Bài tập cuối tuần môn Toán lớp 6 - Số học - Tuần 24 - Đề 2
Bài tập cuối tuần môn Toán lớp 6 - Số học
Bài tập cuối tuần môn Toán lớp 6 - Số học - Tuần 24 - Đề 2 bao gồm hệ thống kiến thức các dạng Toán tuần 24 lớp 6 có đầy đủ lời giải cho các em học sinh tham khảo, ôn tập các dạng toán Rút gọn phân số, Số học - Chương 3 lớp 6. Mời các em học sinh cùng tham khảo chi tiết.
Đề luyện cuối tuần Toán lớp 6 Tuần 24 - Đề 2 - Rút gọn phân số
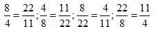
Bài 1. Hãy dùng cách rút gọn phân số để xét xem những phân số nào sau đây bằng nhau?

Bài 2. Viết các thời gian sau dưới dạng phân số tối giản, với đơn vị là giờ:
a) 45 phút;
b) 50 phút;
c) 1 giờ 40 phút;
d) 2 giờ 45 phút.
Bài 3. Cho tập hợp B = {2 ;-3 ;-4 ; 5 ; 10 ; 12}.
Tìm các phân số tối giản có tử và mẫu đều thuộc tập hợp B.
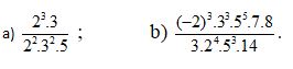
Bài 4. Rút gọn các phân số sau :

Bài 5. a) Cho hai phân số bằng nhau
.
Có nhận xét gì về tích của tử của phân số thứ nhất với mẫu của phân số thứ hai và tích của mẫu của phân số thứ nhất với tử của phân số thứ hai?
b) Cho hai tích bằng nhau 8.11 = 4.22. Có thể lập những phân số bằng nhau nào từ các thừa số của hai tích đó;
c) Chứng tỏ rằng nếu
thì a.d = b.c và ngược lai.
Đáp án Đề luyện cuối tuần Toán lớp 6 Tuần 24
Bài 1.

Bài 2.
a) 45 phút =
\(\frac{3}{4}\)giờ
b) 50 phút =
\(\frac{5}{6}\)giờ.
c) 1 giờ 40 phút =
\(\frac{5}{3}\)giờ
d) 2 giờ 45 phút =
\(\frac{11}{4}\)giờ
Bài 3. Các phân số tối giản là những phân số mà tử và mẫu có ƯCLN bằng 1.
Vì ƯCLN (2 ; 3) - 1 nên ta có các phân số tối giản
\(\frac{2}{3}\) và
\(\frac{3}{2}\).
ƯCLN (2 ; 5) = 1 nên ta có các phân số tối giản
\(\frac{2}{5}\) và
\(\frac{5}{2}\).
Tương tự tìm được các phân số tối giản khác.
Bài 4.
a)
\(\frac{2}{15}\);
b) -450
Bài 5.
a) 7.39 = 273 ; 3.21 = 273.
Vậy khi hai phân số bằng nhau thì tích của tử số của phân số thứ nhất với mẫu của phân số thứ hai bằng tích của mẫu của phân số thứ nhất với tử của phân số thứ hai.
b) Có thể lập các phân số bằng nhau như sau:

Mỗi cặp phân số đều thoả mãn đẳng thức 8.11 = 4.22.
c) Từ hai phần trên học sinh suy ra cách chứng minh.
Như vậy, VnDoc tổng hợp cho các bạn tham khảo Bài tập cuối tuần môn Toán lớp 6 - Số học - Tuần 24 - Đề 2. Ngoài ra, các em học sinh lớp 6 còn có thể tham khảo đề thi học kì 1 hay đề thi học kì 2 lớp 6 mà VnDoc.com đã sưu tầm và chọn lọc. Hy vọng với những tài liệu này, các em học sinh sẽ học tốt môn Toán lớp 6 hơn mà không cần sách giải.