Bài tập cuối tuần môn Toán lớp 6 - Số học - Tuần 30 - Đề 2
Bài tập cuối tuần môn Toán lớp 6 - Số học
Bài tập cuối tuần môn Toán lớp 6 - Số học - Tuần 30 - Đề 2 bao gồm hệ thống kiến thức các dạng Toán tuần 30 lớp 6 có đầy đủ lời giải cho các em học sinh tham khảo, ôn tập các dạng toán phép chia phân số, số thập phân Số học - Chương 3 lớp 6. Mời các em học sinh cùng tham khảo chi tiết.
Đề luyện cuối tuần Toán lớp 6 Tuần 30 - Phép chia phân số, số thập phân
Bài 1. Tính:

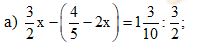
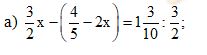
Bài 2. Tìm x trong mỗi trường hợp sau:

Bài 3. Thực hiện phép tính:

Bài 4. Thực hiện phép tính:

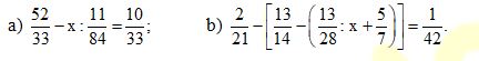
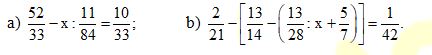
Bài 5. Tìm x trong mỗi trường hợp sau:

b) 0,15 – (32,15 – 0,25x) = 36,5 : 2,5.
Đáp án Đề luyện cuối tuần Toán lớp 6 Tuần 30
Bài 1. Hướng dẫn. Làm tính trong ngoặc trước.
Đáp số: a)
\(\frac{12}{5}\);
b) -2.
Bài 2.
a) x =
\(\frac{1}{6}\)
b)

Bài 3.
\(\frac{93}{25}\)
Bài 4.
a)
\(\frac{110}{49}\);
b) 1.
Bài 5.

b) Từ 0,15 – (32,15 – 0,25x) = 36,5 : 2,5 suy ra:
32,15 – 0,25x = 0,15 – 36,5 : 2,5 hay 32,15 – 0,25x = 0,15 – 14,6.
Chuyển vế ta được : 32,15 – 0,15 + 14,6 = 0,25x hay 46,6 = 0,25x.
Vậy x = 46,6 : 0,25 = 186,4.
Lưu ý. Có thể áp dụng quy tắc dấu ngoặc để được :
15 – 32,15 + 0,25x = 14,6 hay – 32 + 0,25x = 14,6.
Chuyển vế ta được : 0,25x = 14,6 + 32 hay 0,25x = 46,6.
Vậy x = 186,4.
Như vậy, VnDoc tổng hợp cho các bạn tham khảo Bài tập cuối tuần môn Toán lớp 6 - Số học - Tuần 30 - Đề 2. Ngoài ra, các em học sinh lớp 6 còn có thể tham khảo đề thi học kì 1 hay đề thi học kì 2 lớp 6 mà VnDoc.com đã sưu tầm và chọn lọc. Hy vọng với những tài liệu này, các em học sinh sẽ học tốt môn Toán lớp 6 hơn mà không cần sách giải.