Giao diện mới của VnDoc Pro: Dễ sử dụng hơn - chỉ tập trung vào lớp bạn quan tâm. Vui lòng chọn lớp mà bạn quan tâm: Lưu và trải nghiệm
Đóng
Điểm danh hàng ngày
  • Hôm nay +3
  • Ngày 2 +3
  • Ngày 3 +3
  • Ngày 4 +3
  • Ngày 5 +3
  • Ngày 6 +3
  • Ngày 7 +5
Bạn đã điểm danh Hôm nay và nhận 3 điểm!
Nhắn tin Zalo VNDOC để nhận tư vấn mua gói Thành viên hoặc tải tài liệu Hotline hỗ trợ: 0936 120 169

Trắc nghiệm môn Vật Lý lớp 11: Điện học - Điện trường (Phần 1)

Đóng
Bạn đã dùng hết 1 lần làm bài Trắc nghiệm miễn phí. Mời bạn mua tài khoản VnDoc PRO để tiếp tục! Tìm hiểu thêm
Mô tả thêm:

Trắc nghiệm môn Vật lý lớp 11 chương 1

Mời các bạn cùng làm Trắc nghiệm môn Vật Lý lớp 11: Điện học - Điện trường (Phần 1) với nhiều câu hỏi bổ ích bao gồm cả lý thuyết và bài tập vận dụng giúp học sinh nắm bắt được nội dung kiến thức trọng tâm trên lớp, đồng thời nâng cao khả năng của bản thân.

Trắc nghiệm môn Vật Lý lớp 11: Điện học - Điện trường (Phần 2)

  • Số câu hỏi: 11 câu
  • Số điểm tối đa: 11 điểm
Bắt đầu làm bài
Bạn còn 1 lượt làm bài tập miễn phí. Hãy mua tài khoản VnDoc PRO để học không giới hạn nhé! Bạn đã HẾT lượt làm bài tập miễn phí! Hãy mua tài khoản VnDoc PRO để làm Trắc nghiệm không giới hạn và tải tài liệu nhanh nhé!
Mua ngay Đổi điểm
Trước khi làm bài bạn hãy
  • 1 Ôn tập kiến thức đã nêu trong phần Mô tả thêm
  • 2 Tìm không gian và thiết bị phù hợp để tập trung làm bài
  • 3 Chuẩn bị sẵn dụng cụ cần dùng khi làm bài như bút, nháp, máy tính
  • 4 Căn chỉnh thời gian làm từng câu một cách hợp lý
  • Câu 1: Nhận biết

    1

    Chọn câu sai

  • Câu 2: Nhận biết

    2

    Có thể làm một vật nhiễm điện bằng cách:
  • Câu 3: Nhận biết

    3

    Trong sự nhiễm điện do tiếp xúc, sau khi tiếp xúc với vật đã nhiễm điện và được tách ra, hai vật sẽ:
  • Câu 4: Nhận biết

    4

    Người ta làm nhiễm điện do hưởng ứng cho một thanh kim loại. Sau khi đã nhiễm điện thì số electron trong thanh kim loại:
  • Câu 5: Nhận biết

    5

    Theo định luật Culông, lực tương tác giữa hai điện tích điểm đứng yên sẽ:
  • Câu 6: Nhận biết

    6

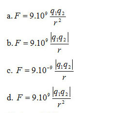
    Hai điện tích q1 và q2 đặt cách nhau một khoảng r trong chân không. Trong hệ SI, lực tương tác giữa hai điện tích là:
  • Câu 7: Nhận biết

    Sử dụng dữ liệu sau (I) và (II) là các mệnh đề a. (I) đúng, (II) đúng. Hai mệnh đề có tương quan với nhau. b. (I) đúng, (II) đúng. Hai mệnh đề không tương quan với nhau. c. (I) đúng, (II) sai. d. (I) sai, (II) đúng. Trả lời các câu 7, 8 ,9, 10 và 11.

    7. (I) Giá trị tuyệt đối của điện tích một hạt bao giờ cũng là một số nguyên lần điện tích của electron (e).

    Vì (II) Điện tích của electron là điện tích nhỏ nhất trong giới hạn hiểu biết khoa học hiện nay.

  • Câu 8: Nhận biết

    8

    (I) Có thể làm một vật nhiễm điện bằng cách cọ xát nó với một vật khác.

    Vì (II) Khi cọ xát hai vật với nhau, cả hai vật đều nóng lên.

  • Câu 9: Nhận biết

    9

    (I) Lực tương tác giữa hai điện tích điểm tỉ lệ nghịch với khoảng cách giữa chúng.

    Vì (II) Khi hai điện tích đặc càng xa nhau thì lực tương tác giữa chúng càng giảm.

  • Câu 10: Nhận biết

    10

    (I) Trong môi trường có hằng số điện môi ε, lực tương tác giữa hai điện tích điểm giảm ε lần so với khi chúng đặt trong chân không.

    Vì (II) Trong chất điện môi luôn có rất nhiều các hạt mang điện tự do.

  • Câu 11: Nhận biết

    11

    (I) Khi một vật bị nhiễm điện thì điện tích của vật chỉ có thể dương hoặc âm.

    Vì (II) Nguyên nhân gây nên sự nhiễm điện của các vật là nhường hay nhận thêm các electron.

Chúc mừng Bạn đã hoàn thành bài!

Trắc nghiệm môn Vật Lý lớp 11: Điện học - Điện trường (Phần 1) Kết quả
  • Thời gian làm bài: 00:00:00
  • Số câu đã làm: 0
  • Điểm tạm tính: 0
  • Điểm thưởng: 0

Đấu trường môn Vật Lý lớp 11: Điện học - Điện trường (Phần 1)

Đang tìm đối thủ...

Đang tải...

Xác thực tài khoản!

Theo Nghị định 147/2024/ND-CP, bạn cần xác thực tài khoản trước khi sử dụng tính năng này. Chúng tôi sẽ gửi mã xác thực qua SMS hoặc Zalo tới số điện thoại mà bạn nhập dưới đây:

Số điện thoại chưa đúng định dạng!
Số điện thoại này đã được xác thực!
Bạn có thể dùng Sđt này đăng nhập tại đây!
Lỗi gửi SMS, liên hệ Admin
Sắp xếp theo