Bài tập toán lớp 8: Phân thức
Tài liệu môn Toán lớp 8
Lớp:
Lớp 8
Môn:
Toán
Loại File:
PDF
Phân loại:
Tài liệu Tính phí
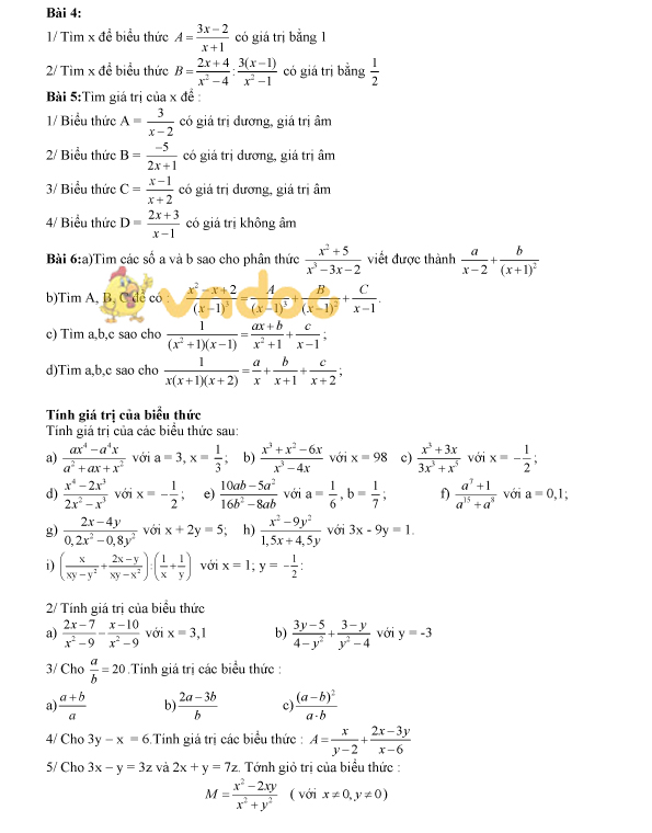
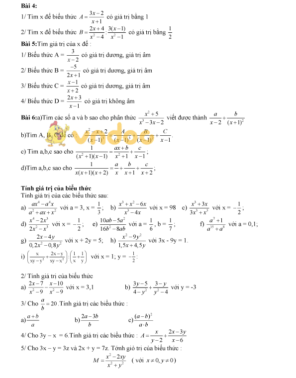
Bài tập phân thức toán 8
Bài tập toán lớp 8: Phân thức là tài liệu được VnDoc tổng hợp các bài tập Toán lớp 8 đi từ cơ bản đến nâng cao, giúp các bạn học sinh nắm chắc kiến thức, tự củng cố và hệ thống chương trình học lớp 8 được chắc chắn, làm nền tảng tốt khi học lên chương trình lớp 9. Mời các em học sinh, thầy cô và phụ huynh tham khảo.
Đề cương ôn tập hè môn Toán lớp 8 năm 2012 - 2013
Đề cương ôn tập hè môn Toán lớp 8
Đề cương ôn tập học kì 2 môn Toán lớp 8 - Đại số và Hình học


