1
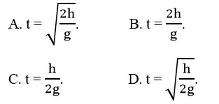
Một vật được ném ngang từ độ cao h so với mặt đất ở nơi có gia tốc rơi tự do g. Thời gian chạm đất của vật là?

VnDoc mời các bạn cùng tham khảo Trắc nghiệm Vật lý 10 Chuyển động ném ngang gồm bao gồm các câu hỏi trắc nghiệm Lý 10, hỗ trợ học sinh ôn luyện và nâng cao kết quả học tập lớp 10.
Tài liệu Trắc nghiệm Vật lý 10 bao gồm tổng hợp câu hỏi trắc nghiệm môn Lý theo bài, là tài liệu hữu ích cho các em ghi nhớ kiến thức từng bài, từ đó có sự chuẩn bị tốt nhất cho các bài thi, bài kiểm tra sắp tới.
Đang tải...
Theo Nghị định 147/2024/ND-CP, bạn cần xác thực tài khoản trước khi sử dụng tính năng này. Chúng tôi sẽ gửi mã xác thực qua SMS hoặc Zalo tới số điện thoại mà bạn nhập dưới đây: