Giao diện mới của VnDoc Pro: Dễ sử dụng hơn - chỉ tập trung vào lớp bạn quan tâm. Vui lòng chọn lớp mà bạn quan tâm: Lưu và trải nghiệm
Đóng
Điểm danh hàng ngày
  • Hôm nay +3
  • Ngày 2 +3
  • Ngày 3 +3
  • Ngày 4 +3
  • Ngày 5 +3
  • Ngày 6 +3
  • Ngày 7 +5
Bạn đã điểm danh Hôm nay và nhận 3 điểm!
Nhắn tin Zalo VNDOC để nhận tư vấn mua gói Thành viên hoặc tải tài liệu Hotline hỗ trợ: 0936 120 169

Đề thi Violympic Toán lớp 8 vòng 15 năm 2015 - 2016

Đóng
Bạn đã dùng hết 1 lần làm bài Trắc nghiệm miễn phí. Mời bạn mua tài khoản VnDoc PRO để tiếp tục! Tìm hiểu thêm
Mô tả thêm:

Đề thi giải Violympic Toán trên mạng lớp 8 có đáp án

Violympic Toán lớp 8 - Mời các bạn học sinh lớp 8 tham gia làm bài test Đề thi Violympic Toán lớp 8 vòng 15 năm 2015 - 2016 trên trang VnDoc.com để thử sức với vòng thi 15 của Cuộc thi giải Toán qua mạng năm 2015 - 2016. Tham gia làm bài để đánh giá kiến thức của mình, đồng thời làm quen với các dạng toán và chuẩn bị cho vòng thi tiếp theo nhé! 

Đề thi Violympic Toán lớp 8 vòng 17 năm 2015 - 2016

Đề thi Violympic Toán lớp 8 vòng 18 năm 2015 - 2016

Đề thi giữa học kỳ 2 môn Hóa học lớp 8 huyện Việt Yên năm 2015

Đề thi học kì 2 lớp 8

  • Thời gian làm: 60 phút
  • Số câu hỏi: 25 câu
  • Số điểm tối đa: 25 điểm
Bắt đầu làm bài
Bạn còn 1 lượt làm bài tập miễn phí. Hãy mua tài khoản VnDoc PRO để học không giới hạn nhé! Bạn đã HẾT lượt làm bài tập miễn phí! Hãy mua tài khoản VnDoc PRO để làm Trắc nghiệm không giới hạn và tải tài liệu nhanh nhé!
Mua ngay Đổi điểm
Trước khi làm bài bạn hãy
  • 1 Ôn tập kiến thức đã nêu trong phần Mô tả thêm
  • 2 Tìm không gian và thiết bị phù hợp để tập trung làm bài
  • 3 Chuẩn bị sẵn dụng cụ cần dùng khi làm bài như bút, nháp, máy tính
  • 4 Căn chỉnh thời gian làm từng câu một cách hợp lý
  • Câu 1: Nhận biết

    Bài 1: Đỉnh núi trí tuệ

    Câu 1.1:
    Cho tam giác ABC với M, N lần lượt là trung điểm của AB, AC và MN = 5cm. Vậy độ dài BC là ............
  • Câu 2: Nhận biết

    Câu 1.2:

    Kết quả rút gọn của phân thức  với x khác 0; 2 là:
  • Câu 3: Nhận biết

    Câu 1.3:

    Chọn khẳng định không đúng trong các khẳng định dưới đây:
  • Câu 4: Nhận biết

    Câu 1.4:

    Kết quả của phép tính: 27x4y: 9x3y là:
  • Câu 5: Nhận biết

    Câu 1.5:

    Rút gọn biểu thức:

    ta được kết quả là:
  • Câu 6: Nhận biết

    Câu 1.6:

    Cho x + 1/x = a. Khi đó giá trị của biểu thức A = x+ 1/xtheo a là:
  • Câu 7: Nhận biết

    Câu 1.7:

    Với n là số tự nhiên khác 0, kí hiệu n! là tích của n số tự nhiên liên tiếp từ 1 đến n. Với mọi n ≥ 2 thì giá trị của
    biểu thức sau bằng giá trị của biểu thức nào dưới đây!
     
  • Câu 8: Nhận biết

    Câu 1.8:

    Rút gọn biểu thức:  ta được:
  • Câu 9: Nhận biết

    Câu 1.9:

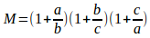
    Cho abc = 2. Rút gọn biểu thức:

    ta được kết quả M = ...........
  • Câu 10: Nhận biết

    Câu 1.10:

