Bài tập cuối tuần môn Toán lớp 6 - Số học - Tuần 24 - Đề 1
Bài tập cuối tuần môn Toán lớp 6 - Số học
Bài tập cuối tuần môn Toán lớp 6 - Số học - Tuần 24 - Đề 1 bao gồm hệ thống kiến thức các dạng Toán tuần 24 lớp 6 có đầy đủ lời giải cho các em học sinh tham khảo, ôn tập các dạng toán Rút gọn phân số, Số học - Chương 3 lớp 6. Mời các em học sinh cùng tham khảo chi tiết.
Đề luyện cuối tuần Toán lớp 6 Tuần 24 - Đề 1 - Rút gọn phân số
Bài 1. Rút gọn các phân số sau:

Bài 2. Tìm phân số tối giản của mỗi phân số sau:
![]()
Phân tích. Muốn tìm phân số tối giản của một phân số ta chỉ cần tìm ƯCLN của tử và mẫu của phân số đã cho, rồi chia cả tử và mẫu của phân số cho ƯCLN đó.
Bài 3. Rút gọn các phân số sau:

Bài 4. Tìm ba phân số bằng phân số
\(\frac{8}{5}\)và có mẫu số là số lẻ. Có thể tìm được bao nhiêu phân số như thế mà có mẫu là số lẻ?
Bài 5. Cho tập hợp A = {2; -3; 12; -18}. Hãy tìm những phận số có tử và mẫu đều thuộc tập hợp A và bằng phân số
\(\frac{-18}{27}\).
Đáp án Đề luyện cuối tuần Toán lớp 6 Tuần 24
Bài 1.

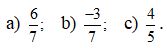
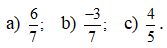
Bài 2.
![]()
Bài 3.
![]()
Bài 4. Muốn có một phân số bằng
\(\frac{8}{5}\)và có mẫu số là số lẻ ta chỉ cần nhân cả tử và mẫu của
\(\frac{8}{5}\)với cùng một số lẻ. Chẳng hạn:

Có vô số phân số bằng mà mẫu là số lẻ vì có vô số số lẻ.
Bài 5. Các phân số cần tìm là
![]()
Như vậy, VnDoc tổng hợp cho các bạn tham khảo Bài tập cuối tuần môn Toán lớp 6 - Số học - Tuần 24 - Đề 1. Ngoài ra, các em học sinh lớp 6 còn có thể tham khảo đề thi học kì 1 hay đề thi học kì 2 lớp 6 mà VnDoc.com đã sưu tầm và chọn lọc. Hy vọng với những tài liệu này, các em học sinh sẽ học tốt môn Toán lớp 6 hơn mà không cần sách giải.