Bài tập cuối tuần môn Toán lớp 6 - Số học - Tuần 31 - Đề 1
Bài tập cuối tuần môn Toán lớp 6 - Số học
Bài tập cuối tuần môn Toán lớp 6 - Số học - Tuần 31 - Đề 1 bao gồm hệ thống kiến thức các dạng Toán tuần 31 lớp 6 có đầy đủ lời giải cho các em học sinh tham khảo, ôn tập các dạng toán luyện tập các phép tính về phân số Số học - Chương 3 lớp 6. Mời các em học sinh cùng tham khảo chi tiết.
Đề luyện cuối tuần Toán lớp 6 Tuần 31 - Luyện tập các phép tính về phân số
Bài 1.
a) Sắp xếp các phân số
thành một dãy số tăng dần;
b) Sắp xếp các phân số
thành một dãy số giảm dần.
Bài 2. Thực hiện các phép tính:

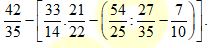
Bài 3. Tính giá trị của biểu thức:
![]()
Bài 4. Tìm x, biết:

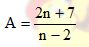
Bài 5. Cho
![]()
a) Tìm n để A là phân số;
b) Tìm số nguyên n để A nhận giá trị nguyên.
Đáp án Đề luyện cuối tuần Toán lớp 6 Tuần 31
Bài 1.

Bài 2.
![]()
Bài 3. Đáp số:
![]()
Bài 4.

Bài 5. a) A là phân số khi và chỉ khi n -2 ≠ 0 <=> n ≠ 2.

A nhận giá trị nguyên khi và chỉ khi nguyên, tức là nguyên
<=> n – 2 ∈ Ư(11) <=> n – 2 ∈ {-11;-1; 1; 11}
<=> n ∈ {–9; 1; 3; 13}.
Như vậy, VnDoc tổng hợp cho các bạn tham khảo Bài tập cuối tuần môn Toán lớp 6 - Số học - Tuần 31 - Đề 1. Ngoài ra, các em học sinh lớp 6 còn có thể tham khảo đề thi học kì 1 hay đề thi học kì 2 lớp 6 mà VnDoc.com đã sưu tầm và chọn lọc. Hy vọng với những tài liệu này, các em học sinh sẽ học tốt môn Toán lớp 6 hơn mà không cần sách giải.