Bài tập cuối tuần môn Toán lớp 6 - Số học - Tuần 27
Bài tập cuối tuần môn Toán lớp 6 - Số học
Tài liệu "Bài tập cuối tuần môn Toán lớp 6 – Số học – Tuần 27" là bộ giáo án ôn tập chuyên sâu được thiết kế nhằm giúp các em học sinh làm chủ kiến thức trọng tâm về Tính chất cơ bản của phép cộng phân số. Với hệ thống bài tập được phân loại rõ ràng, đi kèm lời giải chi tiết và phương pháp giải mạch lạc, đây không chỉ là tài liệu tham khảo quý giá cho các em học sinh tự học tại nhà mà còn là nguồn tư liệu hỗ trợ đắc lực cho thầy cô và phụ huynh trong việc kiểm tra, đánh giá năng lực học tập của con em sau mỗi tuần học. Mời các em cùng khám phá để củng cố tư duy toán học và rèn luyện kỹ năng giải toán phân số một cách nhuần nhuyễn và chính xác.
Đề luyện cuối tuần Toán lớp 6 Tuần 27 - Tính chất cơ bản của phép cộng phân số
Bài 1. Tính hợp lí:

Bài 2. Tìm x trong mỗi trường hợp sau:

Bài 3. Thực hiện phép tính:

Bài 4. Tìm các số tự nhiên x thoả mãn điều kiện:
![]()
Đáp án Đề luyện cuối tuần Toán lớp 6 Tuần 27
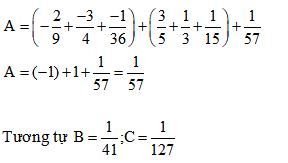
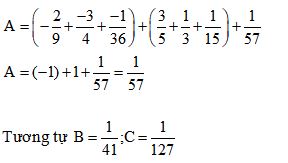
Bài 1.
Tính A :

Bài 2.
a) x = -8
b) x = 12
Bài 3. a) 0; b) 1
Bài 4. Hướng dẫn: Tính tổng ta được:

Vậy x = 0, x= 1, x =2, x = 3.
Như vậy, VnDoc tổng hợp cho các bạn tham khảo Bài tập cuối tuần môn Toán lớp 6 - Số học - Tuần 27. Ngoài ra, các em học sinh lớp 6 còn có thể tham khảo đề thi học kì 1 hay đề thi học kì 2 lớp 6 mà VnDoc.com đã sưu tầm và chọn lọc. Hy vọng với những tài liệu này, các em học sinh sẽ học tốt môn Toán lớp 6 hơn mà không cần sách giải.