Vật lí 11 Cánh Diều Bài 3 trang 97, 98, 99, 100, 101, 102, 103
Theo lộ trình thực hiện Chương trình giáo dục phổ thông 2018 của Bộ Giáo dục và Đào tạo, từ năm học 2023-2024, học sinh các khối lớp 11 sẽ học theo chương trình, sách giáo khoa mới. Để giúp các thầy cô và các em học sinh làm quen với từng bộ sách mới, VnDoc xin giới thiệu tài liệu Vật lí 11 Cánh Diều Bài 3 trang 97, 98, 99, 100, 101, 102, 103. Mời quý bạn đọc cùng tham khảo.
Giải Vật lí 11 Cánh Diều Bài 3: Nguồn điện, năng lượng điện và công suất điện
Mở đầu trang 97 Vật Lí 11
Nếu gắn mỗi đầu của một vật dẫn vào một bản của tụ điện đã tích điện thì chỉ có dòng điện chạy qua vật dẫn trong một khoảng thời gian rất ngắn. Nhưng nếu gắn mỗi đầu của cùng một vật dẫn đó vào một cực của pin hoặc acquy thì dòng điện được duy trì lâu hơn nhiều.
Vì sao lại như vậy? Làm thế nào để duy trì được dòng điện tích dịch chuyển có hướng qua một vật dẫn?

Lời giải:
Để duy trì được dòng điện tích dịch chuyển có hướng qua một vật dẫn chúng ta cần duy trì giữa hai đầu của nó một hiệu điện thế.
I. Nguồn điện
Câu hỏi 1 trang 98 Vật Lí 11
Một đèn mắc nối tiếp với một pin như Hình 3.3.

Nêu sự biến đổi năng lượng xảy ra trong pin và trong đèn khi đóng khoá K.
Lời giải:
Khi đóng khoá K, năng lượng từ pin được chuyển hoá một phần sang cho đèn làm cho đèn phát sáng.
Câu hỏi 2 trang 98 Vật Lí 11
Từ biểu thức 3.1, chứng minh suất điện động có cùng đơn vị với hiệu điện thế.
Lời giải:
Ở chủ đề trước ta có biểu thức A = U.I.t hay A = qU
Từ biểu thức 3.1 ta thấy A = qE nên suất điện động có đơn vị giống với đơn vị của hiệu điện thế.
Luyện tập 1 trang 99 Vật Lí 11
Nêu điểm giống và khác nhau giữa suất điện động của nguồn điện và hiệu điện thế giữa hai điểm trong mạch điện.
Lời giải:
- Giống nhau: đều là đại lượng đặc trưng cho khả năng thực hiện công.
- Khác nhau:
+ Suất điện động đặc trưng cho khả năng thực hiện công của nguồn điện.
+ Hiệu điện thế đặc trưng cho khả năng thực hiện công của điện trường tạo ra bởi nguồn điện.
Câu hỏi 3 trang 99 Vật Lí 11
Nối mỗi cực của một pin với mỗi cực của một vôn kế có điện trở rất lớn.
Số chỉ của vôn kế có ý nghĩa gì?
Lời giải:
Số chỉ của vôn kế cho biết hiệu điện thế giữa hai đầu của pin.
Câu hỏi 4 trang 100 Vật Lí 11
Mô tả ảnh hưởng của điện trở trong của nguồn điện lên hiệu điện thế giữa hai cực của nguồn.
Lời giải:
Điện trở trong càng lớn thì hiệu điện thế giữa hai cực của nguồn càng nhỏ và ngược lại.
Câu hỏi 5 trang 100 Vật Lí 11
Trong trường hợp nào, hiệu điện thế giữa hai cực của nguồn điện bằng suất điện động của nó?
Lời giải:
Hiệu điện thế giữa hai cực của nguồn điện bằng suất điện động của nó khi điện trở trong bằng 0 hoặc rất rất nhỏ.
II. Năng lượng điện và công suất điện
Tìm hiểu thêm trang 100 Vật Lí 11
Bạn hãy tìm hiểu thêm tại sao cá chình không bị chết vì dòng điện mà nó phóng ra và đi qua chính nó.
Lời giải:
Cá chình thường không bị chính dòng điện trong cơ thể mình giết chết bởi 3 nguyên nhân sau:
- Thứ nhất là cấu tạo cơ thể hợp lí: Với thân hình thon và kéo dài khiến cho khả năng dòng điện đi qua và gây hại cho các bộ phận trọng yếu là rất nhỏ. Dòng điện gần như phóng thẳng ra môi trường chứ không truyền trong cơ thể quá lâu.
- Thứ hai là dòng điện không đủ lâu để giết cá chình: Kích thước cơ thể tỉ lệ thuận với điện áp cao nhất một con có thể tạo ra. Cá càng to, cường độ điện phóng ra càng mạnh. Các nhà khoa học cho rằng cá chình điện có khả năng điều chỉnh điện áp tối đa khó có thể giết chính nó trong khoảng thời gian ngắn mà dòng điện tồn tại, cộng thêm khả năng tạo ra điện và phóng điện vô cùng nhanh nên cá chình mới có thể an toàn như vậy.
- Cuối cùng là khả năng đặc biệt nhất là uốn mình theo những hướng nhất định. Bằng cách này cá chình tránh được dòng điện đi qua tim. Với mỗi tình huống khác nhau, cá chình điện lại có 1 cách riêng để tự vệ.
Luyện tập 2 trang 101 Vật Lí 11
Cho mạch điện như Hình 3.6.

Khi mạch hở, vôn kế chỉ 13,0 V.
Khi mạch kín, vôn kế chỉ 12,0 V và cường độ dòng điện qua đèn là 3,0 A.
Biết vôn kế có điện trở rất lớn. Tìm suất điện động và điện trở trong của pin.
Lời giải:
Gọi suất điện động và điện trở trong của pin lần lượt là E và r.
Vôn kế có điện trở rất lớn nên coi như dòng điện đi qua vôn kế rất nhỏ
Khi mạch hở: UV1 = E = 13 (V)
Khi mạch kín: UV2 = I2Rđ = 3.Rđ = 12 ⇒ Rđ = 4Ω
Lại có E = I2(Rđ + r) ⇒ 13 = 3(4 + r) ⇒ r =
\(\frac{1}{3}\)Ω
Câu hỏi 6 trang 101 Vật Lí 11
Trong trường hợp đoạn mạch chỉ có điện trở R, phần năng lượng điện mà đoạn mạch tiêu thụ biến đổi hoàn toàn thành năng lượng nhiệt.
Suy luận biểu thức tính công suất toả nhiệt trên điện trở khi có dòng điện với cường độ I chạy qua.
Lời giải:
Nhiệt năng sinh ra trong khoảng thời gian t là: Q = I2Rt.
Năng lượng điện tiêu thụ được chuyển hoá thành nhiệt năng: A = P.t.
Do năng lượng điện tiêu thụ được chuyển hoá hoàn toàn thành nhiệt nên:
Q = A ⇒ I2Rt = P.t
Suy ra, công suất toả nhiệt: Php = I2R.
Luyện tập 3 trang 101 Vật Lí 11
Tính công suất điện hao phí dưới dạng nhiệt trên một dây cáp dài 15 km dẫn dòng điện có cường độ 100 A. Biết điện trở trên một đơn vị chiều dài của dây cáp này là 0,20 Ω/km.
Lời giải:
Công suất hao phí trên toàn bộ dây cáp: Php = I2R = 1002.0,2.15 = 30000 J
Luyện tập 4 trang 101 Vật Lí 11
Giải thích tại sao khi điện thoại sắp hết pin, bạn nên giảm độ sáng của màn hình.
Lời giải:
Vì màn hình là một trong những thứ ngốn điện nhiều nhất nên khi điện thoại sắp hết pin chúng ta cần giảm độ sáng của màn hình để tiết kiệm năng lượng điện còn lại trong pin.
III. Đo suất điện động và điện trở trong của pin
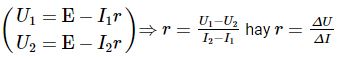
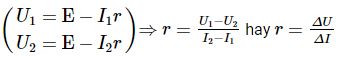
Câu hỏi 7 trang 102 Vật Lí 11
Vì sao có thể xác định điện trở trong bằng biểu thức:
\(r=\frac{\triangle U}{\triangle I}\).
Lời giải:
Điều chỉnh biến trở để thu được cặp giá trị hiệu điện thế và cường độ dòng điện khác nhau là (U1; I1) và (U2; I2). Sau đó ta có thể sử dụng hệ phương trình sau:

Luyện tập 5 trang 103 Vật Lí 11
Một acquy ô tô 12 V cung cấp dòng điện có cường độ 5 A trong thời gian 2,0 giờ. Năng lượng mà acquy cung cấp trong thời gian này là bao nhiêu jun?
Lời giải:
Năng lượng mà acquy cung cấp: A = U.I.t = 12.5.2.3600 = 432 000 J
Luyện tập 6 trang 103 Vật Lí 11
Cho mạch điện như Hình 3.8. Con chạy ở vị trí C, chia điện trở R thành R = RAC + RCB.
Tìm biểu thức liên hệ giữa số chỉ của vôn kế, E, RAC và RCB.

Lời giải:
Cường độ dòng điện qua mạch chính:
\(I=\frac{E}{R_{AC}+R_{CB}+r}\)
Số chỉ của vôn kế đo hiệu điện thế hai đầu AC:
UV = UAC = I.RAC =
\(\frac{E}{R_{AC}+R_{CB}+r}.R_{AC}\)
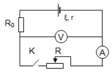
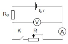
Vận dụng trang 103 Vật Lí 11
Cho các dụng cụ:
• 02 đồng hồ đo điện đa năng;
• 02 pin 1,5 V;
• 01 điện trở 10Ω;
• 01 biến trở 100Ω;
Dây nối; công tắc; bảng để lắp mạch điện.
Thảo luận để lựa chọn phương án và thực hiện phương án, đo suất điện động và điện trở trong của pin.
Lời giải:
I. Mục đích
- Áp dụng biểu thức hiệu điện thế của đoạn mạch chứa nguồn điện và định luật Ohm đối với toàn mạch để xác định suất điện động và điện trở trong của một pin điện hóa.
- Sử dụng các đồng hồ đo điện vạn năng để đo các đại lượng trong mạch điện (đo U và I).
II. Cơ sở lý thuyết
- Lắp sơ đồ mạch điện như hình vẽ bên dưới với các dụng cụ đã cho.
- Đồng hồ đo điện đa năng thứ nhất để ở chế độ đo hiệu điện thế.
- Đồng hồ đo điện đa năng thứ hai để ở chế độ đo cường độ dòng điện.

Định luật Ohm cho đoạn mạch chứa nguồn điện: U = E – I(R0 + r)
Mặt khác: U = I(R + RA)
Suy ra:
\(I=I_{A} =\frac{E}{R+R_{A}+R_{O}+r}\)
Với RA, R là điện trở của ampe kế và của biến trở. Biến trở dùng để điều chỉnh điện áp và dòng điện
Trong thí nghiệm ta có R0 = 100Ω
Ta đo RA bằng cách dùng đồng hồ vạn năng ở thang đo DC, đo hiệu điện thế giữa hai cực của ampe kế và cường độ dòng điện qua mạch → RA.
III. Thực hiện thí nghiệm
Sau khi lắp sơ đồ mạch điện như trên, tiến hành đo U và IA.
Với các giá trị R = 10Ω; R0 = 100Ω; cho trước có thể tìm được E; r.
-------------------
Trên đây VnDoc.com vừa gửi tới bạn đọc bài viết Vật lí 11 Cánh Diều Bài 3 trang 97, 98, 99, 100, 101, 102, 103. Hi vọng qua bài viết này bạn đọc có thêm tài liệu để học tập tốt hơn môn Vật lý 11 Cánh diều.
Bài tiếp theo: Vật lí 11 Cánh Diều Bài tập chủ đề 4