Bài tập Trung điểm của đoạn thẳng
Bài tập Toán lớp 6 bài Trung điểm của đoạn thẳng gồm 2 phần trắc nghiệm và tự luận có đáp án và hướng dẫn giải chi tiết cho các em học sinh tham khảo, củng cố rèn luyện kỹ năng giải Toán Chương 1 Hình học lớp 6. Mời các em học sinh tham khảo chi tiết.
Bài tập Trung điểm của đoạn thẳng
Câu hỏi trắc nghiệm Trung điểm của đoạn thẳng lớp 6
Câu 1: M là trung điểm của đoạn thẳng AB khi và chỉ khi:
A. MA = MB
B. AM = (1/2)AB
C. MA + MB = AB
D. MA + MB = AB và MA = MB
Đáp án và hướng dẫn giải
M là trung điểm của đoạn thẳng AB

Chọn đáp án D.
Câu 2: Nếu ta có P là trung điểm MN thì:
A. MP = NP = MN/2
B. MP + NP = 2MN
C. MP = NP = MN/4
D. MP = NP = MN
Đáp án và hướng dẫn giải
Ta có P là trung điểm MN thì MP = NP = MN/2
Chọn đáp án A.
Câu 3: Cho đoạn thẳng AB dài 12 cm, M là trung điểm của đoạn thẳng AB . Khi đó, độ dài đoạn thẳng MA bằng:
A. 3cm
B. 15cm
C. 6cm
D. 20cm
Đáp án và hướng dẫn giải
Vì M là trung điểm của đoạn thẳng AB ⇔ AM = (1/2).AB = (1/2).12 = 6cm
Vậy AM = 6cm
Chọn đáp án C.
Câu 4: Cho I là trung điểm đoạn thẳng MN. Biết NI = 8cm. Khi đó độ dài đoạn thẳng MN bằng
A. 4cm
B. 16cm
C. 21cm
D. 24cm
Đáp án và hướng dẫn giải
Vì I là trung điểm đoạn thẳng MN nên IM = IN = (1/2).MN hay MN = 2.IN = 2.8 = 16cm
Chọn đáp án B.
Câu 5: Trên tia Ox lấy hai điểm A và B sao cho OA = 3cm, OB = 6cm. Chọn câu sai:
A. Điểm A nằm giữa hai điểm O và B
B. Điểm A là trung điểm đoạn OB
C. Điểm O là trung điểm đoạn AB
D. OA = OB = 3cm
Đáp án và hướng dẫn giải

Vì hai điểm A, B cùng thuộc tia Ox mà OA < OB (3cm < 6cm) nên điểm A nằm giữa hai điểm O và B (1)
Do đó OA + AB = OB ⇒ AB = OB - OA = 6 - 3 = 3cm. Suy ra OA = AB = 3cm (2)
Từ (1) và (2) suy ra A là trung điểm đoạn OB.
Vậy A, B, D đúng, C sai.
Chọn đáp án C.
Bài tập tự luận Trung điểm của đoạn thẳng Toán lớp 6
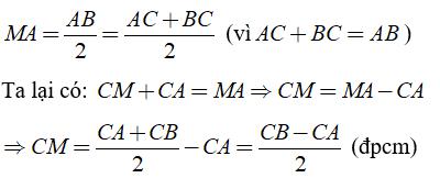
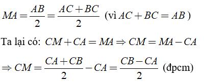
Câu 1: Gọi M là trung điểm của đoạn thẳng AB và C là điểm bất kì nằm giữa A và M. Chứng tỏ rằng:

Đáp án và hướng dẫn giải
![]()
Vì M là trung điểm của đoạn thẳng AB và C là điểm bất kì nằm giữa A và M, ta có:

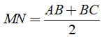
Câu 2: Trên đường thẳng xy cho ba điểm A, B, C theo thứ tự. Gọi M và N lần lượt là trung điểm của AB và BC. Chứng minh rằng:

Đáp án và hướng dẫn giải

M là trung điểm của AB: MB = AB/2
N là trung điểm của BC: NC = BC/2
Khi đó:

Ngoài các dạng bài tập Toán 6, các em học sinh tham khảo Trắc nghiệm Trung điểm của đoạn thẳng hay Lý thuyết Toán lớp 6: Trung điểm của đoạn thẳng và các bài giải SGK môn Toán lớp 6, Môn Ngữ văn 6, Môn Vật lý 6, môn Sinh Học 6, Lịch sử 6, Địa lý 6..... chi tiết mới nhất trên VnDoc.com.