Giao diện mới của VnDoc Pro: Dễ sử dụng hơn - chỉ tập trung vào lớp bạn quan tâm. Vui lòng chọn lớp mà bạn quan tâm: Lưu và trải nghiệm
Đóng
Điểm danh hàng ngày
  • Hôm nay +3
  • Ngày 2 +3
  • Ngày 3 +3
  • Ngày 4 +3
  • Ngày 5 +3
  • Ngày 6 +3
  • Ngày 7 +5
Bạn đã điểm danh Hôm nay và nhận 3 điểm!
Nhắn tin Zalo VNDOC để nhận tư vấn mua gói Thành viên hoặc tải tài liệu Hotline hỗ trợ: 0936 120 169

Đề thi Violympic Toán lớp 9 vòng 7 năm 2015 - 2016

Đóng
Bạn đã dùng hết 1 lần làm bài Trắc nghiệm miễn phí. Mời bạn mua tài khoản VnDoc PRO để tiếp tục! Tìm hiểu thêm
Mô tả thêm:

Đề thi giải Violympic Toán qua mạng lớp 9 vòng 7 có đáp án 

Vòng 7 của Cuộc thi giải Toán trên mạng Violympic năm 2015 - 2016 bắt đầu mở từ ngày 16/11/2015. Mời quý thầy cô và các bạn học sinh lớp 9 tham khảo bài test Đề thi Violympic Toán lớp 9 vòng 7 năm 2015 - 2016 trên trang VnDoc.com để tìm hiểu về cấu trúc đề thi và rèn luyện ôn tập cho các vòng thi tiếp theo. Chúc các bạn đạt kết quả cao trong cuộc thi!

Làm thêm: Đề thi Violympic Toán lớp 9 vòng 8 năm 2015 - 2016

  • Thời gian làm: 60 phút
  • Số câu hỏi: 25 câu
  • Số điểm tối đa: 25 điểm
Bắt đầu làm bài
Bạn còn 1 lượt làm bài tập miễn phí. Hãy mua tài khoản VnDoc PRO để học không giới hạn nhé! Bạn đã HẾT lượt làm bài tập miễn phí! Hãy mua tài khoản VnDoc PRO để làm Trắc nghiệm không giới hạn và tải tài liệu nhanh nhé!
Mua ngay Đổi điểm
Trước khi làm bài bạn hãy
  • 1 Ôn tập kiến thức đã nêu trong phần Mô tả thêm
  • 2 Tìm không gian và thiết bị phù hợp để tập trung làm bài
  • 3 Chuẩn bị sẵn dụng cụ cần dùng khi làm bài như bút, nháp, máy tính
  • 4 Căn chỉnh thời gian làm từng câu một cách hợp lý
  • Câu 1: Nhận biết

    Bài 1: Cóc vàng tài ba

    Câu 1.1:
    Căn bậc hai của 16 bằng: ................
  • Câu 2: Nhận biết

    Câu 1.2:

    Biểu thức  bằng:
  • Câu 3: Nhận biết

    Câu 1.3:

    Biểu thức  bằng:
  • Câu 4: Nhận biết

    Câu 1.4:

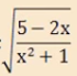
    Biểu thức  xác định khi:
  • Câu 5: Nhận biết

    Câu 1.5:

    Tam giác ABC vuông tại A có AB/AC = 3/4. Đường cao AH = 15cm. 
    Khi đó độ dài CH = ............. cm.
  • Câu 6: Nhận biết

    Câu 1.6:

    xác định khi và chỉ khi:
  • Câu 7: Nhận biết

    Câu 1.7:

    Cho α = 35o và β = 55o
    Chọn đáp án đúng trong các đáp án sau đây.
  • Câu 8: Nhận biết

    Câu 1.8:

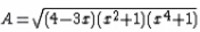
    Biểu thức  xác định khi:
  • Câu 9: Nhận biết

    Câu 1.9:

    Trong mặt phẳng tọa độ Oxy, tập hợp các điểm có tung độ và hoành độ đối nhau là đồ thị hàm số:
  • Câu 10: Nhận biết

    Câu 1.10:

    Cho hàm số:  
    Tập xác định của hàm số trên là:
  • Câu 11: Nhận biết
    Bài 2: Hãy điền vào chỗ (...) cho thích hợp Câu 2.1: 
    Cho hàm số: y = (√3 - 1)x - 4
    Khi x = √3 + 1 thì giá trị của y là: ............-2
    Đáp án là:
    Bài 2: Hãy điền vào chỗ (...) cho thích hợp Câu 2.1: 
    Cho hàm số: y = (√3 - 1)x - 4
    Khi x = √3 + 1 thì giá trị của y là: ............-2
  • Câu 12: Nhận biết
    Câu 2.2: Cho hàm số: y = f(x) = 9x + 2(1 - x) 
    Khi đó f(-2) = ................-12
    Đáp án là:
    Câu 2.2: Cho hàm số: y = f(x) = 9x + 2(1 - x) 
    Khi đó f(-2) = ................-12
  • Câu 13: Nhận biết
    Câu 2.3: Rút gọn biểu thức:  ta được: ..............3
    Đáp án là:
    Câu 2.3: Rút gọn biểu thức:  ta được: ..............3
  • Câu 14: Nhận biết
    Câu 2.4: Giá trị của biểu thức:  tại x = 0 là: .............2
    Đáp án là:
    Câu 2.4: Giá trị của biểu thức:  tại x = 0 là: .............2
  • Câu 15: Nhận biết
    Câu 2.5: Giá trị nhỏ nhất của biểu thức: A = x + √x + 2 là: ...............2
    Đáp án là:
    Câu 2.5: Giá trị nhỏ nhất của biểu thức: A = x + √x + 2 là: ...............2
  • Câu 16: Nhận biết
    Câu 2.6: Gọi α là góc tạo bởi đường thẳng y = 2x - 3 và trục Ox.
    Khi đó tanα = ...................2
    Đáp án là:
    Câu 2.6: Gọi α là góc tạo bởi đường thẳng y = 2x - 3 và trục Ox.
    Khi đó tanα = ...................2
  • Câu 17: Nhận biết
    Câu 2.7: Cho hàm số y = (1 - 3m)x + m + 3. Đồ thị hàm số cắt trục tung tại điểm có tung độ bằng 7 khi m = ..............4
    Đáp án là:
    Câu 2.7: Cho hàm số y = (1 - 3m)x + m + 3. Đồ thị hàm số cắt trục tung tại điểm có tung độ bằng 7 khi m = ..............4
  • Câu 18: Nhận biết
    Câu 2.8: Cho tam giác ABC vuông tại A, đường cao AH. AB = 6cm, AC = 8cm.
    Khi đó CH = ................ cm.6,4
    Nhập kết quả dưới dạng số thập phân gọn nhất.
    Đáp án là:
    Câu 2.8: Cho tam giác ABC vuông tại A, đường cao AH. AB = 6cm, AC = 8cm.
    Khi đó CH = ................ cm.6,4
  • Câu 19: Nhận biết
    Câu 2.9: Đường thẳng đi qua hai điểm M(0; 1) và N(-1; 10) tạo với Ox một góc α. 
    Khi đó tanα = ...............9
    Đáp án là:
    Câu 2.9: Đường thẳng đi qua hai điểm M(0; 1) và N(-1; 10) tạo với Ox một góc α. 
    Khi đó tanα = ...............9
  • Câu 20: Nhận biết
    Câu 2.10: Giá trị lớn nhất của biểu thức:  là: ...............3
    Đáp án là:
    Câu 2.10: Giá trị lớn nhất của biểu thức:  là: ...............3
  • Câu 21: Nhận biết

    Bài 3: Đi tìm kho báu

    Câu 3.1:
    Giá trị của x để  là:
  • Câu 22: Nhận biết

    Câu 3.2:

    Phương trình √x = a vô nghiệm với:
  • Câu 23: Nhận biết

    Câu 3.3:

    Biểu thức   xác định khi và chỉ khi:
  • Câu 24: Nhận biết

    Câu 3.4:

    Giá trị của biểu thức  bằng:
  • Câu 25: Nhận biết

    Câu 3.5:

    Gọi α là góc tạo bởi đường thẳng y = x√3 + 11 và trục Ox.
    Khi đó α = ...............

Chúc mừng Bạn đã hoàn thành bài!

Đề thi Violympic Toán lớp 9 vòng 7 năm 2015 - 2016 Kết quả
  • Thời gian làm bài: 00:00:00
  • Số câu đã làm: 0
  • Điểm tạm tính: 0
  • Điểm thưởng: 0
Tải file làm trên giấy

Đấu trường Đề thi Violympic Toán lớp 9 vòng 7 năm 2015 - 2016

Đang tìm đối thủ...

Đang tải...

Xác thực tài khoản!

Theo Nghị định 147/2024/ND-CP, bạn cần xác thực tài khoản trước khi sử dụng tính năng này. Chúng tôi sẽ gửi mã xác thực qua SMS hoặc Zalo tới số điện thoại mà bạn nhập dưới đây:

Số điện thoại chưa đúng định dạng!
Số điện thoại này đã được xác thực!
Bạn có thể dùng Sđt này đăng nhập tại đây!
Lỗi gửi SMS, liên hệ Admin
Sắp xếp theo