Giao diện mới của VnDoc Pro: Dễ sử dụng hơn - chỉ tập trung vào lớp bạn quan tâm. Vui lòng chọn lớp mà bạn quan tâm: Lưu và trải nghiệm
Đóng
Điểm danh hàng ngày
  • Hôm nay +3
  • Ngày 2 +3
  • Ngày 3 +3
  • Ngày 4 +3
  • Ngày 5 +3
  • Ngày 6 +3
  • Ngày 7 +5
Bạn đã điểm danh Hôm nay và nhận 3 điểm!
Nhắn tin Zalo VNDOC để nhận tư vấn mua gói Thành viên hoặc tải tài liệu Hotline hỗ trợ: 0936 120 169

Đề thi Violympic Toán lớp 9 vòng 8 năm 2015 - 2016

Đóng
Bạn đã dùng hết 1 lần làm bài Trắc nghiệm miễn phí. Mời bạn mua tài khoản VnDoc PRO để tiếp tục! Tìm hiểu thêm
Mô tả thêm:

Đề thi giải Toán qua mạng lớp 9 có đáp án

Mời các bạn theo dõi vòng thi mới nhất của Cuộc thi giải Toán trên mạng Violympic với bài test Đề thi Violympic Toán lớp 9 vòng 8 năm 2015 - 2016. Tham gia làm bài test trực tuyến để thử sức mình và làm quen với dạng đề. Hi vọng bài test là một tài liệu bổ ích giúp các bạn đạt kết quả cao trong các vòng thi tiếp theo. Chúc các bạn thi tốt! 

  • Thời gian làm: 60 phút
  • Số câu hỏi: 23 câu
  • Số điểm tối đa: 23 điểm
Bắt đầu làm bài
Bạn còn 1 lượt làm bài tập miễn phí. Hãy mua tài khoản VnDoc PRO để học không giới hạn nhé! Bạn đã HẾT lượt làm bài tập miễn phí! Hãy mua tài khoản VnDoc PRO để làm Trắc nghiệm không giới hạn và tải tài liệu nhanh nhé!
Mua ngay Đổi điểm
Trước khi làm bài bạn hãy
  • 1 Ôn tập kiến thức đã nêu trong phần Mô tả thêm
  • 2 Tìm không gian và thiết bị phù hợp để tập trung làm bài
  • 3 Chuẩn bị sẵn dụng cụ cần dùng khi làm bài như bút, nháp, máy tính
  • 4 Căn chỉnh thời gian làm từng câu một cách hợp lý
  • Câu 1: Nhận biết
    Bài 1: Đi tìm kho báu Câu 1.1:
    Giá trị của biểu thức:  bằng: ...............4
    Đáp án là:
    Bài 1: Đi tìm kho báu Câu 1.1:
    Giá trị của biểu thức:  bằng: ...............4
  • Câu 2: Nhận biết
    Câu 1.2: Giá trị của biểu thức: 

    là: ..................-7
    Đáp án là:
    Câu 1.2: Giá trị của biểu thức: 

