Bài tập cuối tuần môn Toán lớp 6 - Hình học - Tuần 13 - Đề 2
Đề luyện cuối tuần Toán lớp 6 – Phần hình học
Bài tập cuối tuần môn Toán lớp 6 - Hình học - Tuần 13 - Đề 2 bao gồm hệ thống kiến thức các dạng Toán tuần 13 lớp 6 có đầy đủ lời giải cho các em học sinh tham khảo, ôn tập các dạng toán về Góc. Mời các em học sinh cùng tham khảo chi tiết.
Đề luyện cuối tuần Toán lớp 6 Tuần 13 - Đề 2: Góc
Bài 1. Đọc tên và viết kí hiệu các góc ở hình vẽ bên. Cho biết có tất cả bao nhiêu góc ở hình vẽ?

Bài 2. Cho 4 tia chung gốc Ox, Oy, Oz, Ot. Hỏi có bao nhiêu góc tạo thành? Kể tên các góc.
Bài 3. Cho n tia chung gốc O. Tìm n biết số đo góc tạo thành là 66.
Bài 4. Trên đường thẳng x’x lấy ba điểm A, B, C theo thứ tự đó. Gọi D là một điểm nằm ngoài đường thẳng x’x. Vẽ tia Da đi qua điểm A, tia Db đi điểm B và tia Dc đi qua điểm C.
a) Có mấy góc đỉnh B, đó là các góc nào?
b) Điểm B nằm trong góc nào?
Đáp án Đề luyện cuối tuần Toán lớp 6 Tuần 13 - Hình học
Bài 1. Có 3 góc:
![]()
Bài 2. Hướng dẫn. (Học sinh tự vẽ hình).
Ghép hai tia ta được một góc. Có 6 góc tạo thành, đó là các góc:
![]()
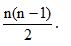
Nhận xét. Ghép hai tia ta được một góc. Có 4 tia thì số góc là
.
Tổng quát cho n tia chung gốc thì số góc tạo thành là
![]()
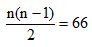
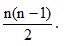
Bài 3. Dựa vào nhận xét bài 2, ta có:
![]()
suy ra n.(n - 1). = 132 = 12.11
nghĩa là n = 12. Vậy có 12 tia.
Bài 4.

a) Có 6 góc đỉnh B. Đó là các góc:
![]()
b) Ba điểm A, B, C thẳng hàng và điểm B nằm giữa hai điểm A và C. Do đó tia Db nằm giữa hai tia Da và Dc. Ta suy ra điểm B nằm trong gốc ADC (hay góc aDc).
Ngoài Bài tập cuối tuần môn Toán lớp 6 - Hình học - Tuần 13 - Đề 2, các em học sinh lớp 6 còn có thể tham khảo đề thi học kì 1 hay đề thi học kì 2 lớp 6 mà VnDoc.com đã sưu tầm và chọn lọc. Hy vọng với những tài liệu này, các em học sinh sẽ học tốt môn Toán lớp 6 hơn mà không cần sách giải.