Các bài toán cơ bản có liên quan đến khảo sát hàm số
Các bài toán cơ bản có liên quan đến khảo sát hàm số
Các bài toán cơ bản có liên quan đến khảo sát hàm số đưa ra định nghĩa giá trị tuyệt đối, định lý cơ bản, một số tính chất về đồ thị và các bài toán tổng quát, giúp các bạn ôn tập và củng cố kiến thức môn Toán, đặc biệt là phần Khảo sát hàm số - một trong những phần không thể thiếu trong đề thi đại học, mời các bạn tham khảo.
- 100 câu khảo sát hàm số
- 131 câu hỏi phụ khảo sát hàm số
- Phương pháp giải một số dạng bài tập khảo sát hàm số trong kì thi tuyển sinh Đại học
VnDoc.com xin gửi tới bạn đọc bài viết Các bài toán cơ bản có liên quan đến khảo sát hàm số để bạn đọc cùng tham khảo. Bài viết được tổng hợp các dạng bài toán cơ bản về khảo sát hàm số gồm đồ thị của hàm số mang dấu giá trị tuyệt đối, sự tương giao của hai đồ thị, tiếp tuyến với đường cong, biện luận số nghiệm của phương trình bằng đồ thị, họ đường cong, tìm các điểm đặc biệt trên đồ thị của hàm số, các bài toán về sự đối xứng. Mỗi dạng bài toán đi kèm với bài tập rèn luyện. Mời các bạn cùng tham khảo chi tiết và tải về tại đây.
1. BÀI TOÁN 1:
ĐỒ THỊ CỦA HÀM SỐ
CÓ MANG DẤU GIÁ TRỊ TUYỆT ĐỐI
TÓM TẮT GIÁO KHOA
Phương pháp chung:
Để vẽ đồ thị của hàm số có mang dấu giá trị tuyệt đối ta có thể thực hiện như sau:
Bước 1: Xét dấu các biểu thức chứa biến bên trong dấu giá trị tuyệt đối.
Bước 2: Sử dụng định nghĩa giá trị tuyệt đối để khử dấu giá trị tuyệt đối. Phân tích hàm số đã cho thành các phần không có chứa dấu giá trị tuyệt đối (Dạng hàm số cho bởi nhiều công thức)
Bước 3: Vẽ đồ thị từng phần rồi ghép lại( Vẽ chung trên một hệ trục tọa độ)
* Các kiến thức cơ bản thường sử dụng:
1. Định nghĩa giá trị tuyệt đối:

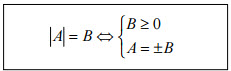
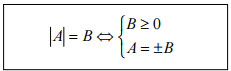
2. Định lý cơ bản:

3. Một số tính chất về đồ thị:
a) Đồ thị của hai hàm số y=f(x) và y=-f(x) đối xứng nhau qua trục hoành
b) Đồ thị hàm số chẵn nhận trục tung làm trục đối xứng
c) Đồ thị hàm số lẻ nhận gốc tọa độ làm tâm đối xứng
* Ba dạng cơ bản:
Bài toán tổng quát:

Trên đây VnDoc.com vừa giới thiệu tới các bạn Các bài toán cơ bản có liên quan đến khảo sát hàm số, mong rằng qua bài viết này các bạn có thể học tập tốt hơn môn Toán lớp 12. Mời các bạn cùng tham khảo thêm các môn Ngữ văn 12, tiếng Anh 12, đề thi học kì 1 lớp 12, đề thi học kì 2 lớp 12...
Mời bạn đọc cùng tham gia nhóm Tài liệu học tập lớp 12 để có thêm tài liệu học tập nhé