Bài tập cuối tuần môn Toán lớp 6 - Số học - Tuần 35 - Đề 2
Bài tập cuối tuần môn Toán lớp 6 - Số học
Bài tập cuối tuần môn Toán lớp 6 - Số học - Tuần 35 - Đề 2 bao gồm hệ thống kiến thức các dạng Toán tuần 34 lớp 6 có đầy đủ lời giải cho các em học sinh tham khảo, ôn tập các dạng toán Số học - Chương 3 lớp 6. Mời các em học sinh cùng tham khảo chi tiết.
Đề luyện cuối tuần Toán lớp 6 Tuần 35 - Đề 2 - Ôn tập chương 3 số học
Bài 1. So sánh các phân số:

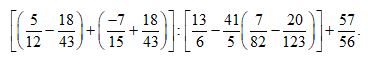
Bài 2. Thực hiện phép tính :

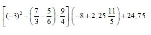
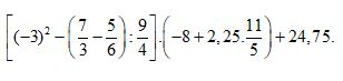
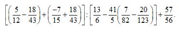
Bài 3. Thực hiện phép tính :

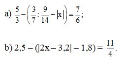
Bài 4. Tìm x trong mỗi trường hợp sau :

Bài 5. Ba công ti A, B, C cùng nhận thầu làm một con đường. Quãng đường công ti B nhận thầu bằng 5/7 quãng đường của công ti A. Quãng đường của công ti C nhận thầu bằng 1/4 tổng quãng đường của hai công ti A và B nhưng ngắn hơn quãng đường của công ty B là 4km. Tính độ dài con đường.
Đáp án Đề luyện cuối tuần Toán lớp 6 Tuần 35
Bài 1.

Bài 2. Đáp số: 1
Bài 3. Đáp số:
\(\frac{-2}{3}\)
Bài 4.

b) x = 2,375 hoặc x = 0,825.
Bài 5. Tổng quãng đường của hai công ti A và B nhận thầu bằng quãng đường công ti A cộng với 5/7 (quãng đường của công ti A) hay bằng 1 +
\(\frac{5}{7}\) hay
\(\frac{12}{7}\) (quãng đường của công ti A).

Như vậy, VnDoc tổng hợp cho các bạn tham khảo Bài tập cuối tuần môn Toán lớp 6 - Số học - Tuần 35 - Đề 2. Ngoài ra, các em học sinh lớp 6 còn có thể tham khảo đề thi học kì 1 hay đề thi học kì 2 lớp 6 mà VnDoc.com đã sưu tầm và chọn lọc. Hy vọng với những tài liệu này, các em học sinh sẽ học tốt môn Toán lớp 6 hơn mà không cần sách giải.