    Cho x + 1/x = a. Giá trị của biểu thức x+ 1/xtheo a là:
  • Câu 11: Nhận biết
    Bài 2: Vượt chướng ngại vật Câu 2.1:
    Xác định a biết: 2x2 + ax + 1 chia cho x - 3 dư 4.
    Trả lời: a = ...........-5
    Đáp án là:
    Bài 2: Vượt chướng ngại vật Câu 2.1:
    Xác định a biết: 2x2 + ax + 1 chia cho x - 3 dư 4.
    Trả lời: a = ...........-5
  • Câu 12: Nhận biết
    Câu 2.2: Giá trị của biểu thức: A = x- 2x + 5 tại x = 7 là A = ..........40
    Đáp án là:
    Câu 2.2: Giá trị của biểu thức: A = x- 2x + 5 tại x = 7 là A = ..........40
  • Câu 13: Nhận biết
    Câu 2.3: Giá trị nguyên của x thỏa mãn 3x(x + 5) - 2x - 10 = 0 là x = ..........-5
    Đáp án là:
    Câu 2.3: Giá trị nguyên của x thỏa mãn 3x(x + 5) - 2x - 10 = 0 là x = ..........-5
  • Câu 14: Nhận biết
    Câu 2.4: Cho biểu thức A = x+ 2xy + y- 4x - 4y + 1
    Với mọi số x, y thỏa mãn: x + y = 3 thì giá trị của biểu thức A là A = .............-2
    Đáp án là:
    Câu 2.4: Cho biểu thức A = x+ 2xy + y- 4x - 4y + 1
    Với mọi số x, y thỏa mãn: x + y = 3 thì giá trị của biểu thức A là A = .............-2
  • Câu 15: Nhận biết
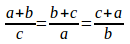
    Câu 2.5: Cho các số a; b; c thỏa mãn a + b + c ≠ 0 và  
    Khi đó giá trị của biểu thức:  là: M = ...........8
    Đáp án là:
    Câu 2.5: Cho các số a; b; c thỏa mãn a + b + c ≠ 0 và  
    Khi đó giá trị của biểu thức:  là: M = ...........8
  • Câu 16: Nhận biết
    Bài 3: Hãy điền số thích hợp vào chỗ chấm Câu 3.1:
    Nếu x= 10 thì (2x)= ............40
    Đáp án là:
    Bài 3: Hãy điền số thích hợp vào chỗ chấm Câu 3.1:
    Nếu x= 10 thì (2x)= ............40
  • Câu 17: Nhận biết
    Câu 3.2: Kết quả của phép cộng hai phân thức:  với x khác 1 là: .............1
    Đáp án là:
    Câu 3.2: Kết quả của phép cộng hai phân thức:  với x khác 1 là: .............1
  • Câu 18: Nhận biết
    Câu 3.3: Số giá trị của x để   bằng 0 là .............1
    Đáp án là:
    Câu 3.3: Số giá trị của x để   bằng 0 là .............1
  • Câu 19: Nhận biết
    Câu 3.4: Tổng 4 góc trong của một tứ giác lồi bằng ...........o.360
    Đáp án là:
    Câu 3.4: Tổng 4 góc trong của một tứ giác lồi bằng ...........o.360
  • Câu 20: Nhận biết
    Câu 3.5: Nếu x + y + 5 và xy = 6 thì x+ y= ...........13
    Đáp án là:
    Câu 3.5: Nếu x + y + 5 và xy = 6 thì x+ y= ...........13
  • Câu 21: Nhận biết
    Câu 3.6: So sánh A = 20152016và B = 20152015 . 20152017 ta được A ......... B>
    Đáp án là:
    Câu 3.6: So sánh A = 20152016và B = 20152015 . 20152017 ta được A ......... B>
  • Câu 22: Nhận biết
    Câu 3.7: Số giá trị của x thỏa mãn: 4x- 4x + 1 = 0 là: ............1
    Đáp án là:
    Câu 3.7: Số giá trị của x thỏa mãn: 4x- 4x + 1 = 0 là: ............1
  • Câu 23: Nhận biết
    Câu 3.8: Biết 9x+ 4y= 20xy và 2y < 3x < 0. Khi đó giá trị của A =  là A = ...........-0,5
    Nhập kết quả dưới dạng số thập phân gọn nhất.
    Đáp án là:
    Câu 3.8: Biết 9x+ 4y= 20xy và 2y < 3x < 0. Khi đó giá trị của A =  là A = ...........-0,5
  • Câu 24: Nhận biết
    Câu 3.9: Cho x + y + z = 0 và x2 + y2 + z2 = 1.
    Khi đó giá trị của M = 2(x4 + y4 + z4) là M = ............1
    Đáp án là:
    Câu 3.9: Cho x + y + z = 0 và x2 + y2 + z2 = 1.
    Khi đó giá trị của M = 2(x4 + y4 + z4) là M = ............1
  • Câu 25: Nhận biết
    Câu 3.10: Biểu thức N = 4x - xđạt giá trị lớn nhất tại x = ..........2
    Đáp án là:
    Câu 3.10: Biểu thức N = 4x - xđạt giá trị lớn nhất tại x = ..........2

Chúc mừng Bạn đã hoàn thành bài!

Đề thi Violympic Toán lớp 8 vòng 15 năm 2015 - 2016 Kết quả
  • Thời gian làm bài: 00:00:00
  • Số câu đã làm: 0
  • Điểm tạm tính: 0
  • Điểm thưởng: 0

Đấu trường Đề thi Violympic Toán lớp 8 vòng 15 năm 2015 - 2016

Đang tìm đối thủ...

Đang tải...

Xác thực tài khoản!

Theo Nghị định 147/2024/ND-CP, bạn cần xác thực tài khoản trước khi sử dụng tính năng này. Chúng tôi sẽ gửi mã xác thực qua SMS hoặc Zalo tới số điện thoại mà bạn nhập dưới đây:

Số điện thoại chưa đúng định dạng!
Số điện thoại này đã được xác thực!
Bạn có thể dùng Sđt này đăng nhập tại đây!
Lỗi gửi SMS, liên hệ Admin
Sắp xếp theo