
Câu 1:
11
Câu 2
3/5
Câu 3
8
Câu 4:
15
Câu 5: Giá trị của biểu thức (3x + y)(y - 3x) + 9x2 khi x = -2016 và y = 10100
Câu 6: Số dư khi chia đa thức 3x3 - x2
+ x - 1 cho 2 - x21Câu 7: Giá trị của 3(x2 - y2) biết x + y = 1 và x - y = 327
Câu 8: Giá trị của a + b biết (x + a)(x + 8) = x2 + bx + 24 với mọi x14
Câu 9: Giá trị lớn nhất của đa thức -2x2 + 4xy - 6y2 - 4y + 56
Câu 3: Cho hình vuông ABCD gọi M là trung điểm của cạnh AD. Nếu diện tích tam giác MDC là 100cm2 thì diện tích của hình vuông ABCD là:...400
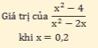
Câu 4: Thực hiện phép tính
ta được kết quả:...1
Câu 5: ABCD là một hình vuông. Gọi trung điểm AB, CD lần lượt là M và N. Nếu chu vi của hình chữ nhật AMND là 36cm. Khi đó diện tích của hình vuông ABCD là:...144
Câu 6: Cho ABCD là hình vuông có AB = x + 16 (cm) và BC = 3x (cm). Khi đó chu vi của hình vuông đó là:... cm96
Câu 7: Cho xy = x + y. Giá trị của biểu thức A = (x3 + y3 - x3y3)2 + 27x6y6 là:...112896
Câu 8: Cho tam giác PQT cân tại P, lấy điểm R và S trên cạnh QT sao cho QR = ST (R nằm giữa Q và S). Biết ∠T = 62o, ∠RPS = 34o. Số đo của góc QPR là:...11
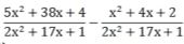
Câu 10: Thực hiện phép tính
ta thu được kết quả là:...2
Bài 3: Đừng để điểm rơi
Câu 1: Trên đoạn thẳng AB lấy điểm M, trên cùng nửa mặt phẳng bờ AB dựng ΔAMC đều và ΔMDB cân tại D. Biết ∠B = 40o khi đó số đo của góc CMD là:...
80Câu 2: Giá trị của biểu thức A = 232 + 46.57 + 572 là:...6400
Câu 3: Một hình chữ nhật có diện tích là 192cm2 và một cạnh là 24cm. Khi đó chu vi của hình chữ nhật đó là:...64
Câu 4: Nếu y = 2x + 3 và 4y = 5x + 6 thì giá trị của x là:...-2
Câu 5:
11
Câu 6: Nếu 2x2 = 9x - 4 và x ≠ 4 thì giá trị của 2x là:...1
Câu 7: Nếu 2x = 2.1612 + 2.816 thì giá trị của x là:...50
Câu 8: Nếu m, n, p là các số nguyên dương thỏa mãn
. Giá trị của n là:...1
Câu 9: Cho tam giác ABC cân tại C có AC = CB = 7cm. Lấy điểm D trên cạnh AB sao cho AD = 8cm, CD = 3cm và ∠CDA = 60o. Độ dài BD là:...5
Câu 10: Cho hai số nguyên dương a và b thỏa mãn ab = 2010. Nếu a > b thì giá trị nhỏ nhất của a - b là:...37
Câu 1: Biết số nguyên x thỏa mãn 3x + 1 là số chẵn. Khi đó trong các số sau số nào là số lẻ?
Cho ABCD là một hình chữ nhật. Trên cạnh AB lấy điểm E sao cho tam giác DEC có góc DEC = 90o, DE = 3 và EC =4. Khi đó độ dài của DA là
Cho tam giác ABC cân tại A có AB = 39cm. Trong tam giác ABC dựng tam giác MBC đều có cạnh là 30cm. Khi đó diện tích tam giác AMB (lam tròn đến hàng đơn vị) là:...