Bài tập cuối tuần môn Toán lớp 6 - Số học - Tuần 32 - Đề 1
Bài tập cuối tuần môn Toán lớp 6 - Số học
Bài tập cuối tuần môn Toán lớp 6 - Số học - Tuần 32 - Đề 1 bao gồm hệ thống kiến thức các dạng Toán tuần 33 lớp 6 có đầy đủ lời giải cho các em học sinh tham khảo, ôn tập các dạng toán tìm giá trị phân số của một số cho trước Số học - Chương 3 lớp 6. Mời các em học sinh cùng tham khảo chi tiết.
Đề luyện cuối tuần Toán lớp 6 Tuần 32 - Đề 1 - Tìm giá trị phân số của một số cho trước
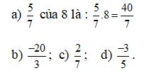
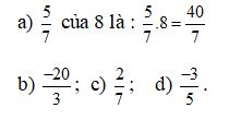
Bài 1. Tính:

Bài 2. Anh Cường đi xe đạp trên quãng đường dài 90km. Mỗi giờ anh đi được
\(\frac{2}{15}\)quãng đường. Hỏi sau 3 giờ anh đi được bao nhiêu ki-lô-mét ?
Bài 3. Lớp 6A có 50 học sinh. Cuối năm học số học sinh giỏi chiếm 14%, số học sinh kém chiếm 2%. Hỏi trong lớp có bao nhiêu học sinh giỏi và bao nhiêu học sinh kém?
Bài 4. Bác Xuân gửi tiết kiệm 36 triệu đồng. Năm ngoái lãi suất là 11%. Hết năm bác không rút lãi và năm nay bác gửi tiếp với lãi suất là 14%. Hỏi hết năm nay số tiền của bác Xuân kể cả gốc lẫn lãi sẽ là bao nhiêu?
Đáp án Đề luyện cuối tuần Toán lớp 6 Tuần 32
Bài 1.

Bài 2.
Mỗi giờ anh đi được của 90km.
Như vậy vận tốc của anh là:

Do đó sau 3 giờ anh đi được : 12 . 3 = 36 (km).
Bài 3.

Bài 4.

Lưu ý. Cũng có thể lấy gốc là 36 triệu đồng cộng với lãi của năm đầu và lãi của năm sau.
Như vậy, VnDoc tổng hợp cho các bạn tham khảo Bài tập cuối tuần môn Toán lớp 6 - Số học - Tuần 32 - Đề 1. Ngoài ra, các em học sinh lớp 6 còn có thể tham khảo đề thi học kì 1 hay đề thi học kì 2 lớp 6 mà VnDoc.com đã sưu tầm và chọn lọc. Hy vọng với những tài liệu này, các em học sinh sẽ học tốt môn Toán lớp 6 hơn mà không cần sách giải.