Bài tập cuối tuần môn Toán lớp 6 - Số học - Tuần 28 - Đề 2
Bài tập cuối tuần môn Toán lớp 6 - Số học
Bài tập cuối tuần môn Toán lớp 6 - Số học - Tuần 28 - Đề 2 bao gồm hệ thống kiến thức các dạng Toán tuần 28 lớp 6 có đầy đủ lời giải cho các em học sinh tham khảo, ôn tập các dạng toán Phép trừ và phép nhân phân số Số học - Chương 3 lớp 6. Mời các em học sinh cùng tham khảo chi tiết.
Đề luyện cuối tuần Toán lớp 6 Tuần 28 - Phép trừ và phép nhân phân số
Bài 1. Thực hiện các phép tính:

Bài 2. Thực hiện các phép tính :

Bài 3. Trong dãy các phép tính cộng, trừ, nhân, ta thực hiện phép nhân trước rồi đến phép cộng và phép trừ. Hãy thực hiện các phép tính sau:

Bài 4. Tìm x trong mỗi trường hợp sau :

Bài 5. Bài toán dân gian
Một người đi buôn một số táo. Một nửa số táo phải bán với giá 5 đồng 2 quả, nửa còn lại phải bán với giá 5 đồng 3 quả thì mới hoà vốn. Nhưng người đó lại đem bán tất cả số táo đã mua với giá 10 đồng 5 quả, như vậy lỗ 10 đồng. Hỏi người đó đã mua bao nhiêu quả táo?
Đáp án Đề luyện cuối tuần Toán lớp 6 Tuần 28
Bài 1.

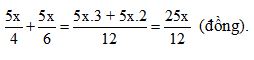
Bài 2. Hướng dẫn. Đổi các phép trừ thành phép cộng với số đối.

Bài 3.

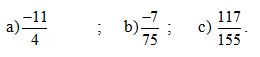
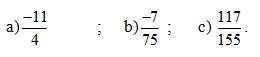
Bài 4.
a) x = 7;
b) x = 7.
Bài 5.
Gọi số táo đã mua là x quả. Một nửa số táo phải bán với giá 5 đồng 2 quả thì giá mỗi quả loại này là
\(\frac{5}{2}\)đồng.
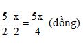
Vì số táo loại này là
\(\frac{x}{2}\)nên số tiền thu được là: 
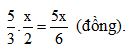
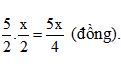
Nửa kia phải bán với giá mỗi quả là 5/3 đồng.
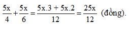
Do đó số tiền thu đươc khi bán số táo này là: ![]()
Vì tổng số tiền thu được chỉ hoà vốn nên số tiền đã mua táo là :

Khi bán với giá 10 đồng 5 quả thì giá tiền mỗi quả là 2 đồng.
Do đó số tiền bán táo là 2.x đồng.
Người đó bị lỗ 10 đồng nghĩa là số tiền mua nhiều hơn số tiền bán là 10 đồng hay

Vậy x = 10 . 12 = 120 (quả).
Như vậy, VnDoc tổng hợp cho các bạn tham khảo Bài tập cuối tuần môn Toán lớp 6 - Số học - Tuần 28 - Đề 2. Ngoài ra, các em học sinh lớp 6 còn có thể tham khảo đề thi học kì 1 hay đề thi học kì 2 lớp 6 mà VnDoc.com đã sưu tầm và chọn lọc. Hy vọng với những tài liệu này, các em học sinh sẽ học tốt môn Toán lớp 6 hơn mà không cần sách giải.