Đề thi học kì 2 môn Toán lớp 8 trường THCS Liên Châu, Vĩnh Phúc năm học 2016 - 2017
Đề kiểm tra học kì II môn Toán lớp 8 có đáp án
Lớp:
Lớp 8
Môn:
Toán
Dạng tài liệu:
Đề thi
Loại:
Tài liệu Lẻ
Thời gian:
Học kì 2
Loại File:
Word + PDF
Phân loại:
Tài liệu Tính phí
Đề thi học kì 2 môn Toán lớp 8
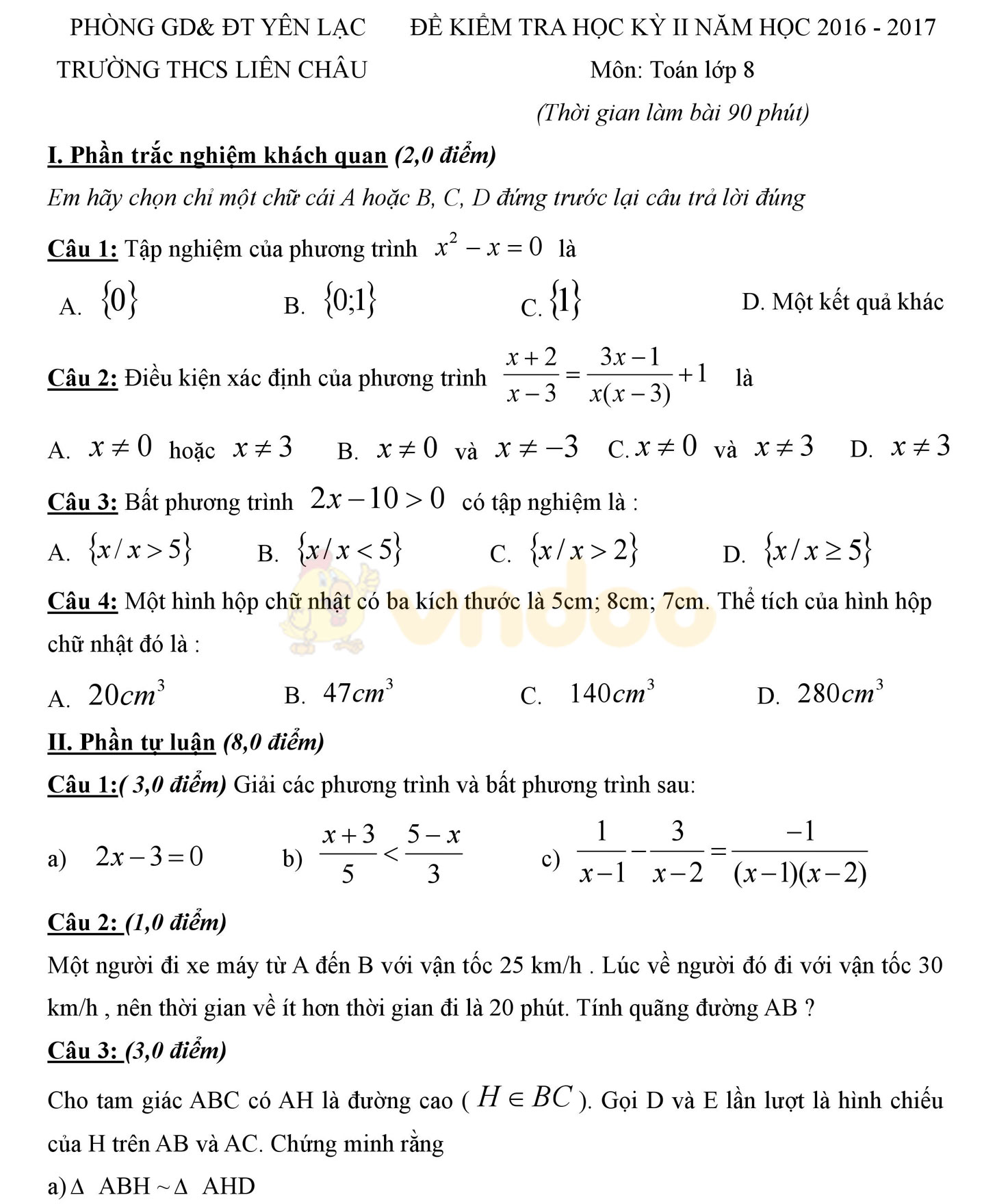
Đề thi học kì 2 môn Toán lớp 8 trường THCS Liên Châu, Vĩnh Phúc năm học 2016 - 2017. Đề thi bám sát theo chương trình SGK Toán lớp 8 học kì 2, chính vì vậy những học sinh nắm chắc kiến thức cơ bản trong SGK là có thể làm được bài và đạt được điểm khá trở lên.
Đề thi học kì 2 môn Toán lớp 8 phòng GD&ĐT Tam Đảo, Vĩnh Phúc năm 2015 - 2016
Đề thi học kì 2 môn Toán lớp 8 trường PTDTBT THCS Tà Hộc, Mai Sơn năm 2015 - 2016


Đáp án đề thi học kì 2 môn Toán lớp 8
I. Phần trắc nghiệm khách quan (2,0 điểm)
|
Câu |
Đáp án đúng |
Điểm |
|
Câu 1 |
B |
0,5 |
|
Câu 2 |
C |
0,5 |
|
Câu 3 |
A |
0,5 |
|
Câu 4 |
D |
0,5 |
II. Phần tự luận (8,0 điểm)



