Bài tập cuối tuần môn Toán lớp 6 - Số học - Tuần 29 - Đề 1
Bài tập cuối tuần môn Toán lớp 6 - Số học
Bài tập cuối tuần môn Toán lớp 6 - Số học - Tuần 29 - Đề 1 bao gồm hệ thống kiến thức các dạng Toán tuần 29 lớp 6 có đầy đủ lời giải cho các em học sinh tham khảo, ôn tập các dạng toán Phép trừ và phép nhân phân số Số học - Chương 3 lớp 6. Mời các em học sinh cùng tham khảo chi tiết.
Đề luyện cuối tuần Toán lớp 6 Tuần 29 - Tính chất cơ bản của phép nhân
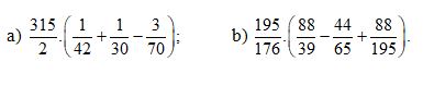
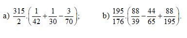
Bài 1. Tính:

Bài 2. Áp dụng tính chất phân phối của phép nhân đối với phép cộng để làm phép tính :

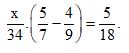
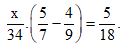
Bài 3. Tìm x, biết rằng:

Bài 4. Phân tích phân số sau thành tích của hai phân số có các tử và các mẫu đều dương và khác 1 :
![]()
Phân tích. Vì phân số đã cho là tích của hai phân số nên tử số và mẫu số đều là tích của hai số nào đó. Vì thế ta cần phân tích tử và mẫu thành tích của hai thừa số dương khác 1.
Bài 5. Độ sâu nhất của Bắc Băng Dương là 5,15km. Độ sâu nhất của Đại Tây Dương lớn hơn độ sâu nhất của Bắc Băng Dương là 3,25km. Độ sâu nhất của Thái Bình Dương bằng
\(\frac{127}{100}\)độ sâu nhất của Đại Tây Dương. Viết độ sâu nhất của Đại Tây Dương dưới dạng phân số rồi tính độ sâu nhất của Thái Bình Dương.
Đáp án Đề luyện cuối tuần Toán lớp 6 Tuần 29
Bài 1.
![]()
Bài 2.
![]()
Bài 3. Hướng dẫn. Thực hiện phép tính trong ngoặc trước rồi làm tính nhân và so sánh kết quả với vế phải.
Đáp số. x = 35.
Bài 4. a) Ta có 91 = 7.13 ; 55 = 5.11. Đó là những cách phân tích duy nhất vì các thừa số đều là những số nguyên tố.

Bài 5. Độ sâu nhất của Đại Tây Dương là:

Như vậy, VnDoc tổng hợp cho các bạn tham khảo Bài tập cuối tuần môn Toán lớp 6 - Số học - Tuần 29 - Đề 1. Ngoài ra, các em học sinh lớp 6 còn có thể tham khảo đề thi học kì 1 hay đề thi học kì 2 lớp 6 mà VnDoc.com đã sưu tầm và chọn lọc. Hy vọng với những tài liệu này, các em học sinh sẽ học tốt môn Toán lớp 6 hơn mà không cần sách giải.