Trắc nghiệm - đúng sai - trả lời ngắn Toán 7: Đa thức một biến
Tài liệu Trắc nghiệm Toán 7: Đa thức một biến gồm 40 câu hỏi được biên soạn kỹ lưỡng với hình thức phong phú: 20 câu trắc nghiệm nhiều lựa chọn, 10 câu Đúng/Sai và 10 câu trả lời ngắn. Cấu trúc đa dạng giúp học sinh rèn luyện toàn diện các kỹ năng, từ nắm chắc kiến thức cơ bản đến vận dụng giải quyết bài tập nâng cao. Mỗi câu hỏi đều có đáp án và hướng dẫn chi tiết, giúp các em tự học, tự đánh giá và cải thiện năng lực một cách hiệu quả. Đây là tài liệu ôn tập hữu ích, hỗ trợ học sinh chuẩn bị tốt cho các bài kiểm tra định kỳ.
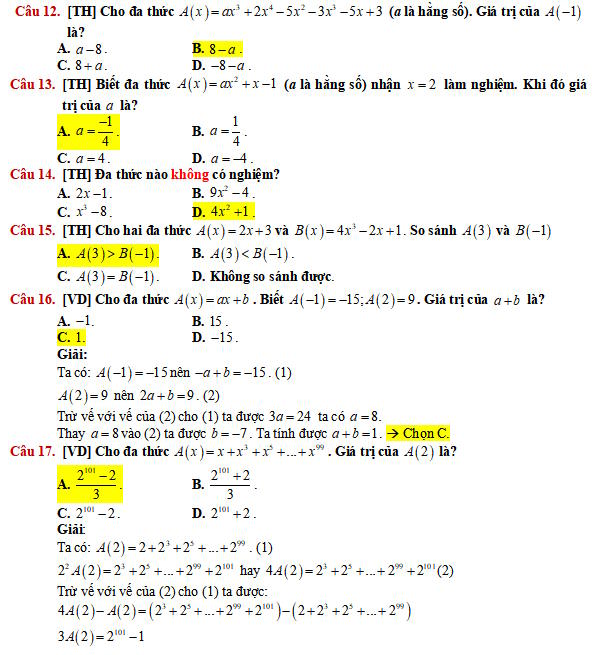
Toán 7 trắc nghiệm - đúng sai - trả lời ngắn: Đa thức một biến


Để xem một phần Trắc nghiệm - đúng sai - trả lời ngắn Toán 7: Đa thức một biến mời các bạn kích vào nút Xem thử, để xem trọn tài liệu này mời kích vào nút Tải về.