Giao diện mới của VnDoc Pro: Dễ sử dụng hơn - chỉ tập trung vào lớp bạn quan tâm. Vui lòng chọn lớp mà bạn quan tâm: Lưu và trải nghiệm
Đóng
Điểm danh hàng ngày
  • Hôm nay +3
  • Ngày 2 +3
  • Ngày 3 +3
  • Ngày 4 +3
  • Ngày 5 +3
  • Ngày 6 +3
  • Ngày 7 +5
Bạn đã điểm danh Hôm nay và nhận 3 điểm!
Nhắn tin Zalo VNDOC để nhận tư vấn mua gói Thành viên hoặc tải tài liệu Hotline hỗ trợ: 0936 120 169

Đề thi Violympic Toán Tiếng Anh lớp 8 vòng 10 năm 2014 - 2015

Đóng
Bạn đã dùng hết 1 lần làm bài Trắc nghiệm miễn phí. Mời bạn mua tài khoản VnDoc PRO để tiếp tục! Tìm hiểu thêm
Mô tả thêm:

Đề thi giải Toán tiếng Anh qua mạng lớp 8 cấp quốc gia

Vòng 10 (vòng thi cấp quốc gia) của Cuộc thi giải Toán Tiếng Anh qua mạng năm 2015 - 2016 bắt đầu mở từ ngày 08/04/2016. Để ôn tập và chuẩn bị cho vòng thi này mời các bạn tham khảo bài test Đề thi Violympic Toán Tiếng Anh lớp 8 vòng 10 năm 2014 - 2015 trên trang VnDoc.com. Tham gia làm bài test để mở rộng vốn từ vựng tiếng anh về toán học đồng thời nâng cao kỹ năng giải toán nhé! 

  • Số câu hỏi: 30 câu
  • Số điểm tối đa: 30 điểm
Bắt đầu làm bài
Bạn còn 1 lượt làm bài tập miễn phí. Hãy mua tài khoản VnDoc PRO để học không giới hạn nhé! Bạn đã HẾT lượt làm bài tập miễn phí! Hãy mua tài khoản VnDoc PRO để làm Trắc nghiệm không giới hạn và tải tài liệu nhanh nhé!
Mua ngay Đổi điểm
Trước khi làm bài bạn hãy
  • 1 Ôn tập kiến thức đã nêu trong phần Mô tả thêm
  • 2 Tìm không gian và thiết bị phù hợp để tập trung làm bài
  • 3 Chuẩn bị sẵn dụng cụ cần dùng khi làm bài như bút, nháp, máy tính
  • 4 Căn chỉnh thời gian làm từng câu một cách hợp lý
  • Câu 1: Nhận biết
    Exam number 1: Fill in the blank with the suitable number Question 1:
    When the polynomial f(x) = 3x3 + 2x2 + 5x + 1 is divided by g(x) = x + 1, the remainder is ............-5
    Đáp án là:
    Exam number 1: Fill in the blank with the suitable number Question 1:
    When the polynomial f(x) = 3x3 + 2x2 + 5x + 1 is divided by g(x) = x + 1, the remainder is ............-5
  • Câu 2: Nhận biết
    Question 2: If Đề thi violympic toán tiếng anh lớp 8 vòng 10 then x = .............-4
    Đáp án là:
    Question 2: If Đề thi violympic toán tiếng anh lớp 8 vòng 10 then x = .............-4
  • Câu 3: Nhận biết
    Question 3:

    Given that 75k is perfect cube, the least positive integer k is ...........

    45
    Đáp án là:
    Question 3:

    Given that 75k is perfect cube, the least positive integer k is ...........

    45
  • Câu 4: Nhận biết
    Question 4:

    If n is a natural number such that n2 - 5 is a square number, then n = .......

    3
    Đáp án là:
    Question 4:

    If n is a natural number such that n2 - 5 is a square number, then n = .......

    3
  • Câu 5: Nhận biết
    Question 5: On the number line, point A has coordinate -4 and point B has coordinate 6. If point C is the midpoint of AB, then its coordinate is .............1
    Đáp án là:
    Question 5: On the number line, point A has coordinate -4 and point B has coordinate 6. If point C is the midpoint of AB, then its coordinate is .............1
  • Câu 6: Nhận biết
    Question 6: The root of the equation Ιx2 - 1Ι = x - 1 is x = .........1
    Đáp án là:
    Question 6: The root of the equation Ιx2 - 1Ι = x - 1 is x = .........1
  • Câu 7: Nhận biết
    Question 7: If the sum of al interior angles in a convex polygon is 1080 degrees, then this polygon has ........... diagonals.20
    Đáp án là:
    Question 7: If the sum of al interior angles in a convex polygon is 1080 degrees, then this polygon has ........... diagonals.20
  • Câu 8: Nhận biết
    Question 8: A triangle ABC has  = 120o and the bisector AD (D  BC). If AB = 40cm, AD = 30cm, then AC = ..... cm.120
    Đáp án là:
    Question 8: A triangle ABC has  = 120o and the bisector AD (D  BC). If AB = 40cm, AD = 30cm, then AC = ..... cm.120
  • Câu 9: Nhận biết
    Question 9:

    Given two numbers x, y such that (4y2 - 12y + 25)(4x2 + 6x + 4) = 28
    The ratio of y to x is ..........

    -2
    Đáp án là:
    Question 9:

    Given two numbers x, y such that (4y2 - 12y + 25)(4x2 + 6x + 4) = 28
    The ratio of y to x is ..........

    -2
  • Câu 10: Nhận biết
    Question 10: Mr.Joseph drives car from A to B at a constant speed. If the speed of the car is increased by 20%, it takes him one hour less than the usual time. If he drives at the constant speed for the first 100km before increasing the speed by 30%, it also takes him one hour less than the usual. The distance of AB is ..........km.360
    Đáp án là:
    Question 10: Mr.Joseph drives car from A to B at a constant speed. If the speed of the car is increased by 20%, it takes him one hour less than the usual time. If he drives at the constant speed for the first 100km before increasing the speed by 30%, it also takes him one hour less than the usual. The distance of AB is ..........km.360
  • Câu 11: Nhận biết

    Exam number 2: Choose the best answer.

    Question 1:
    The perimeters of two similar triangles ABC, DEF are 36cm and 24cm respectively. If DE = 10cm, then AB = ...... cm.
  • Câu 12: Nhận biết

    Question 2:

    Find the value of the constant m such that the polynomial f(x) = x3 - x + m is divisible by x + 2.
  • Câu 13: Nhận biết

    Question 3:

    If x = 3; y = -1 then x5 + 5x4y + 10x3y2 + 10x2y3 + 5xy4 + y5 = .................
  • Câu 14: Nhận biết

    Question 4:

    Which of the following statements is NOT true?
    Đề thi violympic toán tiếng anh lớp 8 vòng 10

  • Câu 15: Nhận biết

    Question 5:

    As shown in the figure, the length of BE is .............
    Đề thi violympic toán tiếng anh lớp 8 vòng 10
  • Câu 16: Nhận biết

    Question 6:

    On a car trip Sam drove m miles, Kara drove twice as many miles as Sam did and Darin drove 20 miles less than Kara did. In terms of m, how many miles did Darin drive?

  • Câu 17: Nhận biết

    Question 7:

    Given that two numbers x and y satisfy 2 < x < 3 and 7 < y < 8. Which of the following expressions has the greatest value?
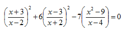
  • Câu 18: Nhận biết

    Question 8:

    The solution set of the equation Đề thi violympic toán tiếng anh lớp 8 vòng 10 is S = {........}
  • Câu 19: Nhận biết

    Question 9:

    Let f(x) the polynomial given by f(x) = (1 + 2x + 3x2 + 4x3 + 5x4 + 84x5)
    Suppose that f(x) = ao + a1x + a2x+ ..... + ..... + a50x50.
    The value of T = a+ a+ .... + a50 is .........

  • Câu 20: Nhận biết

    Question 10:

    The maximum value of Đề thi violympic toán tiếng anh lớp 8 vòng 10 is ...........
  • Câu 21: Nhận biết
    Exam number 3: Question 1:
    One rectangle with the sides x and 3x. One isosceles right triangle with the length of leg x. What is the ratio of the area of the reactangle to that of the triangle?6
    Đáp án là:
    Exam number 3: Question 1:
    One rectangle with the sides x and 3x. One isosceles right triangle with the length of leg x. What is the ratio of the area of the reactangle to that of the triangle?6
  • Câu 22: Nhận biết
    Question 2:

    Given the function f(x) = 1/4 .m(m + 2)x2 + 3/2. mx + 3 with f(2) = -3.
    The greatest possible value of m is .........

    -2
    Đáp án là:
    Question 2:

    Given the function f(x) = 1/4 .m(m + 2)x2 + 3/2. mx + 3 with f(2) = -3.
    The greatest possible value of m is .........

    -2
  • Câu 23: Nhận biết
    Question 3: If a + 2b = 6 and ab = 4 then 4/a + 2/b = ......3
    Đáp án là:
    Question 3: If a + 2b = 6 and ab = 4 then 4/a + 2/b = ......3
  • Câu 24: Nhận biết
    Question 4: Let S(x; y) = x2 - y2 with real numbers x and y, then S(3; S(3; 4)) = ...........-40
    Đáp án là:
    Question 4: Let S(x; y) = x2 - y2 with real numbers x and y, then S(3; S(3; 4)) = ...........-40
  • Câu 25: Nhận biết
    Quesstion 5: Given a rectangular land such that its length is twice as its width. If the width is decreased by 5m and the length is increased by 12m then the area is increased by 10 square meters. The width of this land is ........ m.35
    Đáp án là:
    Quesstion 5: Given a rectangular land such that its length is twice as its width. If the width is decreased by 5m and the length is increased by 12m then the area is increased by 10 square meters. The width of this land is ........ m.35
  • Câu 26: Nhận biết
    Question 6:

    In the xy - plane, given three points A(-1; 2); B(-1; 8); C(5; 8). If ABCD is a square then the coordinate of D is (.....).  Write your answer with the semicolon between x- coordinate and y- coordinate.

    (5; 2)
    Đáp án là:
    Question 6:

    In the xy - plane, given three points A(-1; 2); B(-1; 8); C(5; 8). If ABCD is a square then the coordinate of D is (.....).  Write your answer with the semicolon between x- coordinate and y- coordinate.

    (5; 2)
  • Câu 27: Nhận biết
    Question 7: The route AB is 60km long. At 7a.m, one motorbike travels from A to B with a constant speed. When this motorbike reaches B, it returns to A immediately with the speed increased by 10km/h and reaches A at 10.30 a.m. The original speed of this motorbike is ........ km/h.30
    Đáp án là:
    Question 7: The route AB is 60km long. At 7a.m, one motorbike travels from A to B with a constant speed. When this motorbike reaches B, it returns to A immediately with the speed increased by 10km/h and reaches A at 10.30 a.m. The original speed of this motorbike is ........ km/h.30
  • Câu 28: Nhận biết
    Question 8: Find the value of n such that A = n3 - 2n2 + 2n - 4 is a prime number. The value of n is ..........3
    Đáp án là:
    Question 8: Find the value of n such that A = n3 - 2n2 + 2n - 4 is a prime number. The value of n is ..........3
  • Câu 29: Nhận biết
    Question 9:

    Find the area of the trapezoid ABCD, BC // AD, AB = CD = 5cm, BC = 10cm, AD = 16cm.
    The area of the trapezoid ABCD is .........cm2.

    52
    Đáp án là:
    Question 9:

    Find the area of the trapezoid ABCD, BC // AD, AB = CD = 5cm, BC = 10cm, AD = 16cm.
    The area of the trapezoid ABCD is .........cm2.

    52
  • Câu 30: Nhận biết
    Question 10: Find the least possible value of A = 4x2 - 3x + 1/4x + 2015, where x varies in the set of positive real numbers. The least possible value of A is ..........2015
    Đáp án là:
    Question 10: Find the least possible value of A = 4x2 - 3x + 1/4x + 2015, where x varies in the set of positive real numbers. The least possible value of A is ..........2015

Chúc mừng Bạn đã hoàn thành bài!

Đề thi Violympic Toán Tiếng Anh lớp 8 vòng 10 năm 2014 - 2015 Kết quả
  • Thời gian làm bài: 00:00:00
  • Số câu đã làm: 0
  • Điểm tạm tính: 0
  • Điểm thưởng: 0

Đấu trường Đề thi Violympic Toán Tiếng Anh lớp 8 vòng 10 năm 2014 - 2015

Đang tìm đối thủ...

Đang tải...

Xác thực tài khoản!

Theo Nghị định 147/2024/ND-CP, bạn cần xác thực tài khoản trước khi sử dụng tính năng này. Chúng tôi sẽ gửi mã xác thực qua SMS hoặc Zalo tới số điện thoại mà bạn nhập dưới đây:

Số điện thoại chưa đúng định dạng!
Số điện thoại này đã được xác thực!
Bạn có thể dùng Sđt này đăng nhập tại đây!
Lỗi gửi SMS, liên hệ Admin
Sắp xếp theo