Bộ đề ôn tập thi giữa học kì 1 môn Toán lớp 5
Bộ đề ôn thi giữa học kì 1 môn Toán lớp 5
Bộ đề ôn thi giữa học kì 1 môn Toán lớp 5 được VnDoc sưu tầm, chọn lọc những dạng bài ôn tập chất lượng giúp các em học sinh chuẩn bị tốt nhất cho bài thi giữa học kì 1 hiệu quả, đạt kết quả cao. Sau đây mời các em cùng tham khảo và tải về trọn bộ.
Đề kiểm tra giữa học kì 1 môn Toán lớp 5 năm học 2015 - 2016 trường Tiểu học Tứ Yên
Đề thi giữa học kì 1 lớp 5 môn Toán, Tiếng Việt trường tiểu học Tân Hiệp B năm 2016 - 2017
Đề thi giữa học kì 1 lớp 5 môn Toán, Tiếng Việt trường tiểu học Kim An, Hà Nội năm 2016 - 2017
ĐỀ 1 - KIỂM TRA GIỮA HỌC KÌ 1 LỚP 5
Phần I: Phần trắc nghiệm:
Bài 1: Em hãy khoanh vào chữ cái trước câu trả lời đúng.
1) Số thích hợp viết vào chỗ chấm (...) để: 3kg 3g = ... kg là:
A. 3,3 B. 3,03 C. 3,003 D. 3,0003
2) Phân số thập phân
được viết dưới dạng số thập phân là:
A. 0,0834 B. 0,834 C. 8,34 D. 83,4
3) Trong các số thập phân 42,538; 41,835; 42,358; 41,538 số thập phân lớn nhất là
A. 42,538 B. 41,835 C. 42,358 D. 41,538
4) Mua 12 quyển vở hết 24000 đồng. Vậy mua 30 quyển vở như thế hết số tiền là:
A. 600000đ B. 60000đ C. 6000đ D. 600đ
Bài 2: Đúng ghi Đ, sai ghi S vào chỗ trống.

3) 0,9 < 0,1 < 1,2 4) 96,4 > 96,38
5) 5m2 25dm2 = 525 dm2 6) 1kg 1g = 1001g
Phần II. Phần tự luận:
Bài 1: Đặt tính rồi tính.

Bài 2: Viết số thích hợp vào ô trống.

Bài 3: Tìm x?

Bài 4: Để lát nền một căn phòng hình chữ nhật, người ta dùng loại gạch men hình vuông có cạnh 30cm. Hỏi cần bao nhiêu viên gạch để lát kín nền căn phòng đó, biết rằng căn phòng có chiều rộng 6m, chiều dài 9m? (Diện tích phần mạch vữa không đáng kể).
ĐỀ 2 - KIỂM TRA GIỮA HỌC KÌ 1 LỚP 5
Phần I: Hãy khoanh vào chữ cái đặt trước câu trả lời đúng:
Câu 1: Số "Bốn mươi bảy phẩy bốn mươi tám" viết như sau:
A. 47,480 B. 47,48 C. 47,0480 D. 47,048
Câu 2: Biết 12,...4 < 12,14. Chữ số điền vào chỗ trống là:
A. 0 B. 1 C. 2 D. 3
Câu 3: Chữ số 9 trong số thập phân 17,209 thuộc hàng số nào?
A. Hàng nghìn C. Hàng phần trăm
B. Hàng phần mười D. Hàng phần nghìn
Câu 4: Viết 1/10 dưới dạng số thập phân được
A. 10,0 B. 1,0 C. 0,01 D. 0,1
Phần II:
Câu 1: Viết số thập phân thích hợp vào chỗ chấm:
16m 75mm = ..............m 28ha = ...........km2
Câu 2: Tính:

Câu 3: Một thửa ruộng hình chữ nhật có chiều dài 80m và gấp đôi chiều rộng. Biết rằng cứ 100m2 thu hoạch được 50kg thóc. Hỏi trên cả thửa ruộng đó người ta thu hoạch được bao nhiều kg thóc?
ĐỀ 3 - KIỂM TRA GIỮA HỌC KÌ 1 LỚP 5
Bài 1: Khoanh tròn vào chữ đặt trước câu trả lời đúng:
a) Chữ số 8 trong số 30,584 có giá trị là:
A. 80 B. 8/10 C. 8/100
b) Số thập phân 2,35 viết dưới dạng hỗn số là:

c) Số lớn nhất trong các số: 4,693; 4,963; 4,639 là số:
A. 4,963 B. 4,693 C. 4,639
d) Số 0,08 đọc là:
A. Không phẩy tám. B. Không, không tám. C. Không phẩy không tám.
Bài 2: Viết các hỗn số sau dưới dạng số thập phân:

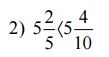
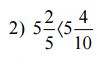
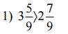
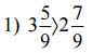
Bài 3: Điền dấu < , > , = vào chỗ trống:

Bài 4: Viết số thích hợp vào chỗ chấm:
a) 5 m2 = .................................cm2 b) 2 km2 = ...........................ha
c) 2608 m2 = ............dam2...............m2 d) 30000 hm2 = .................. ha
Bài 5: Tính kết quả:

Bài 6: 8 người đắp xong một đoạn đường trong 6 ngày. Hỏi muốn đắp xong đoạn đường đó trong 4 ngày thì phải cần bao nhiêu người?