Trắc nghiệm So sánh phân số
Trắc nghiệm Toán lớp 6: So sánh phân số bao gồm 2 phần trắc nghiệm và tự luận có đáp án và hướng dẫn giải chi tiết cho các em học sinh tham khảo, củng cố rèn luyện kỹ năng giải Toán Chương 3 Số học lớp 6. Mời các em học sinh tham khảo chi tiết.
Trắc nghiệm So sánh phân số
I. Câu hỏi trắc nghiệm So sánh phân số Toán lớp 6
Câu 1: Điền dấu thích hợp vào chỗ chấm: -5/13 ... 7/13
A. >
B. <
C. =
D. Tất cả các đáp án trên đều sai
Đáp án
Vì -5 > -7 nên -5/13 > -7/13
Chọn đáp án A
Câu 2: Điền dấu thích hợp vào chỗ chấm -12/25 ... 17/-25
A. >
B. <
C. =
D. Tất cả các đáp án trên đều sai
Đáp án

Chọn đáp án A.
Câu 3: Chọn câu đúng

Đáp án

Chọn đáp án B
Câu 4: Chọn câu sai

Đáp án


Chọn đáp án D
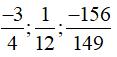
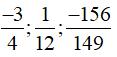
Câu 5: Sắp xếp các phân số heo thứ tự tăng dần ta được


Đáp án
Ta có:

Chọn đáp án C
Câu 6: Sắp xếp các phân số theo thứ tự giảm dần ta được


Đáp án
Ta có:

Chọn đáp án D
II. Bài tập tự luận So sánh phân số Toán lớp 6
Câu 1: So sánh hai phân số

Đáp án

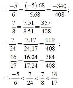
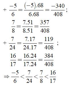
Câu 2: Sắp xếp các phân số theo thứ tự tăng dần: 
Đáp án
Ta có: BCNN(6, 8, 17, 24) = 408
Khi đó ta có:

Trắc nghiệm Toán 6: So sánh phân số bao gồm 6 câu hỏi trắc nghiệm và 2 câu hỏi tự luận có đáp án chi tiết cho từng câu hỏi cho các em học sinh tham khảo rèn luyện kỹ năng giải Toán lớp 6 về số nguyên ôn tập chương 3 Số học Toán 6, chuẩn bị cho các bài thi bài kiểm tra trong năm học.
Ngoài các dạng bài tập Toán 6, các em học sinh tham khảo các bài giải SGK môn Toán lớp 6, Môn Ngữ văn 6, Môn Vật lý 6, môn Sinh Học 6, Lịch sử 6, Địa lý 6..... chi tiết mới nhất trên VnDoc.com.