Bài tập cuối tuần môn Toán lớp 6 - Số học - Tuần 29 - Đề 2
Bài tập cuối tuần môn Toán lớp 6 - Số học
Bài tập cuối tuần môn Toán lớp 6 - Số học - Tuần 29 - Đề 2 bao gồm hệ thống kiến thức các dạng Toán tuần 29 lớp 6 có đầy đủ lời giải cho các em học sinh tham khảo, ôn tập các dạng toán Phép trừ và phép nhân phân số Số học - Chương 3 lớp 6. Mời các em học sinh cùng tham khảo chi tiết.
Đề luyện cuối tuần Toán lớp 6 Tuần 29 - Tính chất cơ bản của phép nhân
Bài 1. Áp dụng tính chất giao hoán của phép nhân để thực hiện phép tính một cách hợp lí:

Bài 2. Thực hiện phép tính một cách hợp lí:
![]()
Bài 3. Áp dụng tính chất phân phối của phép nhân đối với phép cộng để làm tính một cách hợp lí:

Bài 4. Một vòi riước chảy vào bể và sau 9 giờ thì đầy bể. Nếu bể đầy tháo một vòi chảy ra thì 12 giờ bể cạn. Có một lần khi bể cạn người ta mở vòi chảy vào trong 7 giờ rồi khoá vòi này và mở vòi chảy ra trong 3 giờ. Hỏi lượng nước trong bể còn bao nhiêu phần bể?
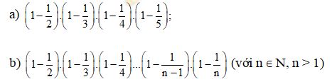
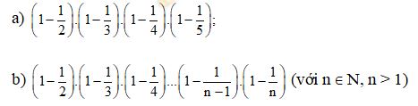
Bài 5. Tính tích:

Đáp án Đề luyện cuối tuần Toán lớp 6 Tuần 29
Bài 1.
![]()
Bài 2. Đáp số: 1
Bài 3.
a) 0;
![]()
Bài 4.

Bài 5.

Như vậy, VnDoc tổng hợp cho các bạn tham khảo Bài tập cuối tuần môn Toán lớp 6 - Số học - Tuần 29 - Đề 2. Ngoài ra, các em học sinh lớp 6 còn có thể tham khảo đề thi học kì 1 hay đề thi học kì 2 lớp 6 mà VnDoc.com đã sưu tầm và chọn lọc. Hy vọng với những tài liệu này, các em học sinh sẽ học tốt môn Toán lớp 6 hơn mà không cần sách giải.