Số dư của phép chia x2 - 4x + 5 = 0 cho x - 2 là r = .........1
Số dư của phép chia x2 - 4x + 5 = 0 cho x - 2 là r = .........1
Violympic Toán lớp 8 - Mời các bạn học sinh lớp 8 tham khảo bài test Đề thi Violympic Toán lớp 8 vòng 16 năm 2015 - 2016 trên trang VnDoc.com. Tham gia làm bài để kiểm tra và đánh giá trình độ kiến thức hiện tại của mình và đưa ra phương pháp ôn tập đúng đắn cho vòng thi tiếp theo nhé! Chúc các bạn làm bài tốt!
Luyện thi Violympic Toán lớp 8 vòng 17 năm 2015 - 2016
Đề thi Violympic Toán lớp 8 vòng 17 năm 2015 - 2016
Đề thi Violympic Toán lớp 8 vòng 18 năm 2015 - 2016
Đề thi giữa học kỳ 2 môn Hóa học lớp 8 huyện Việt Yên năm 2015
Điểm khả dụng: 0 điểm
Bạn sẽ dùng 50 điểm để đổi lấy 1 lượt làm bài.
Bạn không đủ điểm để đổi.
Bài 2: Đỉnh núi trí tuệ
Câu 2.1:Câu 2.2:
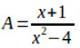
Điều kiện của x để phân thức:
xác định là ........
Câu 2.3:
Tứ giác có hai đường chéo bằng nhau và cắt nhau tại trung điểm mỗi đường là:Câu 2.4:
Cho hình thang cân ABCD có hai đáy AD và BC. Khẳng định nào dưới đây là sai?Câu 2.5:
Giá trị nhỏ nhất của biểu thức: N = x2 + x + 1 là ......Câu 2.6:
Số giá trị nguyên dương của x để biểu thức
dương là:
Câu 2.7:
Số các giá trị nguyên của x để biểu thứcCâu 2.8:
Giá trị của x để phân thức:
bằng 0 là:
Câu 2.9:
Xác định các số a, b sao cho:
Câu 2.10:
Biết x2 - 2y2 = xy và y ≠ 0, x + y ≠ 0.Đang tải...
Theo Nghị định 147/2024/ND-CP, bạn cần xác thực tài khoản trước khi sử dụng tính năng này. Chúng tôi sẽ gửi mã xác thực qua SMS hoặc Zalo tới số điện thoại mà bạn nhập dưới đây: