Đề cương ôn tập học kì 2 môn Toán lớp 8 - Đại số và Hình học
Đề cương ôn tập học kì 2 môn Toán lớp 8
Đề cương ôn tập học kì 2 môn Toán lớp 8 - Đại số và Hình học đưa ra những trọng tâm cần ôn tập trong môn Toán lớp 8 giúp các bạn ôn tập củng cố lại kiến thức, từ đó đạt kết quả cao trong kì thi học kì 2 sắp tới, mời các bạn tham khảo.
- Đề cương ôn tập học kì 2 lớp 8 năm 2022 - Tất cả các môn
- Đề cương ôn tập học kì 2 môn Ngữ văn lớp 8 năm 2022
- Đề cương ôn tập học kì 2 môn Toán lớp 8 ăm 2022
- Đề cương ôn tập học kì 2 tiếng Anh 8 mới năm 2022
- Đề cương ôn tập học kì 2 môn Tin học 8 năm 2022
- Đề cương ôn thi GDCD lớp 8 học kì 2 năm 2022
- Đề cương ôn tập học kì 2 môn Địa lý lớp 8 năm 2022
- Đề cương ôn tập học kì 2 môn Lịch sử lớp 8 năm 2022
- Đề cương ôn tập học kì 2 môn Sinh lớp 8 năm 2022
- Đề cương ôn tập học kì 2 môn Hóa học lớp 8 năm 2022
- Đề cương ôn tập lớp 8 môn Vật lý học kì II năm 2022
- Đề cương ôn tập học kì 2 môn Hóa học lớp 8 năm 2022
ĐỀ CƯƠNG ÔN TẬP TOÁN 8
I. ĐẠI SỐ
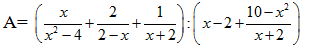
Bài 1: Cho biểu thức
![]()
a) Rút gọn biểu thức A.
b) Tính giá trị biểu thức A tại x, biết |x| = 1/2
c) Tìm giá trị của x để A < 0.
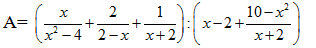
Bài 2: Cho biểu thức:
![]()
a) Rút gọn biểu thức A.
b) Tính giá trị biểu thức A, với x = -1/2
c) Tìm giá trị của x để A < 0.
Bài 3: Cho phân thức ![]()
a) Với điều kiện nào của x thì giá trị của phân thức xác định
b) Hãy rút gọn phân thức.
c) Tính giá trị của phân thức tại x=2
d) Tìm giá trị của x để giá trị của phân thức bằng 2
Bài 4. Cho phân thức ![]()
a) Với giá trị nào của x thì giá trị của phân thức được xác định.
b) Hãy rút gọn phân thức.
c) Tính giá trị của phân thức tại lxl = 3
d) Tìm giá trị của x để giá trị của phân thức bằng 2.
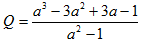
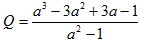
Bài 5. Cho ![]()
a) Rút gọn Q.
b) Tìm giá trị của Q khi lal = 5
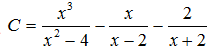
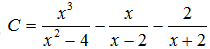
Bài 6: Cho biểu thức ![]()
a) Tìm giá trị của x để giá trị của biểu thức C được xác định.
b) Tìm x để C = 0.
c) Tìm giá trị nguyên của x để C nhận giá trị dương.
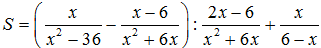
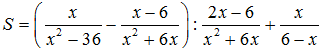
Bài 7: Cho
![]()
a) Rút gọn biểu thức S.
b) Tìm x để giá trị của S = -1
Bài 8: Cho
![]()
a) Tìm điều kiện của x để giá trị của S xác định.
b) Rút gọn P.
c) Tính giá trị của S với |x – 5| = 2
Bài 9: Cho biểu thức:
![]()
a) Tìm điều kiện của x để giá trị của biểu thức được xác định?
b) CMR: Khi giá trị của biểu thức được xác định thì nó không phụ thuộc vào giá trị của biến x?
PHẦN PHƯƠNG TRÌNH BẬC NHẤT MỘT ẨN
Bài 1. Tìm giá trị của k sao cho:
a. Phương trình: 2x + k = x – 1 có nghiệm x = – 2.
b. Phương trình: (2x + 1)(9x + 2k) – 5(x + 2) = 40 có nghiệm x = 2
c. Phương trình: 2(2x + 1) + 18 = 3(x + 2)(2x + k) có nghiệm x = 1
d. Phương trình: 5(m + 3x)(x + 1) – 4(1 + 2x) = 80 có nghiệm x = 2
Bài 2. Tìm các giá trị của m, a và b để các cặp phương trình sau đây tương đương:
a. mx2 – (m + 1)x + 1 = 0 và (x – 1)(2x – 1) = 0
b. (x – 3)(ax + 2) = 0 và (2x + b)(x + 1) = 0
Bài 3. Giải các phương trình sau bằng cách đưa về dạng ax + b = 0:
1. a) 3x – 2 = 2x – 3 b) 3 – 4y + 24 + 6y = y + 27 + 3y
c) 7 – 2x = 22 – 3x d) 8x – 3 = 5x + 12
e) x – 12 + 4x = 25 + 2x – 1 f) x + 2x + 3x – 19 = 3x + 5
g) 11 + 8x – 3 = 5x – 3 + x h) 4 – 2x + 15 = 9x + 4 – 2x
2. a) 5 – (x – 6) = 4(3 – 2x) b) 2x(x + 2)2 – 8x2 = 2(x – 2)(x2 + 2x + 4)
c) 7 – (2x + 4) = – (x + 4) d) (x – 2)3 + (3x – 1)(3x + 1) = (x + 1)3
e) (x + 1)(2x – 3) = (2x – 1)(x + 5) f) (x – 1)3 – x(x + 1)2 = 5x(2 – x) – 11(x + 2)
g) (x – 1) – (2x – 1) = 9 – x h) (x – 3)(x + 4) – 2(3x – 2) = (x – 4)2
i) x(x + 3)2 – 3x = (x + 2)3 + 1 j) (x + 1)(x2 – x + 1) – 2x = x(x + 1)(x – 1)
3. a) 1,2 – (x – 0,8) = –2(0,9 + x) b) 3,6 – 0,5(2x + 1) = x – 0,25(2 – 4x)
c) 2,3x – 2(0,7 + 2x) = 3,6 – 1,7x d) 0,1 – 2(0,5t – 0,1) = 2(t – 2,5) – 0,7
e) 3 + 2,25x +2,6 = 2x + 5 + 0,4x f) 5x + 3,48 – 2,35x = 5,38 – 2,9x + 10,42
Bài 4. Tìm giá trị của x sao cho các biểu thức A và B cho sau đây có giá trị bằng nhau:
A = (x – 3)(x + 4) – 2(3x – 2) và B = (x – 4)2
A = (x + 2)(x – 2) + 3x2 và B = (2x + 1)2 + 2x
A = (x – 1)(x2 + x + 1) – 2x và B = x(x – 1)(x + 1)
A = (x + 1)3 – (x – 2)3 và B = (3x –1)(3x +1).
Bài 5. Giải các phương trình sau:

Bài 6. Giải các phương trình sau:
![]()
Bài 7. Giải các phương trình sau:

Bài 8. Giải các phương trình chứa dấu giá trị tuyệt đối sau:

Bài 9. Giải các phương trình chứa ẩn ở mẫu sau:

Bài 10. Tìm các giá trị của a sao cho mỗi biểu thức sau có giá trị bằng 2
![]()
Bài 11. Cho phương trình (ẩn x): 4x2 – 25 + k2 + 4kx = 0
a) Giải phương trình với k = 0
b) Giải phương trình với k = – 3
c) Tìm các giá trị của k để phương trình nhận x = – 2 làm nghiệm.
Bài 12. Cho phương trình (ẩn x): x3 + ax2 – 4x – 4 = 0
a) Xác định m để phương trình có một nghiệm x = 1.
b) Với giá trị m vừa tìm được, tìm các nghiệm còn lại của phương trình
Bài 13. Tìm các giá trị của m sao cho phương trình:
a) 12 – 2(1- x)2 = 4(x – m) – (x – 3 )(2x +5) có nghiệm x = 3.
b) (9x + 1)(x – 2m) = (3x +2)(3x – 5) có nghiệm x = 1
Bài 14: Cho phương trình ẩn x: 9x2 – 25 – k2 – 2kx = 0
a) Giải phương trình với k = 0
b) Tìm các giá trị của k sao cho phương trình nhận x = – 1 làm nghiệm số.
Ngoài Đề cương ôn tập học kì 2 môn Toán lớp 8 - Đại số và Hình học. Mời các bạn học sinh còn có thể tham khảo các đề thi học học kì 1 lớp 8, đề thi học học kì 2 lớp 8 các môn Toán, Văn, Anh, Hóa, Lý, Địa, Sinh mà chúng tôi đã sưu tầm và chọn lọc. Với đề thi học kì 2 lớp 8 này giúp các bạn rèn luyện thêm kỹ năng giải đề và làm bài tốt hơn. Chúc các bạn ôn thi tốt
- Đề kiểm tra học kì II lớp 8 môn Ngữ văn
- 15 Đề thi học kì 2 Toán 8 năm 2022 - Có đáp án
- 20 Bộ đề thi Hóa 8 học kì 2 năm 2021 - 2022 Có đáp án
- 7 Đề thi tiếng Anh lớp 8 học kì 2 có đáp án năm 2022
- Bộ đề thi học kì 2 môn Lịch sử lớp 8
- Bộ đề thi học kì 2 môn Địa lý lớp 8
- Bộ đề thi học kì 2 môn Sinh học lớp 8
- Đề kiểm tra học kì II lớp 8 môn Giáo dục công dân
- Đề kiểm tra học kì 2 môn Vật lý lớp 8