Bài 1: Cóc vàng tài ba
Câu 1.1:Một hình chữ nhật có chu vi là 238m và diện tích là 3468m2. Độ dài đường chéo của hình chữ nhật đó là:
Vòng 19 (vòng thi cấp quốc gia) của Cuộc thi giải Toán qua mạng năm 2015 - 2016 bắt đầu mở từ ngày 08/04/2016. Để ôn tập và chuẩn bị cho vòng thi này, mời các bạn học sinh lớp 9 tham khảo bài test Luyện thi Violympic Toán lớp 9 vòng 19 năm 2015 - 2016. Tham gia làm bài và làm quen với các dạng toán mới nhé! Chúc các bạn đạt kết quả cao trong vòng thi này!
Điểm khả dụng: 0 điểm
Bạn sẽ dùng 50 điểm để đổi lấy 1 lượt làm bài.
Bạn không đủ điểm để đổi.
Bài 1: Cóc vàng tài ba
Câu 1.1:Câu 1.2:
Trên mặt phẳng tọa độ Oxy cho ba điểm A(√a; -37); B(-5; -20), C(7; -16) thẳng hàng. Khi đó a bằng:Câu 1.3:
Số nghiệm của đa thức f(x) = (4x4 - 1)(1 + 8x3)(-x3 - 2x) là:Câu 1.4:
Giá trị của biểu thức A = 22x3 - 33x + 44
tại x = bằng:
Câu 1.5:
Tập hợp các giá trị của m để phương trình x2 + (4m + 1)x + 2(m - 4) = 0
có hai nghiệm x1; x2 thỏa mãn Ιx1 - x2Ι = 17 là:
Câu 1.6:
Với x > 0, giá trị nhỏ nhất của biểu thức M = 9x2 + 3x + 1/x + 1420 là:
Câu 1.7:
Cho tan α = 1/2. Giá trị của biểu thứcCâu 1.8:
Cho số A = 20142014201420143 + 2014201420142014Câu 1.9:
Tổng các nghịch đảo của các nghiệm của phương trình:Câu 1.10:
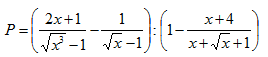
Tam giác ABC có Â = 60o, AB = 6cm, AC = 10cm, AD là đường phân giác. Độ dài của đoạn AD là:Tập nghiệm của phương trình
là {.......}
Tập nghiệm của phương trình
là {.......}


Trong mặt phẳng tọa độ Oxy, điểm mà đường thẳng y = (m - 2)x + 3 luôn luôn đi qua có tọa độ là (....; ....)
0; 3Trong mặt phẳng tọa độ Oxy, điểm mà đường thẳng y = (m - 2)x + 3 luôn luôn đi qua có tọa độ là (....; ....)
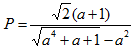
0; 3Cho a là nghiệm âm của phương trình: 4x2 + √2x - 2 = 0
Giá trị của biểu thức
là: ................
Cho a là nghiệm âm của phương trình: 4x2 + √2x - 2 = 0
Giá trị của biểu thức
là: ................
Các ngôi nhà ở một bên của một dãy phố được đánh số bằng các số lẻ liên tiếp tăng dần. Biết rằng số ngôi nhà nhiều hơn 3 và tổng các số nhà bằng 333.
Số nhà của ngôi nhà thứ bảy tính từ đầu dãy phố đó là: .............
Các ngôi nhà ở một bên của một dãy phố được đánh số bằng các số lẻ liên tiếp tăng dần. Biết rằng số ngôi nhà nhiều hơn 3 và tổng các số nhà bằng 333.
Số nhà của ngôi nhà thứ bảy tính từ đầu dãy phố đó là: .............


Cho tam giác ABC vuông tại A. Gọi I là giao điểm các đường phân giác trong của tam giác, M là trung điểm của BC. Biết rằng góc BIM = 90o.
Khi đó AB : BC : CA = ............
Cho tam giác ABC vuông tại A. Gọi I là giao điểm các đường phân giác trong của tam giác, M là trung điểm của BC. Biết rằng góc BIM = 90o.
Khi đó AB : BC : CA = ............
Đang tải...
Theo Nghị định 147/2024/ND-CP, bạn cần xác thực tài khoản trước khi sử dụng tính năng này. Chúng tôi sẽ gửi mã xác thực qua SMS hoặc Zalo tới số điện thoại mà bạn nhập dưới đây: