Bài 1: Cóc vàng tài ba
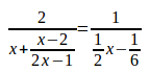
Câu 1.1:Nghiệm của phương trình:
là x = .............
Violympic Toán lớp 8 vòng 17 năm 2017 sắp diễn ra. Hãy cùng VnDoc ôn tập và chuẩn bị cho vòng thi 17 của Cuộc thi giải Toán qua mạng năm 2016 - 2017 với bài test Luyện thi Violympic Toán lớp 8 vòng 17 năm 2015 - 2016. Tham gia làm bài để làm quen với dạng đề và các dạng câu hỏi trong vòng thi cấp tỉnh/thành phố này nhé!
Tham khảo thêm các đề thi Violympic Toán lớp 8 khác:
Điểm khả dụng: 0 điểm
Bạn sẽ dùng 50 điểm để đổi lấy 1 lượt làm bài.
Bạn không đủ điểm để đổi.
Bài 1: Cóc vàng tài ba
Câu 1.1:Câu 1.2:
Biểu thức A = -(3 - 2x)2 - (4x + 1)2 + 6 đạt giá trị lớn nhất tại x = ...........Câu 1.3:
Giá trị m thỏa mãn đa thức P(x) = 6x4 - 10x3 + mx2 + 5x - 4 chia hết cho đa thức Q(x) = 2x - 1 là m = ...........Câu 1.4:
Giá trị của biểu thức:Câu 1.5:
Cho phương trình (m + 3)2x2 - (2m2 + m - 15)x + m2 - 5m = 24 (1)Câu 1.6:
Hình chữ nhật ABCD có AH vuông góc với BD. Biết BH = 9,75cm; DH = 56,16cm. Vậy diện tích hình chứ nhật ABCD là ..............Câu 1.7:
Tổng các nghiệm của phương trình:Câu 1.8:
Biết a < b < 0 và a, b thỏa mãn: a(a + 2) + b(b - 2) - 2ab = 63.Câu 1.9:
Điều kiện của hệ số a để phương trình ẩn x:Câu 1.10:
Cho tam giác ABC cân tại A, trung tuyến BM, CN cắt nhau tại O. Lấy D là điểm đối ứng với O qua BC. Gọi P là giao điểm của OD và BC. Tứ giác BOCD là hình vuông nếu ...........



Đang tải...
Theo Nghị định 147/2024/ND-CP, bạn cần xác thực tài khoản trước khi sử dụng tính năng này. Chúng tôi sẽ gửi mã xác thực qua SMS hoặc Zalo tới số điện thoại mà bạn nhập dưới đây: