21: Nhận biết
    Câu 3.6: Cho hình vuông ABCD có độ dài đường chéo bằng 12cm, M là một điểm bất kỳ trên cạnh AB, O là giao điểm hai đường chéo. Đường thẳng qua O và vuông góc với OM cắt BC tại N.
    Diện tích tứ giác OMBN bằng ............. cm2.18
    Đáp án là:
    Câu 3.6: Cho hình vuông ABCD có độ dài đường chéo bằng 12cm, M là một điểm bất kỳ trên cạnh AB, O là giao điểm hai đường chéo. Đường thẳng qua O và vuông góc với OM cắt BC tại N.
    Diện tích tứ giác OMBN bằng ............. cm2.18
  • Câu 22: Nhận biết
    Câu 3.7: Nghiệm của phương trình: (5x - 1)/(3x + 2) = (5x - 7)/3x - 1 là: x = ............-5
    Đáp án là:
    Câu 3.7: Nghiệm của phương trình: (5x - 1)/(3x + 2) = (5x - 7)/3x - 1 là: x = ............-5
  • Câu 23: Nhận biết
    Câu 3.8: Nghiệm lớn nhất của phương trình (x - 1)+ Ix + 21I - x- 5 = 0 là x = .............17
    Đáp án là:
    Câu 3.8: Nghiệm lớn nhất của phương trình (x - 1)+ Ix + 21I - x- 5 = 0 là x = .............17
  • Câu 24: Nhận biết
    Câu 3.9:

    Cho biểu thức P = 4a+ 4ab + 4b2 - 12a - 12b + 12.
    Giá trị nhỏ nhất của biểu thức P là .............

    0
    Đáp án là:
    Câu 3.9:

    Cho biểu thức P = 4a+ 4ab + 4b2 - 12a - 12b + 12.
    Giá trị nhỏ nhất của biểu thức P là .............

    0
  • Câu 25: Nhận biết
    Câu 3.10: Cho tam giác ABC có đường cao AH trọng tâm G. Một đường thẳng đi qua G và song song với BC cắt các cạnh AB, AC tại M và N.
    Nếu diện tích tam giác ABC bằng 36cm2 thì diện tích tam giác HMN bằng ......... cm2.8
    Đáp án là:
    Câu 3.10: Cho tam giác ABC có đường cao AH trọng tâm G. Một đường thẳng đi qua G và song song với BC cắt các cạnh AB, AC tại M và N.
    Nếu diện tích tam giác ABC bằng 36cm2 thì diện tích tam giác HMN bằng ......... cm2.8

Chúc mừng Bạn đã hoàn thành bài!

Luyện thi Violympic Toán lớp 8 vòng 15 năm 2015 - 2016 Kết quả
  • Thời gian làm bài: 00:00:00
  • Số câu đã làm: 0
  • Điểm tạm tính: 0
  • Điểm thưởng: 0

Đấu trường Luyện thi Violympic Toán lớp 8 vòng 15 năm 2015 - 2016

Đang tìm đối thủ...

Đang tải...

Xác thực tài khoản!

Theo Nghị định 147/2024/ND-CP, bạn cần xác thực tài khoản trước khi sử dụng tính năng này. Chúng tôi sẽ gửi mã xác thực qua SMS hoặc Zalo tới số điện thoại mà bạn nhập dưới đây:

Số điện thoại chưa đúng định dạng!
Số điện thoại này đã được xác thực!
Bạn có thể dùng Sđt này đăng nhập tại đây!
Lỗi gửi SMS, liên hệ Admin
Sắp xếp theo