Bài tập cuối tuần môn Toán lớp 6 - Số học - Tuần 30 - Đề 1
Bài tập cuối tuần môn Toán lớp 6 - Số học
Bài tập cuối tuần môn Toán lớp 6 - Số học - Tuần 30 - Đề 1 bao gồm hệ thống kiến thức các dạng Toán tuần 30 lớp 6 có đầy đủ lời giải cho các em học sinh tham khảo, ôn tập các dạng toán phép chia phân số, số thập phân Số học - Chương 3 lớp 6. Mời các em học sinh cùng tham khảo chi tiết.
Đề luyện cuối tuần Toán lớp 6 Tuần 30 - Phép chia phân số, số thập phân
Bài 1. Làm tính:

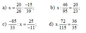
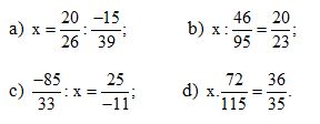
Bài 2. Tìm x trong mỗi trường hợp sau:

Bài 3.
1) Viết các hỗn số sau dưới dạng phân số:

2) Đổi các phân số sau thành hỗn số:

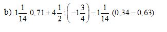
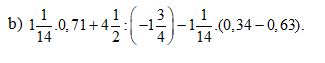
Bài 4. Thực hiện các phép tính sau:
a) (4,2 – 5,6).3,8 – (25,12 + 13,28) : 0,5 – 17,88;

Bài 5. Có hai vòi nước chảy vào mội bể. Mỗi giờ vòi thứ nhất chảy vào được 1/24 bể, vòi thứ hai chảy vào được 1/28 bể. Hỏi cả hai vòi cùng chảy trong bao lâu thì được 13/21 bể?
Đáp án Đề luyện cuối tuần Toán lớp 6 Tuần 30
Bài 1.

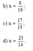
Bài 2. a) x = -2;

Bài 3.

2) Đổi các phân số sau thành hỗn số:

Bài 4. a) -100;
b)
\(\frac{-3}{2}\)
Bài 5.

Như vậy, VnDoc tổng hợp cho các bạn tham khảo Bài tập cuối tuần môn Toán lớp 6 - Số học - Tuần 30 - Đề 1. Ngoài ra, các em học sinh lớp 6 còn có thể tham khảo đề thi học kì 1 hay đề thi học kì 2 lớp 6 mà VnDoc.com đã sưu tầm và chọn lọc. Hy vọng với những tài liệu này, các em học sinh sẽ học tốt môn Toán lớp 6 hơn mà không cần sách giải.