Bài tập cuối tuần môn Toán lớp 6 - Số học - Tuần 35 - Đề 1
Bài tập cuối tuần môn Toán lớp 6 - Số học
Bài tập cuối tuần môn Toán lớp 6 - Số học - Tuần 35 - Đề 1 bao gồm hệ thống kiến thức các dạng Toán tuần 34 lớp 6 có đầy đủ lời giải cho các em học sinh tham khảo, ôn tập các dạng toán Số học - Chương 3 lớp 6. Mời các em học sinh cùng tham khảo chi tiết.
Đề luyện cuối tuần Toán lớp 6 Tuần 35 - Đề 1 - Ôn tập chương 3 số học
Bài 1. Sắp xếp các phân số sau đây thành một dãy số giảm dần:

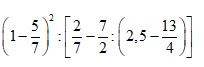
Bài 2. Tính:

Bài 3. Tìm x, biết:

Bài 4. Trong một xã có 3100 nhân khẩu. Số người dưới 18 tuổi là 930 người, số người từ 18 tuổi đến 60 tuổi là 1550 người. Số còn lại trên 60 tuổi. Hỏi mỗi thành phần dân số ở xã này chiếm bao nhiêu phần trăm tổng số dân ?
Bài 5. Bác Tâm có một số tiền gửi tiết kiệm. Năm thứ nhất lãi suất 8%. Hết năm thứ nhất bác không lấy lãi và gửi tiếp năm thứ hai với lãi suất 11%. Hết năm thứ hai bác cũng không rút lãi ra và gửi tiếp năm thứ ba với lãi suất 14%. Cuối năm thứ ba bác rút cả gốc lẫn lãi được 40 998 960 đồng. Hỏi lúc đầu bác gửi tiết kiệm bao nhiêu tiền?
Đáp án Đề luyện cuối tuần Toán lớp 6 Tuần 35
Bài 1.
Ta có dãy số:
![]()
Bài 2. Đáp số:
![]()
Bài 3.

Bài 4.

Bài 5.


Như vậy, VnDoc tổng hợp cho các bạn tham khảo Bài tập cuối tuần môn Toán lớp 6 - Số học - Tuần 35 - Đề 1. Ngoài ra, các em học sinh lớp 6 còn có thể tham khảo đề thi học kì 1 hay đề thi học kì 2 lớp 6 mà VnDoc.com đã sưu tầm và chọn lọc. Hy vọng với những tài liệu này, các em học sinh sẽ học tốt môn Toán lớp 6 hơn mà không cần sách giải.