    là: ..................-7
  • Câu 3: Nhận biết
    Câu 1.3: Hai đường thẳng y = (k - 3)x + 3 và y = (3 - 2k)x 
    Hai đường thẳng trên song song với nhau khi: k = ..............2
    Đáp án là:
    Câu 1.3: Hai đường thẳng y = (k - 3)x + 3 và y = (3 - 2k)x 
    Hai đường thẳng trên song song với nhau khi: k = ..............2
  • Câu 4: Nhận biết
    Câu 1.4: Căn bậc ba của 0,064 bằng: ...........0,4
    Nhập kết quả dưới dạng số thập phân gọn nhất.
    Đáp án là:
    Câu 1.4: Căn bậc ba của 0,064 bằng: ...........0,4
  • Câu 5: Nhận biết
    Câu 1.5: Giá trị của biểu thức: 
    A = sin210+ sin220+ sin230+ ...... + sin280bằng: .............4
    Đáp án là:
    Câu 1.5: Giá trị của biểu thức: 
    A = sin210+ sin220+ sin230+ ...... + sin280bằng: .............4
  • Câu 6: Nhận biết
    Câu 1.6: Giá trị của biểu thức:  bằng: ................1,26
    Nhập kết quả dưới dạng số thập phân tính chính xác đến hàng trăm sau dấu phẩy.
    Đáp án là:
    Câu 1.6: Giá trị của biểu thức:  bằng: ................1,26
  • Câu 7: Nhận biết
    Câu 1.7: Tam giác ABC có trung tuyến BD = 6cm, trung tuyến CE = 4,5cm và BD \bot CE tại O. 
    Diện tích tam giác BOE là: ................cm2
    3
    Đáp án là:
    Câu 1.7: Tam giác ABC có trung tuyến BD = 6cm, trung tuyến CE = 4,5cm và BD \bot CE tại O. 
    Diện tích tam giác BOE là: ................cm2
    3
  • Câu 8: Nhận biết
    Bài 2: Hãy điền số thích hợp vào chỗ (....) Câu 2.1:
    Hai đường thẳng y = (a - 1)x + 2 và y = (3 - a)x + 1 song song với nhau. 
    Khi đó: a = ............2
    Đáp án là:
    Bài 2: Hãy điền số thích hợp vào chỗ (....) Câu 2.1:
    Hai đường thẳng y = (a - 1)x + 2 và y = (3 - a)x + 1 song song với nhau. 
    Khi đó: a = ............2
  • Câu 9: Nhận biết
    Câu 2.2: Hai đường thẳng y = 2x + 3 + m và y = 3x + 5 - m cắt nhau tại một điểm trên Oy.
    Khi đó m = ..............1
    Đáp án là:
    Câu 2.2: Hai đường thẳng y = 2x + 3 + m và y = 3x + 5 - m cắt nhau tại một điểm trên Oy.
    Khi đó m = ..............1
  • Câu 10: Nhận biết
    Câu 2.3: Cho đường tròn (O; 2), các tiếp tuyến AB và AC kẻ từ A đến đường tròn vuông góc với nhau tại A (B, C là các tiếp điểm), M là điểm bất kì trên cung nhỏ BC. Qua M kẻ tiếp tuyến với đường tròn, cắt AB, AC theo thứ tự ở D và E. Chu vi tam giác ADE là ..............4
    Đáp án là:
    Câu 2.3: Cho đường tròn (O; 2), các tiếp tuyến AB và AC kẻ từ A đến đường tròn vuông góc với nhau tại A (B, C là các tiếp điểm), M là điểm bất kì trên cung nhỏ BC. Qua M kẻ tiếp tuyến với đường tròn, cắt AB, AC theo thứ tự ở D và E. Chu vi tam giác ADE là ..............4
  • Câu 11: Nhận biết
    Câu 2.4: Cho tam giác ABC nội tiếp đường tròn, độ dài ba cạnh AB, AC, BC lần lượt là 5, 12, 13.
    Khoảng cách từ O đến dây AB là: ..............6
    Đáp án là:
    Câu 2.4: Cho tam giác ABC nội tiếp đường tròn, độ dài ba cạnh AB, AC, BC lần lượt là 5, 12, 13.
    Khoảng cách từ O đến dây AB là: ..............6
  • Câu 12: Nhận biết
    Câu 2.5: Nếu hai đường thẳng y = 2x + 3 + m và y = x + 6 - m cắt nhau tại một điểm trên trục tung khi đó m = .............1,5
    Nhập kết quả dưới dạng số thập phân gọn nhất.
    Đáp án là:
    Câu 2.5: Nếu hai đường thẳng y = 2x + 3 + m và y = x + 6 - m cắt nhau tại một điểm trên trục tung khi đó m = .............1,5
  • Câu 13: Nhận biết
    Câu 2.6: Số đo góc (làm tròn đến độ) tạo bởi đường thẳng y = 0,5x - √3 và trục Ox là: ..............o26
    Đáp án là:
    Câu 2.6: Số đo góc (làm tròn đến độ) tạo bởi đường thẳng y = 0,5x - √3 và trục Ox là: ..............o26
  • Câu 14: Nhận biết
    Câu 2.7: Biết đường thẳng ax + 8y = 0 là đường thẳng phân giác của góc phần tư số 2.
    Khi đó a = ..............8
    Đáp án là:
    Câu 2.7: Biết đường thẳng ax + 8y = 0 là đường thẳng phân giác của góc phần tư số 2.
    Khi đó a = ..............8
  • Câu 15: Nhận biết
    Câu 2.8: Đường thẳng y/6 - x/8 = 1 cắt trục hoành tại M, trục tung tại N. Độ dài MN là: ................10
    Đáp án là:
    Câu 2.8: Đường thẳng y/6 - x/8 = 1 cắt trục hoành tại M, trục tung tại N. Độ dài MN là: ................10
  • Câu 16: Nhận biết
    Câu 2.9: Vẽ 2 đường thẳng y = 2x - 4 và y = -x + 2 trên cùng mặt phẳng tọa độ.
    Số đo (làm tròn đến độ) của góc tạo thành bởi hai đường thẳng trên là: ..............108
    Đáp án là:
    Câu 2.9: Vẽ 2 đường thẳng y = 2x - 4 và y = -x + 2 trên cùng mặt phẳng tọa độ.
    Số đo (làm tròn đến độ) của góc tạo thành bởi hai đường thẳng trên là: ..............108
  • Câu 17: Nhận biết
    Câu 2.10: Cho (O; 5cm) vẽ đường kính AB và lấy điểm M thuộc AB sao cho AM = 2cm, vẽ dây CD vuông góc với AB tại M. Chu vi tứ giác ACBD là √a cm.
    Vậy a = .................720
    Đáp án là:
    Câu 2.10: Cho (O; 5cm) vẽ đường kính AB và lấy điểm M thuộc AB sao cho AM = 2cm, vẽ dây CD vuông góc với AB tại M. Chu vi tứ giác ACBD là √a cm.
    Vậy a = .................720
  • Câu 18: Nhận biết
    Bài 3: Vượt chướng ngại vật Câu 3.1:
    Để đường thẳng 3x - y = m + 1 đi qua gốc tọa độ thì m = ..........-1
    Đáp án là:
    Bài 3: Vượt chướng ngại vật Câu 3.1:
    Để đường thẳng 3x - y = m + 1 đi qua gốc tọa độ thì m = ..........-1
  • Câu 19: Nhận biết
    Bài 3: Vượt chướng ngại vật Câu 3.1:
    Để đường thẳng 3x - y = m + 1 đi qua gốc tọa độ thì m = ..........-1
    Đáp án là:
    Bài 3: Vượt chướng ngại vật Câu 3.1:
    Để đường thẳng 3x - y = m + 1 đi qua gốc tọa độ thì m = ..........-1
  • Câu 20: Nhận biết
    Câu 3.2: Trong mặt phẳng tọa độ Oxy, điểm M(a; -3) thuộc đường tròn (O; 3).
    Khi đó a = ............0
    Đáp án là:
    Câu 3.2: Trong mặt phẳng tọa độ Oxy, điểm M(a; -3) thuộc đường tròn (O; 3).
    Khi đó a = ............0
  • Câu 21: Nhận biết
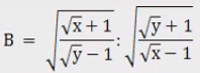
    Câu 3.3: Giá trị của biểu thức:  khi x = 5; y = 10 là: ...............2/3
    Nhập kết quả dưới dạng phân số tối giản.
    Đáp án là:
    Câu 3.3: Giá trị của biểu thức:  khi x = 5; y = 10 là: ...............2/3
  • Câu 22: Nhận biết
    Câu 3.4: Cho tam giác MNP vuông tại N, có MN = 3cm, NP = 4cm. 
    Khi đó bán kính của đường tròn bàng tiếp trong góc N bằng ............... cm.6
    Đáp án là:
    Câu 3.4: Cho tam giác MNP vuông tại N, có MN = 3cm, NP = 4cm. 
    Khi đó bán kính của đường tròn bàng tiếp trong góc N bằng ............... cm.6
  • Câu 23: Nhận biết
    Câu 3.5: Cho (d) và (d') có phương trình đường thẳng là:
    (d): y = 2x + 10; 
    (d'): y = -5x + 3 
    Gọi A là giao điểm của (d) và (d') 
    Phương trình đường thẳng qua A và song song với Oy là: x = ............-1
    Đáp án là:
    Câu 3.5: Cho (d) và (d') có phương trình đường thẳng là:
    (d): y = 2x + 10; 
    (d'): y = -5x + 3 
    Gọi A là giao điểm của (d) và (d') 
    Phương trình đường thẳng qua A và song song với Oy là: x = ............-1

Chúc mừng Bạn đã hoàn thành bài!

Đề thi Violympic Toán lớp 9 vòng 8 năm 2015 - 2016 Kết quả
  • Thời gian làm bài: 00:00:00
  • Số câu đã làm: 0
  • Điểm tạm tính: 0
  • Điểm thưởng: 0

Đấu trường Đề thi Violympic Toán lớp 9 vòng 8 năm 2015 - 2016

Đang tìm đối thủ...

Đang tải...

Xác thực tài khoản!

Theo Nghị định 147/2024/ND-CP, bạn cần xác thực tài khoản trước khi sử dụng tính năng này. Chúng tôi sẽ gửi mã xác thực qua SMS hoặc Zalo tới số điện thoại mà bạn nhập dưới đây:

Số điện thoại chưa đúng định dạng!
Số điện thoại này đã được xác thực!
Bạn có thể dùng Sđt này đăng nhập tại đây!
Lỗi gửi SMS, liên hệ Admin
Sắp xếp theo